RESEARCH ARTICLE

 

DOI:10.17230/ecos.2015.41.4

 

Determinantes de la calidad del empleo de los Afrocolombianos: Comparativo para principales ciudades de Colombia, año 2007

 

Evidence of Discrimination Against Afrocolombians in the Colombian Labor Market in Major Cities in 2007

 

 

José Santiago Arroyo Mina* Leonardo Belalcázar Fernández** Luis Felipe Pinzón Gutiérrez*** Andrés Herminsul Franco****

* Universidad Libre, Cali, Colombia. Correo electrónico: jsarroyo75@gmail.com

** Pontificia Universidad Javeriana Cali, Colombia. Correo electrónico: lebela@javerianacali.edu.co

*** Universidad Santiago de Cali, Colombia. Correo electrónico: luisFelipe1227@outlook.com

**** Pontificia Universidad Javeriana Cali, Colombia. Correo electrónico: andreshfranco@gmail.com

 

JEL CODE: J15, J71, C25, R23.

Received: 15/04/2015 Accepted: 16/09/2015 Published: 01/12/2015

 


Resumen

Este trabajo contrasta la hipótesis de que la raza fue un factor determinante en el acceso a empleos de calidad en Colombia, durante el año 2007. A partir de la Gran Encuesta Integrada de Hogares (2007-I) se estima un modelo logit ordenado generalizado. Como resultado, se evidenció que el ser un trabajador afro aumenta las probabilidades de encontrarse en un empleo de mala calidad en un 1.9 % para Cali, 3.4% para Bogotá, 12.61% para Barranquilla, 1.8% para Cartagena, 1,1% en Medellín, y 3.8% para las cinco ciudades en total; situación que podría deberse a la presencia de discriminación laboral que afecta a los afrocolombianos.

Palabras clave: Discriminación laboral, raza, calidad del empleo, modelos logit.


Abstract

This paper evaluate the hypothesis that race is a determining factor in access to quality employment in Colombia during 2007. Using data from the Large Integrated Household Survey (2007-I), we estimate a generalized ordered logit model. The results provide evidence that individuals self-identified as Afrocolombian have a higher probability of being in a low quality job than other Colombians. This probability is higher by 1.9% in Cali, 3.4% in Bogotá, 12.6% in Barranquilla, 1.8% in Cartagena, 1.1% in Medellin and 3.8% overall in these five cities, results that could indicate that there is racial discrimination against Afrocolombians in the Colombian labor market.

Key words: Labor discrimination, race, job quality, logit models


 

 

1. Introducción

En el análisis tradicional del mercado laboral, los resultados diferenciales entre individuos se explican a partir de las diferencias en las dotaciones de capital humano. Por ello, la educación y la experiencia han sido las variables más utilizadas en los estudios empíricos como proxys al capital humano (Heckman, 1998). No obstante, varios modelos teóricos y estudios empíricos involucran el papel de otros factores observables como las características adscriptivas (género, raza, lugar de nacimiento, etc.), al determinar los resultados que las personas obtienen en dicho mercado (Becker, 1971; Arrow, 1971; Welch, 1990). Si estos resultados no se determinan a partir de las dotaciones en capital humano, se podría colegir que existe un trato desigual referido a variables que no afectan la productividad potencial de los individuos.

Lo anterior es una expresión de un fenómeno comúnmente denominado discriminación. Este ha sido definido como una situación en la que personas con características similares son tratadas de manera desigual en un sector u ocupación, debido a sus características observables. La literatura especializada en el tema de la discriminación sugiere que los resultados de las personas en el mercado laboral guardan relación con características adquiridas como la cualificación o el nivel de escolaridad alcanzado, así como con características adscriptivas del tipo sexo, edad o etnia. Relacionado con este último aspecto, trabajos como los de Burger y Jafta (2006) y Kofi y Guryan (2008), señalan que una parte importante de los resultados diferenciales observados en el mercado laboral no pueden ser atribuidos a la diferencia de habilidades entre la población negra y blanca. Tal situación sugeriría la presencia de discriminación en los mercados laborales considerados.

Por otra parte, la temática relacionada con la calidad del empleo en América Latina viene recibiendo cada vez mayor atención, debido principalmente a los cambios generados por las reformas laborales, las nuevas formas de organización productiva, las dinámicas de integración comercial y los procesos asociados con la globalización; los cuales traen consigo grandes variaciones en las formas tradicionales de vinculación laboral, en la estabilidad del empleo, en la composición del empleo por actividades económicas y ocupaciones, en la intensidad y duración de las jornadas, así como en las instituciones de protección y los derechos básicos relacionados. Para el caso de Colombia, el fenómeno de la disminución en la calidad de los empleos es estudiado en trabajos como el de Farné (2003), quien advierte sobre la necesidad de buscarle soluciones; ya que las condiciones laborales de un individuo redundan en su bienestar y en el de su entorno familiar.

Complementando este tipo de condiciones referentes a la calidad de los empleos, Bustamante y Arroyo (2008) analizan cómo el factor racial resulta un factor de impacto sobre el acceso a un empleo de calidad, situación que evidencia rasgos de discriminación en el mercado laboral. En tal sentido, retomando lo estudiado para Cali por Bustamante y Arroyo (2008), el presente trabajo tiene como objetivo extender el estudio de la problemática de los empleos de calidad en las cinco ciudades principales1 de Colombia (Cali, Cartagena, Barranquilla, Medellín y Bogotá), enfocándose en aquella población que se autoreconocen étnicamente como afro2. Para ello, se estimará un modelo logit ordenado generalizado, a partir de los datos de la Gran Encuesta Integrada de Hogares del primer trimestre de 2007, aprovechando que esta es la única versión de la GEIH que incluye la pregunta de autorreconocimiento étnico.

Este documento tiene las siguientes secciones: La primera, ofrece un marco de referencia sobre la teoría que subyace al tema de investigación y, posteriormente, presenta un análisis empírico de la calidad del empleo. La segunda, presenta la metodología y relación de datos empleados en la estimación econométrica. La tercera, realiza una descripción del tratamiento empírico desarrollado. Seguidamente, la cuarta muestra el análisis de los resultados. Por último, la quinta, registra los comentarios finales de la investigación.

 

2. Marco de referencia

McConnell y Brue (2003) señalan que la discriminación en el mercado laboral puede ser clasificada en tres categorías: educacional, ocupacional y salarial. La primera es anterior al mercado laboral (premercado) y provoca que la calidad de los trabajadores sea distinta, en especial, en el caso de los negros e indígenas. La discriminación ocupacional, que es de mayor interés en el contexto del estudio aquí planteado, se manifiesta en la limitación de oportunidades de acceso de los grupos discriminados a los puestos de trabajo de más alta calidad, disminuyendo así su capacidad de generación de ingresos. Finalmente, la discriminación salarial hace que trabajadores con una productividad similar reciban remuneraciones distintas por presentar características que son objeto de discriminación. Estas dos últimas categorías de discriminación, ocupacional y salarial, se dan luego de que los trabajadores entran a participar en el mercado laboral (posmercado). Altonji y Blank (1999) afirman que, aunque existen modelos de la discriminación posmercado, los más trabajados han sido el modelo de preferencia por discriminación de Becker (1971) y los modelos de discriminación estadística de Phelps (1972), Arrow (1971) y Aigner y Cain (1977).

2.1. Modelo de preferencia por discriminación

El modelo de preferencia por discriminación fue propuesto por Becker (1971). En este modelo se parte de considerar la existencia de personas para quienes no resulta agradable el contratar, trabajar o compartir espacio laboral con personas que presenten características observables diferentes a las propias, como la raza o el género; y por ello revelan su disponibilidad a pagar para no hacerlo, bien sea de forma directa o a través de una reducción en su ingreso.

De acuerdo con Kofi y Guryan (2008), en el modelo de Becker se asume competencia perfecta, un proceso productivo que presenta retornos constantes a escala y la presencia de tres tipos de agentes que manifiestan diferentes preferencias por discriminación, derivadas a su vez de diferentes niveles de prejuicio racial. Los tres tipos de agentes serían entonces: empleadores blancos, consumidores blancos y negros, y trabajadores blancos y negros que son sustitutos perfectos en producción.

2.2. Modelos de discriminación estadística

Los modelos de discriminación estadística fueron desarrollados inicialmente por Arrow (1971), Phelps (1972) y Aigner y Cain (1977). En estos modelos cobra gran importancia la teoría de la elección racional aplicada al comportamiento de los individuos en el mercado laboral, en lo relacionado con preferencias, creencias, tecnología e instituciones (Arrow, 1998).

Se asume que la discriminación estadística se presenta siempre que se juzga a una persona en función de las características medias del grupo al que pertenece y no en función de sus propias características. La premisa que subyace a este comportamiento es que las firmas poseen información limitada acerca de las habilidades de los solicitantes de trabajos. Esto les lleva a tener incentivos para usar características fácilmente observables como la raza o el género para inferir la productividad esperada de los solicitantes (si estas características están correlacionadas con la productividad). Como la información de las habilidades de cada individuo resulta insuficiente y obtener información adicional genera costos, se utiliza la información promedio del grupo donde se encuentra, como lo sugiere Phelps (1972).

2.3. Calidad del empleo

Lograr determinar el nivel de calidad que posee un empleo resulta difícil, puesto que esta determinación se haría dependiente tanto de criterios subjetivos inherentes al individuo evaluador, como de criterios objetivos relacionados con el tipo de metodología usada para evaluarla. Al respecto, Rosenthal (1989) resalta que las personas toman en cuenta, aparte del salario ofrecido, otros factores que les permiten evaluar la calidad del trabajo en cuestión. Estos factores pueden ser clasificados en cinco tipos, a saber: obligaciones del trabajo y condiciones laborales, satisfacción laboral, periodo de trabajo, estatus del empleo y seguridad laboral. En este punto aparecen los aspectos subjetivos, puesto que la valoración individual de estos factores depende de sus orígenes, condiciones socioeconómicas y del entorno en el cual reside, además de la autopercepción que tiene de sus habilidades y de otros intereses y actividades, tal y como se registra en Bustamante y Arroyo (2008).

Considerando lo anterior, se pueden adelantar definiciones acerca la calidad del empleo, considerando que estas debe fundamentarse en factores objetivos. Van Bastelaer y Hussmann (2000) señalan que ''la calidad del empleo se refiere a un conjunto de características que determinan la capacidad del empleo de satisfacer ciertas necesidades comúnmente aceptadas'' (p. 2), mientras que Reinecke y Valenzuela (2000) la definen como ''el conjunto de factores vinculados al trabajo que influyen en el bienestar económico, social, psíquico y de salud de los trabajadores'' (p. 30).

De acuerdo con Meisenheimer (1998) y Reinecke y Valenzuela (2000), las variables consideradas dentro de la literatura como las más importantes cuando se trata de determinar la calidad de un empleo se pueden resumir en: salario, beneficios laborales, estabilidad laboral y de ingresos, características ocupacionales y representación de intereses y organización3.

Se puede anotar que otro de los intentos por establecer una clasificación del empleo en función de su calidad corre por cuenta de Infante (2004), quien establece cuatro estratos o segmentos de calidad de empleo. Clasifican a un empleo como de buena calidad si existe contrato de trabajo, se cuenta con protección en seguridad social y el salario del trabajador es mayor a 3,3 salarios mínimos. Un empleo es de calidad media superior si adolece de contrato o de seguridad social, pero el trabajador devenga un monto superior a los 2,2 salarios mínimos. Para que el empleo se catalogue como de calidad media inferior, se requiere que no importe su condición frente al nivel de contratación o seguridad social, y reciba entre 1 y 2,2 salarios mínimos por su trabajo. Por último, un empleo hace parte de la categoría de baja calidad cuando, con o sin contrato y con o sin afiliación a seguridad social, la remuneración percibida es menor a un salario mínimo.

Finalmente, resulta necesario destacar algunos estudios que proporcionan evidencia empírica relevante sobre relación entre el factor racial y la calidad del empleo, los cuales hacen uso la economía experimental y son los siguientes:

... Uno de los trabajos pioneros en este enfoque es el de Bertrand y Mullainathan (2004), que realizaron el experimento enviando curriculum vitae (CV) ficticios a diferentes ofertas de empleo publicadas en periódicos de Boston y Chicago, intentando así medir la existencia de discriminación laboral. De esta forma, los autores incluyeron nombres afroamericanos y europeos y encontraron que aquellos CV con nombres europeos (blancos) recibieron un 50% más de llamadas para entrevistas que los CV con nombres afronorteamericanos; incluso resultó aún difícil para estos mediante el mejoramiento de sus credenciales o habilidades, por lo que concluyeron que políticas de capacitación en el trabajo podían no ser suficientes por sí solas (Arroyo, Pinzón, Mora, Gómez y Cendales, 2016, p. 247).

Galarza, Kogan y Yamada (2014) replican la estrategia metodológica empleada por Bertrand y Mullainathan (2004), pero en este caso para Lima (Perú), centrándose en dos dimensiones: el sexo y el apellido de los demandantes de empleo (indígena o blanco). Se postularon de esta manera a 1.205 empleos reales clasificados en profesionales, técnicos y no calificados, enviando 4.820 CV ficticios; encontraron que los hombres recibieron un 20% más de callbacks que las mujeres, mientras que los blancos recibieron 80% más que los indígenas con habilidades similares y que era aún mayor la magnitud de la discriminación para empleos profesionales frente a los técnicos y no calificados (Arroyo et al., 2016, p. 248).

2.3.1. Evidencia empírica para Colombia

Los estudios realizados sobre el tema de discriminación en el mercado laboral colombiano se han centrado principalmente en la temática de género y, en menor medida, en la de discriminación racial. De igual manera, la forma de discriminación más estudiada ha sido la relacionada con los diferenciales en salarios percibidos por los trabajadores pertenecientes a los grupos en consideración.

En la primera de estas categorías se ubican trabajos como los de Baquero (2001), Ángel Urdinola (2003), Tenjo (2005), Fernández (2006), Bernat (2007), Tenjo (2009), Galvis (2010) Hoyos (2010) y Badel (2010), quienes utilizando datos para distintos periodos y técnicas como la descomposición de Blinder y Oaxaca, y la regresión por cuantiles, encontraron evidencia de discriminación laboral por género manifestada en diferenciales salariales para el mercado laboral colombiano.

Ahora bien, en lo tocante a la discriminación en el mercado laboral, que se deriva ya no de las diferencias de género sino por la raza, se tiene que esta categoría cuenta con menos estudios. Portilla (2003), Díaz y Forero (2006), Romero (2007), Rojas (2008), Tenjo (2009), Correa (2010) y Vega (2011) estudiaron el mercado laboral de algunas ciudades colombianas y el total nacional, encontrando evidencia mixta de discriminación asociada con la raza cuando se consideran diferenciales salariales.

Alejándose un poco de la temática de la discriminación laboral por raza a partir de la brecha salarial y abordando precisamente el aspecto de los empleos de mejor calidad, la investigación de Bustamante y Arroyo (2008) analiza la influencia del factor racial en el acceso a un empleo de calidad para la ciudad de Cali y su área metropolitana. Para ello, hacen uso de un modelo logit ordenado generalizado y datos de la Encuesta Continua de Hogares (ECH), llevada a cabo por el DANE, durante el segundo trimestre de 2004. Entre sus conclusiones, se registra que el ser un trabajador de raza negra en Cali aumenta las probabilidades de encontrarse en un empleo de mala calidad.

Ahora, en lo concerniente a estudios adelantados de la calidad del empleo en Colombia, se encuentran tanto análisis basados en la formulación de índices sintéticos, como los propuestos por Farné (2003) y Mora (2011), e investigaciones que consideran los determinantes socioeconómicos de este fenómeno usando modelos de respuesta múltiple, como el de Posso (2010). El primero de estos trabajos se basa en el uso de un indicador sintético, tras lo cual concluye que un nivel aceptable de calidad del empleo sería un índice de 60 puntos, al tiempo que señala que el índice de calidad para Colombia es de 37.5; lo que evidencia el nivel de precariedad laboral presente en el mercado colombiano. En el caso del estudio de Mora (2011), el autor muestra que si bien la calidad del empleo mejoró con respecto a las estimaciones desarrolladas por Farné en el año 2003, aún está muy por debajo del puntaje del índice asociado con un empleo de calidad.

Por otra parte, Posso (2010) estimó un modelo de respuesta múltiple, tratando de identificar características relevantes de los empleos, de acuerdo con su calidad. El modelo utilizado es un logit multinomial cuya variable dependiente es el índice de calidad del empleo de Infante (2004) y cuyas variables independientes se escogen entre aquellas asociadas al entorno socioeconómico del individuo. Como resultados para destacar del estudio, aparecen que el nivel educativo afecta de manera positiva la probabilidad de que un individuo se encuentre en un empleo de calidad. Algo similar ocurre cuando se considera la variable edad, lo cual resalta el hecho de que trabajadores más jóvenes tienen mayor posibilidad de encontrarse en un empleo de mala calidad. Por último, cabe resaltar que el autor encuentra que el estar en un empleo formal aumenta las probabilidades de ubicarse en empleos de mejor calidad, tanto más si el tamaño de la firma empleadora es mayor.

Como se puede apreciar en la literatura anteriormente referenciada, aunque en Colombia existen grandes esfuerzos investigativos por demostrar evidencia empírica relacionada con posible discriminación laboral (género, autoreconocimiento étnico, brechas salariales y acceso a empleos de calidad), todavía hay espacio para avanzar en lo que esta investigación propone y que resulta ser una extensión al trabajo de Bustamente y Arroyo (2008); es decir, el aporte de esta investigación se centra en demostrar el posible efecto discriminatorio en el acceso a empleos de calidad que pueden presentarse para aquel grupo poblacional que se autoreconoce como afrocolombiano, no solo en Cali sino también en las otras cuatro ciudades principales del país.

 

3. Metodología

Si bien existen medidas objetivas y subjetivas de la calidad del empleo, como bien se ha mostrado en la subsección anterior, esta investigación se concentra en aspectos objetivos de la medición. La razón para tal selección se fundamenta en la restricción presupuestal que se tiene para poder aplicar encuestas que permitan el procesamiento de datos estadísticos relacionados con aspectos subjetivos de tal medición. Por ello y aprovechando el acceso a los microdatos de la GEIH-DANE del año 2007, se procesan datos estadísticos que permiten concluir sobre aspectos objetivos del mercado laboral de Colombia, a partir de información secundaria.

Así, para medir la calidad del empleo de forma objetiva, el indicador más utilizado y que se calculará en esta investigación es el propuesto por Farné (2003), denominado Indicador de Calidad del Empleo (ICE), pues este permite valorar de forma diferente a trabajadores asalariados e independientes y recoge el efecto de ciertas condiciones sobre los trabajadores. En este caso son de interés los puntajes y ponderaciones del ICE para las ciudades ya señaladas, que se analizarán según el autoreconocimiento étnico del individuo.

Para la conceptualización de la calidad del empleo, se tomó como referencia el estudio realizado por Farné (2003), el cual permite analizar la calidad del empleo como el conjunto de elementos relacionados al trabajo que inciden en el bienestar social, económico, psíquico y de salud de los trabajadores (Reinecke y Valenzuela, 2000). Bajo los parámetros señalados, a continuación se describe la parte metodológica de este documento.

3.1. Datos y especificación de variables

3.1.1. Datos

Para estimar el efecto que tiene el componente racial sobre la probabilidad de acceder a un empleo de calidad, se tomaron datos de la Gran Encuesta Integrada de Hogares del DANE, correspondiente al primer trimestre de 2007. Para ese periodo, la encuesta incluyó dentro de su módulo de características generales de las personas encuestadas (módulo E), una pregunta de autoreconocimiento, tendiente a verificar la pertenencia étnica y racial de quien entrega las respuestas.

La pregunta formulada en la encuesta, fue: ''¿de acuerdo con su cultura, pueblo o rasgos físicos4... es o se reconoce como?''. Se brindaban seis opciones de respuesta entre las cuales se escogía solo una. La opción cinco entre las seis posibles, brindaba la posibilidad de que la persona se autoreconociera como negro (a), mulato (a), afrocolombiano (a) o afrodescendiente. Cabe anotar que para efectos de esta investigación, la población que se toma como negra corresponde a la que escogió como respuesta esta opción.

La presente investigación utiliza información de la GEIH 2007-I del DANE, centrándose en el análisis de una muestra de 99.962 individuos, correspondiente a las 13 principales áreas metropolitanas. Para efectos del ejercicio aquí desarrollado, se seleccionaron solamente los individuos ocupados al momento de la encuesta. La submuestra para las 13 áreas metropolitanas resultó entonces de 40.422 individuos, con 2.506 individuos que se autoreconocieron como afrocolombianos, según sus respuestas.

3.1.2. Estadísticas descriptivas

En esta subsección se presenta la distribución de los encuestados en las principales ciudades de Colombia, así como una caracterización socioeconómica de la población autoreconocida como afro, durante el primer trimestre de 2007.

Para comenzar, en la figura 1 se tiene que de los 99.962 encuestados y, específicamente, de la submuestra de 40.422 individuos que se encontraban ocupados en el mercado laboral, el 41.99% se concentra en las cinco principales ciudades del país. La participación de cada una de estas ciudades principales es del alrededor del 8% sobre el total de encuestados en las 13 ciudades principales de Colombia. Dentro del subgrupo de cinco ciudades principales, cada ciudad tiene un peso alrededor del 20%.

Por otra parte, de los 2.506 individuos que se autoreconocen como afro en Colombia, en total 2.191 (87.43%) se ubican en las cinco ciudades principales, a saber, Medellín, Barranquilla, Bogotá, Cartagena y Cali. A su vez, se observa en la figura 2 que la mayor parte de población que se autoreconoce como afro se tiene para las ciudades de Cartagena (57.83%) y Cali (32.63%). En menor proporción es observada en Bogotá (3.61%), Medellín (3.51%) y Barranquilla (2.42%).

Al caracterizar la población autoreconocida como afro por grupos etarios, se encuentra que en su mayoría esta corresponde a individuos en edades entre 25 y 45 años (56.67%). De otro lado, la menor parte de la población afro es la menor de 18 años (1.68%).

 

En relación al nivel educativo, se observa en la figura 3 que la mayor proporción de individuos que se autoreconocen como afro en el periodo 2007-I cuentan con bachillerato (51.88%). Por el contrario, la menor proporción está dada por aquellos afro que no cuenta con ningún nivel educativo (3.43%).

Respecto al sexo de la población que se autoreconoce como afro en las trece principales ciudades de Colombia, durante el trimestre 2007-I, se tiene que corresponde a 1.429 hombres (57.02%) y 1.077 mujeres (42.98%).

En cuanto a la posición en el hogar, se tiene que de los 2.506 individuos que se autoreconocen como afro, el 45.73% son jefes de hogar y el 54.27% son otros miembros del hogar.

De los individuos que se autoreconocen como afro en Colombia en el trimestre 2007-I, en la figura 6, se observa que corresponden a 1.429 individuos comprometidos (casados o en unión libre) que representan el 57.02% y a 1.077 individuos no comprometidos (solteros, separados o divorciados y viudos) que equivalen al 42.98% restante.

Referente a la formalización laboral, se observa en la figura 8 que las personas que se autoreconocen como afros en Colombia, durante el periodo analizado, son personas ocupadas en su mayoría en el sector informal (64.41%). Tan solo el 35.59% se encuentra trabajando en el sector formal.

Finalmente, al observar la distribución de la calidad del empleo de las personas autoreconocidas como afro en las cinco principales ciudades de Colombia, en general para el primer trimestre de 2007-I, se tiene que en su gran mayoría estas personas están ocupadas en empleos de baja calidad. Esta problemática es más evidente en Barranquilla (65.31%), Cartagena (60.69%) y Cali (48.98%). Por el contrario, se observa una mayor ocupación de las personas que se autoreconocen como afro en empleos de calidad medio baja, media alta y alta en Medellín y Bogotá, en comparación con las otras tres ciudades principales que se muestran también en la figura 8.

Resumiendo todo lo descrito hasta aquí, las personas que se autoreconocieron étnicamente como afro en las trece ciudades principales de Colombia, durante el primer trimestre de 2007-I; se caracterizan por ser en su mayoría hombres, tener entre 25 y 45 años de edad, tener un nivel educativo de bachillerato, estar comprometidos (casados o en unión libre), no ser jefes de hogar, residir en Cartagena o Cali, trabajar en el sector informal y, por consiguiente, coincidencialmente ocupar empleos de baja calidad en las cinco ciudades principales de Colombia; y más aún si trabajan en el mercado laboral de Barranquilla, Cartagena o Cali.

3.1.3. Especificación de las variables

Las variables que se incluyeron en el análisis, construidas a partir de la GEIH 2007-I fueron:

a) Calidad del empleo (variable dependiente): este trabajo sigue la propuesta de Bustamante y Arroyo (2008), quienes adaptan en su metodología el indicador sintético5 propuesto por Farné (2003), el cual considera cuatro diferentes dimensiones y de las variables pertenecientes a cada una de ellas realizan una valoración vertical (ponderación sobre el índice total) y otra horizontal (escala al interior de cada una de ellas), dependiendo si el empleado es asalariado o independiente. A continuación, las categorías al interior de cada variable y su puntuación para el cálculo del índice de calidad del empleo (ICL)6:

1. Ingreso: menos de 1.5 salarios mínimos (0 puntos), entre 1.5 y 3 salarios mínimos (50 pts), más de 3 salarios mínimos (100 pts).

2. Modalidad de contratación: sin contrato (0 pts), contrato a término fijo (50 pts), contrato a término indefinido (100 pts).

3. Seguridad social: sin afiliación a salud o pensión (0 pts), afiliado a salud o pensión (50 pts), afiliado a salud y pensión (100 pts).

4. Horario de trabajo: Más de 48 horas semanales (0 pts), hasta 48 horas semanales (100 pts).

Las ponderaciones de estas variables dentro del índice sintético, en el caso de los asalariados, son del 40%, 25%, 25% y 10% respectivamente para ingreso, modalidad de contratación, seguridad social y horario de trabajo. Para los trabajadores independientes, son del 50%, 35% y 15% para ingreso, seguridad social y horario de trabajo, respectivamente.

De acuerdo con el puntaje total, Farné (2003) establece cuatro grupos que ordenan jerárquicamente de forma ascendente la calidad del empleo de un trabajador. Es así como un empleado que obtiene de 75 a 100 puntos pertenece al grupo 1 (mejor calidad del empleo), si obtiene entre 50 y 75 al grupo 2, si es un puntaje mayor a 25 y menor a 50 al grupo 3 y si es menos de 25 al grupo 4 (peor calidad del empleo). A mayor puntaje obtenido por el trabajador, mayor calidad tendrá el empleo que ostenta este. En este punto, resulta necesario aclarar que como en el cálculo del índice sintético son usados umbrales y ponderadores arbitrarios, a pesar de su utilidad como medida de la calidad del empleo, este es susceptible de presentar ambigüedades en el ordenamiento y no ser universalmente válido, tal y como lo advierte Farné (2003).

b) Negro: variable dicótoma que toma el valor de 1 si la persona pertenece al grupo racial afro (negro, mulato, afrocolombiano o afrodescendiente) y 0 en cualquier otro caso. Se espera que esta variable tenga signo negativo para la categoría de alta calidad del empleo y positivo para la baja calidad del empleo, ya que esto es lo teóricamente esperado ante la posible existencia de discriminación por etnia en el mercado laboral.

c) Sexo: variable binaria que equivale a 1 para un hombre y 0 para una mujer. Respecto a esta variable no se espera un efecto definido, ya que podría llegar a ser nulo.

d) Jefe de hogar: variable dicótoma que toma el valor de 1 si la persona es jefe de hogar y 0 en otro caso. De acuerdo con Bustamante & Arroyo (2008), se espera que esta variable tenga un efecto positivo sobre la probabilidad de ocupar empleos de buena calidad.

e) Casado: Se consideran a las personas solteras como categoría base, en el caso de estarlo la variable toma el valor de 1. Según los resultados de Bustamante & Arroyo (2008), se espera que esta variable tenga un efecto positivo sobre la probabilidad de ocupar empleos de alta calidad.

f) Grupos etarios: se establecen seis rangos de edad para construir cinco variables dummy. Los rangos son: menor de 18 años, de 18 a 24 años, de 25 a 35 años, de 36 a 45 años, de 46 a 54 años y 55 años o más. Como medida cercana a la experiencia del individuo, de acuerdo con la teoría del capital humano de Becker (1968), se esperaría que a mayor rango etario, mayor sea la probabilidad que el individuo ocupe un empleo de alta calidad.

g) Nivel educativo alcanzado: pretende controlar por capital humano. Para esta característica se generaron tres variables dicótomas que toman los valores de 1 si el nivel educativo alcanzado por la persona fue primaria, 2 para bachillerato y 3 para el nivel educativo superior. La categoría base es ninguna educación. Siguiendo la teoría del capital humano de Becker (1968), se esperaría que a mayor nivel educativo, mayor sea la probabilidad que el individuo ocupe un empleo de alta calidad.

h) Informal7: esta variable binaria toma el valor de 1 si la persona está clasificada como un trabajador informal y 0 en otro caso. La definición de informalidad laboral que se sigue en este trabajo es la que adopta el DANE en Colombia siguiendo la tradición de la OIT y de su Programa de Empleo para América Latina y el Caribe (PREALC) (Ortiz, 2007). Esta definición de informalidad pretende caracterizar las actividades económicas de menor productividad y, en consecuencia, de bajos ingresos. En este marco, son considerados como informales los trabajadores que desempeñan las siguientes posiciones ocupacionales:

1. Empleados y obreros que laboran en establecimientos, negocios o empresas que ocupen hasta diez personas en todas sus agencias y sucursales; 2. trabajadores familiares sin remuneración; 3. empleados domésticos; 4. trabajadores por cuenta propia, excepto los profesionales o técnicos independientes; y 5. patrones o empleadores en empresas de diez trabajadores o menos.

Es importante señalar que la informalidad laboral vista bajo la definición anterior es fundamental para el análisis de la calidad del empleo toda vez que está directamente relacionada con la segmentación intrarregional o de escala8 del mercado laboral colombiano, reflejada por los retornos a la inversión en educación. Evidencia empírica de ello es proporcionada por autores como Ortiz, Uribe y García (2007), Ortiz, Uribe y Badillo (2008), Posso (2010) y Quiñonez y Rodríguez (2011), quienes encontraron que a mayor tamaño de la empresa, mayor eran las remuneraciones salariales; esto es, que las empresas pertenecientes al sector formal (segmento de empleos de buena o alta calidad) tales como las formales pequeñas y principalmente las formales grandes son las que mejor remuneran a los trabajadores, en comparación a las empresas unipersonales, famiempresas y microempresas pertenecientes al sector informal (segmento de empleos de mala o baja calidad).

Considerando lo anterior, teóricamente, se esperaría que la variable de informalidad tenga un efecto positivo sobre la probabilidad que el individuo se ocupe en empleos de baja calidad y negativo sobre la probabilidad de que se ocupe en empleos de alta calidad.

3.2. Modelo

En el desarrollo del análisis de estimación econométrica se utilizan estadísticas descriptivas y modelos logit de respuesta múltiple ordenada9. Su importancia radica en que permiten valorar de forma correcta la influencia de la raza, controlado por otros factores asociados. En este caso, la variable dependiente posee cuatro categorías de salida sujetas a ordenamiento, asociándose la primera de ellas con empleos de categoría inferior (empleo de mala calidad), pasando por clasificaciones intermedias hasta llegar a una superior (empleo de buena calidad).

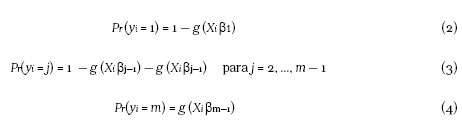
El modelo logit ordenado generalizado estima j − 1 ecuaciones y puede especificarse de la siguiente forma:

Donde m de nuevo representa el número de categorías de la variable dependiente. Así, la probabilidad de que y tome cada uno de los valores de j = 1, 2, ... m, es igual a:

Cuando el número de categorías es superior a dos, el modelo logístico ordenado generalizado sería equivalente a una serie de regresiones logísticas binarias, donde las categorías de la variable dependiente estarían combinadas (Williams, 2006). En este caso, el contraste se realiza de la siguiente manera: La categoría empleo de baja calidad es contrastada con la categoría de empleo de calidad media baja, media alta y superior; por ejemplo, cuando j = 2, el contraste se realiza entre las categorías empleo de baja calidad y calidad media baja frente a empleo de calidad media alta y superior.

 

4. Tratamiento empírico

Para encontrar el tipo de estructura que se propone, la investigación se apoyó en la estimación de un modelo logit ordenado generalizado, que relaciona la variable endógena dicotomizada Yi con las variables explicativas Xki, a través de una función de distribución logística. Aquí, la variable de respuesta (ordinal y categórica) definida, la calidad del empleo, se puede representar en diferentes niveles de la variable dependiente: en este caso, toma valores de 1, ..., M, tal que los valores más altos de Yi representan una mejor calidad del empleo, que está asociada a un conjunto de características de los individuos (Cameron y Trivedi, 2005).

4.1. Estimación del modelo econométrico

Como ya se ha señalado, a partir de datos provenientes de la GEIH 2007-I se estimó inicialmente un modelo logit ordenado por máxima verosimilitud, tal y como lo sugiere Williams (2006). La estimación se realizó para las cinco áreas metropolitanas consideradas, resultando 2.628 observaciones para Barranquilla, 2.988 para Bogotá, 2.952 para Cali, 2.129 para Cartagena y 3.499 para Medellín; de las cuales se tenían valores para todas las variables del modelo10. Adicionalmente, se estimó el mismo modelo para Colombia con el ánimo de comparar las cinco ciudades principales con el total nacional. No obstante, de acuerdo a los resultados del test de Brant que se adjunta en los anexos del presente documento, la interpretación del modelo logit ordenado no apropiada para el estudio de la calidad del empleo, debido a que se viola el supuesto de regresiones paralelas y, por tanto, los estimadores obtenidos son sesgados e ineficientes, como lo indica Williams (2006). Lo anterior indica que se debe estimar un modelo con variable de elección discreta para superar los inconvenientes del logit ordenado, siendo en este caso necesario estimar un modelo logit ordenado generalizado.

Para el logit ordenado generalizado nacional se contó con 29.510 observaciones. En el modelo, se definió como variable dependiente la calidad del empleo a la cual puede aspirar una persona que se encuentre en edad de trabajar, mientras que como variables independientes se contemplaron la condición étnico-racial, género, nivel educativo alcanzado por la persona, edad, jefatura de hogar, estado civil y grado de formalidad del empleo. De la misma forma, se buscó establecer los determinantes del modelo en los diferentes niveles de calidad de empleo según el índice de Farné (2003) para las personas que se autoreconocen como afro.

 

5. Análisis de resultados11

Tal como en Bustamante y Arroyo (2008), para la estimación del modelo logit ordenado generalizado se le impuso restricciones entre las distintas ecuaciones a los coeficientes asociados con una determinada variable, de tal manera que las variables problemáticas bajo el test de Brant, cumplieran ahora con el supuesto de regresiones paralelas y provean resultados insesgados y eficientes. Por tanto, los coeficientes estimados de algunas variables serán iguales, sin importar el nivel analizado. En otras palabras, los presentes resultados no dependen de las decisiones arbitrarias que se generan, posiblemente, en la construcción de un índice sintético como el ICL.

A partir de lo consignado en la figura 10, puede notarse que el ser hombre disminuye la probabilidad de estar en un empleo de alta calidad en las ciudades de la costa Caribe (Barranquilla y Cartagena), mientras que para las demás ciudades y el total nacional el efecto de esta variable es casi nulo.

Ahora, al revisar los resultados de la variable jefe de hogar, se puede observar que cumplir esta condición tiene un efecto positivo sobre la categoría en cuestión. Esto coincide con los resultados de Bustamante y Arroyo (2008) y lleva a considerar que un jefe de hogar elige con mayor cuidado el tipo de empleo al que accede, debido a que los beneficios que este le reporta, por ejemplo la cobertura en salud y la seguridad social, resultan determinantes para el bienestar del grupo familiar al que da soporte.

La figura 11, por su parte, muestra que el ser hombre tiene un efecto positivo sobre la probabilidad de estar en un empleo de calidad media alta únicamente en la ciudad de Bogotá, mientras que para las demás ciudades y el total nacional, el efecto es casi nulo.

Los resultados de la figura 12 evidencian que el ser hombre tiene un efecto negativo sobre la probabilidad de estar en un empleo de calidad media baja consistente para todas las ciudades y el total nacional, a pesar de ser pequeño para Cali. En lo concerniente a los resultados de la variable jefe de hogar, se puede observar que cumplir esta condición tiene un efecto negativo sobre esta categoría para todas las ciudades y el total nacional, con excepción de Barranquilla, que reporta un efecto positivo.

La variable casado tiene un efecto positivo sobre la probabilidad de hallarse en empleos de calidad media baja para todas las ciudades y el total nacional; con la excepción del resultado reportado por Bogotá, que tiene un efecto negativo muy pequeño.

Por su parte, los resultados para la categoría de baja calidad del empleo se muestran en la figura 13. En ellos, se evidencia que el ser hombre tiene un efecto positivo sobre la probabilidad de estar en uno de estos empleos, consistente para todas las ciudades y el total nacional, a pesar de ser pequeño para Bogotá.

En lo concerniente a los resultados de la variable jefe de hogar, se puede observar que cumplir esta condición tiene un efecto negativo sobre la categoría en cuestión para todas las ciudades estudiadas, así como para el total nacional, con excepción de Cali, que reporta un efecto positivo. La variable casado tiene un efecto negativo sobre la probabilidad de hallarse en esta categoría de calidad del empleo para todas las ciudades y el total nacional.

Inicialmente, los resultados obtenidos concuerdan con los obtenidos por autores como García (2011), quien encuentra que para el mercado laboral de las trece principales áreas metropolitanas en 2009, la probabilidad de que un aspirante por un empleo decida esperar hasta obtener un empleo formal y de mejor calidad aumenta con la prima salarial que ofrece el sector formal y el nivel de responsabilidad que tiene el individuo en el hogar; es decir, ser jefe de hogar y estar casado.

No obstante, los resultados obtenidos en cuanto a la probabilidad positiva que tiene un trabajador de encontrarse en un empleo de baja calidad en Cali, pueden justificarse al considerar que a estos generalmente acceden personas en situación de pobreza y con bajos ingresos, sumado al hecho que tienen obligaciones asociadas al sostenimiento de su núcleo familiar, les obliga a ingresar más rápidamente al mercado laboral; por lo que tienen menores expectativas sobre la calidad del empleo a obtener y un menor salario de reserva.

5.1. Interpretación del modelo desde la teoría económica

Es importante resaltar que el comportamiento de la variable educación superior y alta calidad de empleo en el ámbito nacional es muy similar a la presentada por Cali, toda vez que un incremento en el nivel educativo de los individuos, que logre ubicarlos en niveles de educación superior, genera un aumento de acceso a un empleo de alta calidad en promedio al 23% para todas las ciudades, incluido el total nacional, siendo Cartagena la de mayor incremento en la probabilidad con un 77% y Bogotá la menor con un 28%, resultados más que consistentes con las conclusiones de Becker (1971), Arrow (1971) y Cain (1986).

Seguidamente, de los datos se puede destacar que la ciudad que presenta la más alta probabilidad de no pertenecer al grupo de baja calidad del empleo es Barranquilla con un 34%, seguida por Cali con 32%, Cartagena con 30%, Medellín con 25% y finalmente Bogotá con un 19%; contra la probabilidad media de todas las ciudades, incluido el total nacional, que se encuentra en un 28%. Nuevamente, se considera importante resaltar que el comportamiento de la variable educación superior y baja calidad de empleo, en el ámbito nacional, es muy similar al presentado por Medellín. Lo anterior se puede considerar como evidencia que permite confirmar que el nivel educativo se constituye como la principal variable correlacionada positivamente con los ingresos laborales y su posterior incidencia en la calidad del empleo en las cifras agregadas. Así, a mayores niveles educativos hay mayores ingresos y, por tanto, es muy probable que se pueda mejorar la calificación del empleo en términos de calidad, como bien señala Pineda (2010).

Con respecto al estado civil y en particular para aquellas personas que tienen la condición de comprometido, se puede observar que el tener una relación formal proporciona una probabilidad mayor de tener un empleo de alta calidad en todas las ciudades evaluadas, incluido el total nacional, en promedio al 1%. Seguidamente, es posible anotar que ser casado le representa a los individuos una menor probabilidad de encontrarse en empleos de baja calidad en las cinco ciudades estudiadas, así como en toda Colombia, en promedio al 6%. Sin embargo, los resultados muestran que Bogotá es la única ciudad donde la menor probabilidad se presenta desde el nivel de calidad de empleo media baja.

Dejando de lado la situación de conflicto armado que vive el país, este último fenómeno tiene sustento teórico en un modelo como el de Lewis (1954), que explica los flujos migratorios que recibe una ciudad como Bogotá, como resultado de la atracción que genera al ser un centro de oferta de empleos del sector industrial y de servicios; tradicionalmente, mejor remunerados que las actividades laborales rurales. Así las cosas, la mano de obra rural emigran hacia la ciudad buscando percibir mejores remuneraciones, pero se ve sometida a un alto nivel de precarización debido al bajo nivel de capital humano que posee. A su vez, tal situación explica la alta tasa de informalidad y subempleo para este tipo de ciudades.

Adicionalmente, es posible decir que la variable grupos de edad no tiene una incidencia negativa en las probabilidades marginales del segmento de alta calidad de empleo; excepto en el caso de Cartagena para las personas que se encuentren entre los 18 y 24 años de edad. No obstante, el estar incluido en el grupo de edad de mayores de 55 años proporciona a los individuos unas mayores ventajas probabilísticas de pertenecer a un grupo de alta calidad de empleo, en comparación a los diferentes grupos de edades considerados. Este hecho, guarda relación con lo consignado en los modelos teóricos de discriminación estadística sugeridos por Phelps (1972), Arrow (1971) y Aigner y Cain (1977), en el sentido de que aquellos empleadores que ofertan empleos de alta calidad, en función de estereotipos en los cuales la experiencia y la capacidad para desempeñar determinados trabajos se asocia con mayor edad, puedan inclinarse por contratar preferentemente a personas mayores para ocupar estas plazas de trabajo.

Siguiendo esta línea, es interesante observar el comportamiento de los otros segmentos de calidad del empleo, en relación a los grupos de la edad; en particular, para los grupos de baja y media baja calidad. En concreto, los resultados para estos segmentos, apoyan lo expuesto por Santamaría (2001), quien manifiesta que existe una menor probabilidad de ingresar al mercado laboral en los primeros rangos de edad, probabilidad que va aumentando en la edad madura, para finalmente ir disminuyendo después de los cincuenta años.

A modo de resumen, los resultados evidencian que la probabilidad de obtener un empleo de alta calidad depende del nivel educativo, la edad y el estado civil. Esto guarda relación con lo encontrado por Vélez (1993), quien manifestó que la participación en el mercado laboral depende de este tipo de determinantes.

Por otro lado, la figura 14 muestra que la variable informal es significativa en todas las ciudades y no proporciona incrementos en las probabilidades de acceso al empleo de alta calidad en promedio para todas las ciudades, incluido total nacional, con un 19%, resaltando que Cali proporciona el mayor efecto negativo sobre la probabilidad de acceso a empleo de calidad bajo informalidad, con un 21%; mientras que Barranquilla y Cartagena tienen un 16%.

Incluso, este mismo comportamiento se presenta para la calidad media alta de empleo y en menor grado para la calidad de empleo media baja, en contraste con el incremento en la probabilidad que presenta la variable para la calidad de empleo baja, la cual se encuentra en un promedio del 42% para todas las ciudades, incluido el total nacional. Además, se puede resaltar que Cartagena representa la mayor de las probabilidades en un 53 %, mientras que Medellín, la menor probabilidad con un 33%. Es importante agregar que la informalidad en todas las ciudades analizadas es superior a la formalidad, siendo Barranquilla y Cartagena las ciudades con mayor proporción de informalidad.

Al respecto, resulta importante destacar que en la costa Caribe, los trabajadores formales cursan en promedio tres semestres de educación superior, mientras que los informales no han terminado la educación básica secundaria (Roldán, 2009); siendo la variable educación una de las que mayor impacto tiene sobre la probabilidad de los individuos de acceder a un empleo de buena calidad, los cuales se vinculan principalmente con el sector formal de la economía.

Para complementar la interpretación de la figura 14, se señala que según Cárdenas y Mejía (2007), la evidencia en Colombia apunta hacia un incremento considerable en la informalidad desde finales del 2000. Para ellos, lo anterior se fundamenta en factores que se encontraban fuertemente asociados con la crisis económica de la época y el incremento en la carga tributaria para el sector empresarial, incluyendo los costos laborales distintos al salario. Así, pues, la principal consecuencia de la informalidad se asocia con menores ingresos y una menor cantidad de activos con relación al sector formal; sin embargo, es importante precisar que las utilidades no difieren entre ambos grupos. Estos autores concluyen que la complejidad del sistema tributario colombiano, sumado a las altas tarifas a las que se enfrentan las firmas, hacen poco atractiva la formalización empresarial.

Ahora, en la medida que las desigualdades de raza y género constituyen ejes estructurantes de los patrones de discriminación, inequidad social y pobreza (Abramo, 2008), resulta relevante revisar los resultados obtenidos en el presente trabajo para la calidad del empleo en función del género, los cuales pueden observarse en la figura 15.

Con relación al género y al grupo de alta calidad de empleo, se puede observar que la única ciudad que no presenta para los hombres un incremento marginal en la probabilidad de estar en este grupo es Medellín; sin embargo, para el grupo de calidad de empleo media baja, Medellín es la ciudad que menor probabilidad le ofrece a los hombres de pertenecer a este grupo. La variable género es estadísticamente significativa para todas las ciudades, incluso en el ámbito nacional, excepto en Cali y Cartagena para el grupo de calidad de empleo media alta. Según la figura, el ser hombre proporciona una menor probabilidad de obtener un empleo de alta calidad en todas las ciudades, excepto en Medellín, donde esta condición implica una mayor probabilidad de obtener un empleo de calidad. Esta situación se puede explicar a partir de la valoración diferencial que los empleadores hacen de las mujeres como resultado de la incorporación de la característica observable género; que condiciona las preferencias o gustos como lo denominaría Becker (1971), o con la discriminación estadística según Arrow (1971) y Phelps (1972). Este fenómeno contribuye a determinar no solo los resultados de este trabajo sobre la calidad del empleo obtenido, sino también aquellos que hacen referencia a presencia de discriminación a partir de diferenciales salariales, como: Tenjo (1993), Baquero (2001), Ángel Urdinola (2003), Tenjo (2005), Tenjo (2009) y Galvis (2010).

Finalmente, con base en los datos obtenidos para la clasificación de empleo de alta calidad y género, se observa que Bogotá es la ciudad que menos desfavorece a los hombres después de Medellín, seguida por Cali, Cartagena y Barranquilla, donde se presenta la mayor probabilidad, siendo esta del orden del 1.9%.

5.2. Comportamiento de la determinante raza en la calidad del empleo

Dado que el presente estudio tiene como principal objetivo valorar el efecto que tiene la variable raza en el acceso a empleos de calidad, los resultados obtenidos permiten deducir que las personas que se autoreconocen como afro presentan una menor probabilidad de acceso al grupo de alta calidad de empleo en promedio para todas las ciudades, resaltando que es Barranquilla la ciudad que menos probabilidades de acceso brinda a empleos de alta calidad a esta población con un 6.4%, mientras que para Medellín es del 1.1%. De hecho, empíricamente, la caracterización socioeconómica realizada en la subsección 2.1.2, evidenciaba que Barranquilla es la ciudad con mayor número de personas que se autoreconocen como afros ocupadas en empleos de baja calidad (65.31%)

Para el nivel de empleo media alta, el comportamiento de la variable es similar al de alta calidad, aunque la ciudad que menos probabilidad de acceso ofrece a este grupo, es Bogotá con un 2,7%, mientras que Barranquilla tiene un 0,5%. Con relación a los niveles de calidad de empleo media baja y baja, se puede observar que la variable estudiada brinda una mayor probabilidad de estar ubicado en estos dos grupos de calidad de empleo, siendo el promedio para media baja del 1.1% para todas las ciudades, incluido total nacional, y para el nivel de baja calidad de un 4%.

En tal sentido, estos resultados pueden sugerir la existencia del fenómeno discriminatorio por raza y apoyar lo expuesto por Bustamante y Arroyo (2008) en su análisis para la ciudad de Cali y el total nacional. De igual manera, tales resultados guardan relación con la situación expuesta al realizar el análisis descriptivo de los datos, el cual mostraba la presencia de menores logros educativos y en la calidad del empleo obtenido, por parte de los afrodescendientes.

En la figura 16 se infiere que entre las ciudades analizadas, aquella en la que mayor incidencia tiene la raza en términos de calidad del empleo obtenido es Barranquilla, seguida por Cartagena, Bogotá, Cali y Medellín. El comportamiento en el ámbito nacional se encuentra por debajo del promedio de ciudades.

Analizando el comportamiento de la variable raza y su efecto individual en cada una de las ciudades estudiadas, se puede observar que la ciudad de Barranquilla parece sugerir la presencia de mayores niveles de discriminación para las categorías de alta y baja calidad de empleo. Como evidencia de lo anterior y para complementar la figura 16, se presenta la desviación estándar para todos los valores asociados a Barranquilla, en lo que respecta a raza y calidad de empleo, la cual tiene un valor de 0.0880.

De igual forma, se evidencia que la ciudad que menos variación presenta entre los distintos niveles de calidad de empleo y raza, es la ciudad de Cali con 0.0237 en su desviación estándar. Pese al aparente buen resultado de Cali versus las otras principales ciudades analizadas para 2007, es importante confrontar esta situación con lo obtenido por Bustamante y Arroyo (2008) para esa ciudad, durante 2004; toda vez que se han presentado importantes variaciones en la magnitud del fenómeno discriminatorio, cuando se considera el acceso a un empleo de calidad para este tipo de población.

A modo de ejemplo, al analizar la evolución del efecto marginal asociado a los trabajadores pertenecientes al grupo autoreconocido como afro en la categoría de baja calidad del empleo, se evidencia que se reduce de un 12.2 puntos porcentuales en 2004 a 6.7 puntos porcentuales en 2007, situación que indica que este tipo de trabajadores han experimentado una reducción de un 44.7% en las probabilidades de encontrarse en un empleo de mala calidad. De igual forma, se observa que el efecto marginal para este grupo poblacional en las probabilidades de estar en un empleo de calidad media baja, que para ambos periodos es negativo, se hace prácticamente cero para 2007.

Sin embargo, en los segmentos de mejor calidad del empleo, esto es, en los empleos de calidad media alta y alta calidad, sigue presentándose discriminación y más aún, se observa un aumento de dicho fenómeno para el primero de estos, evidenciándose en un aumento de más de dos veces en lo que se reducen las probabilidades de estar en un empleo de calidad media alta por autoreconocerse afro, pasando de una reducción de 2.1 puntos porcentuales a 4.7 puntos porcentuales. En cuanto a los empleos de buena calidad, aún persiste discriminación y se da prácticamente en el mismo grado.

Complementando lo anterior, es importante revisar lo que en materia de política pública se ha venido realizando en la Gobernación del Valle del Cauca, así como en la Alcaldía de Cali, durante las pasadas y actuales administraciones, con la intención de poder evidenciar que tan real es la disminución de la discriminación por empleos de calidad para el grupo estudiado. En tal sentido, la administración departamental aseguró que sus políticas de inclusión se desarrollarían en todos los rincones del Valle del Cauca, según las directrices del gobernador del departamento del Valle del Cauca, Ubeimar Delgado; quien finalmente coincide con la intención del exgobernador Juan Carlos Abadía, quien estableció el decreto y ordenanza de creación de la Secretaría de Asuntos Étnicos del Departamento.

Por último y según los datos, Barranquilla y Cartagena son las ciudades que presentan un mayor grado de concentración, en los extremos, en términos de calidad de empleo. Mientras Bogotá presenta una relación del 94% y Cali un 85% entre las calidades de empleo intermedias, versus las calidades de empleo extremas, Barranquilla presenta una relación del 64% y Cartagena un 70%. Lo anterior puede ser explicado por las implicaciones que habría tenido el fuerte incremento de la Población Económicamente Activa (PEA) de Barranquilla, durante 2007. En este sentido, resulta importante resaltar que para este año, Barranquilla presentó un aumento en la tasa de desempleo, generado por el incremento del 9% en la PEA, cuando el crecimiento promedio anual en los últimos seis años, había sido de 1.3% (Fundesarrollo, 2007).

 

6. Comentarios finales

El presente trabajo muestra que en Colombia, durante el periodo considerado, la condición étnicoracial presentaba influencia sobre la probabilidad de obtener un empleo de cierta calidad. Este efecto se mantiene al desagregar las cinco áreas metropolitanas consideradas según la estructura del modelo, e indica que al autoreconocerse como un individuo afro con respecto a no hacerlo, disminuye la probabilidad de encontrarse en un empleo de mayor calidad y aumenta la probabilidad de encontrarse en uno de calidad menor. Este hecho puede representar un indicio de presencia de discriminación por raza.

De forma particular, los resultados de las estimaciones evidencian que para el primer trimestre de 2007-I, el ser un trabajador afro aumenta las probabilidades de encontrarse en un empleo de mala calidad en un 1,9 % para Cali, en un 3,4 % para Bogotá, en un 12,61 % para Barranquilla, en un 1,8 % para Cartagena y en un 3,8 % para el total nacional. Estos valores resultan significativos y arrojan elementos a considerar cuando se considera la posible presencia de discriminación laboral étnico-racial en las principales ciudades de Colombia. En esa misma línea, el ser un trabajador de raza negra disminuye las probabilidades de acceder a empleos de alta calidad, siendo la reducción del orden de 1,8% para Cali, de 3,9% para Bogotá, de 6,3% para Barranquilla, de 5% para Cartagena, de 1,1% para Medellín y de 3,4% para el total de las 13 áreas metropolitanas.

Adicionalmente, se puede observar cómo la informalidad presenta un efecto negativo sobre la probabilidad de obtener empleos de alta y media alta calidad en las cinco ciudades principales y el total nacional, mientras que ocurre el efecto contrario sobre la probabilidad de encontrarse en un empleo de baja calidad. De igual forma, se encontró que pertenecer al género masculino, ser soltero, tener menor nivel educativo y pertenecer a grupos de edad menor tiene una incidencia positiva sobre la probabilidad de encontrarse en un empleo de baja calidad.

Respecto a la variable educación, se tiene un efecto marginal negativo sobre la probabilidad de encontrarse en empleos de menor calidad. Tal situación indica que los efectos de la educación son positivos desde el punto de vista del bienestar, y más porque aumenta las posibilidades de ingresar a una ocupación de alta calidad y se desalienta la ocupación de baja calidad. En ese sentido, según Farné (2008), el mercado laboral a nivel profesional en los últimos años presenta un diferencial importante entre los niveles de oferta y demanda. Lo anterior configura evidencia de una caída en los diferenciales salariales entre trabajadores calificados y no calificados, así como de una disminución en los retornos de la educación universitaria; mientras que los beneficios de la educación a nivel de posgrado siguen presentando crecimiento.

Los resultados obtenidos, tanto a partir de la estimación de los modelos como a través de las estadísticas descriptivas de la muestra para las cinco áreas metropolitanas consideradas y el total nacional, muestran que los afrocolombianos cuentan con menores dotaciones de capital humano en promedio, lo que incide en sus posibilidades de ubicarse en los trabajos de mayor calidad. Esto se presenta, probablemente, debido a dificultades de los individuos afrodescendientes para acceder a las instancias de adquisición de capital humano que les permitirían sobrepasar las barreras de entrada a estos trabajos que, en general, exigen mayores calificaciones que los empleos de menor calidad. En ese mismo sentido, se observa también que al separar la muestra por raza, los afrocolombianos presentan las tasas más altas de informalidad, resultado que se encuentra asociado con las menores dotaciones de capital humano de este grupo poblacional; en la medida que autores como García (2009) establecen que el fenómeno de la informalidad en Colombia tiene una relación inversa con el nivel de educación de la población ocupada.

Ahora, si bien los resultados obtenidos a partir de este ejercicio resultan relevantes, es evidente que deben realizarse posteriores esfuerzos para develar los factores que fomentan la desigualdad de oportunidades laborales entre grupos raciales en las cinco ciudades estudiadas y en el ámbito nacional. El tema de los resultados diferenciales en términos del acceso a empleos de calidad adquiere importancia en los ámbitos académico, institucional y gubernamental, pues pone su foco de atención en factores a considerar al momento de diseñar políticas públicas con efecto sobre el mercado laboral. En esta línea de acción, es importante complementar el tema de la determinación de las variables que inciden sobre el acceso a empleos de calidad, con el de la cuantificación del efecto que tienen las características adquiridas y adscriptivas de los participantes en el mercado laboral. Resulta conveniente entonces sugerir que hacia estos aspectos deben dirigirse futuros esfuerzos investigativos y académicos. Igualmente, en una extensión de la presente investigación, sería muy relevante fortalecer los análisis alrededor de la calidad del empleo con la inclusión de nuevas variables más específicas, asociadas a la ocupación y el sector económico que permitan hacer visible el efecto de pertenecer a un sector económico u otro sobre las posibilidades reales del individuo para acceder a un empleo de calidad.

 


1 La elección de las cinco principales ciudades se sustenta en su representatividad dentro de la muestra, puesto que, además de ser las ciudades con mayor proporción de encuestados, cuentan con la mayor participación de la población que se autoreconoce como negra sobre el total nacional (13 principales ciudades); así, de los 2.506 individuos que se autoreconocen como negros, para el año 2007, Cartagena participa con el 50.56%, Cali con el 28.53%, Bogotá con el 3.15%, Medellín con el 3.07% y Barranquilla con el 2.11%. Adicional a ello, es importante considerar que coincidencialmente, estas también son las ciudades donde se tiende a concentrar en mayor parte la actividad productiva del país.

2 Siguiendo la estructura de la GEIH del DANE, en el presente documento se empleará el término étnico ''afro'', ya que para la versión correspondiente al año 2007, la encuesta en su pregunta de autorreconocimiento étnico hace referencia a negro (a), mulato (a), afrocolombiano (a) o afrodescendiente.

3 Con el ánimo de simplificar este marco de referencia, se sugiere consultar Bustamante y Arroyo (2008) para ampliar las definiciones de las variables vinculadas a la calidad del empleo.

4 Por características físicas se entiende, entre otras, el color de piel y los rasgos fenotípicos.

5 Un indicador sintético es un instrumento estadístico que permite medir de forma cuantitativa y resumida un fenómeno, a través de la agregación de distintos indicadores parciales. Sin embargo, es importante advertir que este tipo de indicadores presentan inconvenientes que deben considerarse para una correcta interpretación de los resultados. A modo de ejemplo, Domínguez et al. (2011) señalan que estos procedimientos están determinados por la forma en la que los indicadores se agrupan, es decir, cuando los indicadores se subdividen por dimensiones para realizar varias agregaciones, puede ocurrir que el peso real que se le da a cada indicador sea no igualitario. Pese a lo anterior, los resultados aquí presentados son consistentes con estimaciones de errores estándar por remuestreo, ver tablas 2 y 3 de los anexos.

6 Para revisar el detalle y la descripción del índice sintético de Farné (2003), en relación a los ponderados verticales, consultar Bustamante y Arroyo (2008).

7 Esta clasificación incluye a personas sin preparación técnica o que trabajan en empresas pequeñas. Generalmente, ambas condiciones se relacionan con escasez de capital humano y físico.

8 Es aquella segmentación del mercado laboral asociada al tamaño del empleador.

9 En este tipo de modelos, la variable endógena es una variable discreta con varias alternativas de respuesta.

10 Resulta importante alertar que cuando se desea ejecutar un modelo logit ordenado generalizado es preciso validar el supuesto de independencia de las alternativas. Para ello, se realizó la prueba de Hausman, obteniéndose como resultado que las alternativas de calidad de empleo son independientes, ver anexos.

11 En los anexos se presentan resultados complementarios y los test econométricos aplicados para la validación del modelo.


 

Referencias

Abramo, L. (2008). Trabajo, género y raza. Nueva Sociedad, (218), 87 – 106.

Aigner, D. y Cain, G. (1977). Statistical theories of discrimination in labor markets. Industrial and Labor Relations Review, 3 (2), 175–187.

Altonji, J. y Blank, R. (1999). Race and gender in the labor market. Handbook of labor economics, 2, 3143– 3259.

Ángel Urdinola, D y Wodon, Q. (2003). The gender wage Gap and poverty in Colombia. Archivos de Economía, (239):1 – 39.

Arroyo, J., Pinzón, L., Mora, J., Gómez, D. & Cendales, A. (2016). Afrocolombianos, discriminación y segregación espacial de la calidad del empleo para Cali. Cuadernos de Economía, 35 (69), 237-266. En proceso de publicación.

Arrow, K. (1971). The theory of discrimination. Number working paper 30A in Industrial relations section, 1–37.

Arrow, K. (1998). What Has Economics to Say about Racial Discrimination? The Journal of Economic Perspectives, 12 (2), 91–100.

Badel, A. y Peña, X. (2010). Decomposing the Gender Wage Gap with Sample Selection Adjustment: Evidence from Colombia. Documento CEDE Universidad de los Andes, (37), 1– 25.

Baquero, J. (2001). Estimación de la discriminación salarial por género para los trabajadores asalariados urbanos de Colombia (1984-1999). Borradores de Investigación Universidad del Rosario, (13), 1–26.

Becker, G. S. (1968). Crimen y castigo: un enfoque económico. En W. Breit & H. Hochman (Comps.), Microeconomía. Nueva Editorial Interamericana, 272-297.

Becker, G. (1971). The economics of discrimination. The University of Chicago Press.

Bernat, L. (2007). Análisis de género de las diferencias salariales en las siete principales áreas metropolitanas colombianas: ÀEvidencia de discriminación? Cuadernos PNUD, 65–78.

Burger, R. y Jafta, R. (2006). Returns to race: Labour market discrimination in post- apartheid South Africa. Stellenbosch Working Papers, 1–41.

Bustamante, C. y Arroyo, J. (2008). La raza como determinante del acceso a un empleo de calidad: Un estudio para Cali. Ensayos sobre política económica, 26 (57), 130–175.

Cain, G. (1986). The Economic Analysis of Labor Market Discrimination: A Survey, volume 1 of Handbook of Labor Economics. Elsevier Science. Chapter 13, 693–781.

Cameron, A. C. y Trivedi, P. K. (2005). Microeconometrics: Methods and Applications. New York, Cambridge University Press.

Cárdenas, M. y Mejia, C. (2007). Informalidad en Colombia: nueva evidencia. Documento de Trabajo 35, Departamento Nacional de Planeación.

Correa, J., V. C. y. Z. V. (2010). Desigualdad étnico-racial en la distribución del ingreso en Colombia: Un análisis a partir de Regresión Cuantílica. Revista Sociedad y Economía, (19), 153 – 178.

Díaz, Y. y Forero, G. (2006). Exclusión racial en las urbes de la Costa Caribe colombiana. Serie Documentos IECC, (25).

Domínguez, M., Blancas, F., Guerrero, F., y González, M. (2011). Una revisión crítica para la construcción de indicadores sintéticos. Revista de Métodos Cuantitativos para la Economía y la Empresa, 41 – 70.

Farne, S. y Vergara, C. (2008). A los profesionales colombianos en el siglo xxi: más estudian, más ganan? Cuadernos de Trabajo del Observatorio del mercado de trabajo y la seguridad social 10, Universidad Externado de Colombia.

Farné, S. (2003). Estudio sobre la calidad del empleo en Colombia. Boletín del Observatorio del Mercado de Trabajo y la Seguridad Social.

Fernández, M. (2006). Determinantes del diferencial salarial por género en Colombia, 1997-2003. Revista Desarrollo y Sociedad, (58), 165 – 208.

Fundesarrollo (2007). Boletín de coyuntura económica local: Primer trimestre de 2007. Technical report, Cámara de Comercio de Barranquilla.

Galvis, L. (2010). Diferenciales salariales por género y región en Colombia: Una aproximación con regresión por cuantiles. Documentos de Trabajo Sobre Economía Regional, (131), 1 – 59.

García, G. A. (2009). Evolución de la informalidad laboral en Colombia: determinantes macro y efectos locales. Archivos de Economía, (360), 1–30.

García, G. A. (2011). Racionamiento de empleo formal e informalidad. Evidencia para Colombia. Technical report, Universidad Autónoma de Barcelona.

Heckman, J. (1998). Detecting Discrimination. The Journal of Economic Perspectives, 12 (2), 101–116.

Hoyos, A., Ñ. H. y. P. X. (2010). The Persistent Gender Earnings Gap in Colombia, 1994-2006. Documento CEDE Universidad, (16), 1–32.

Infante, R. y Sunkel, G. (2004). Chile: trabajo decente y calidad de vida familiar, 1990-2000. Organización Internacional del Trabajo (OIT).

Kofi, C. y Guryan, J. (2008). Prejudice and Wages: An Empirical Assessment of Becker's The Economics of Discrimination. Journal of political economy, 116 (5), 773–809.

Lewis, W. A. (1954). Economic development with unlimited supplies of labour. Manchester School of Economics and Social Studies, (22), 139 – 191.

McConnell, C. y Brue, S. (2003). Economía laboral. McGraw-Hill Interamericana de España.

Meisenheimer, J. R. (1998). The Services Industry in the ÔGoodÕ versus ÔBadÕ Jobs Debate. Monthly Labor Review, 121 (2), 22–47.

Mora, J. y Ulloa, M. (2011). Calidad del empleo en las principales ciudades colombianas y endogeneidad en la educación. Revista de Economía Institucional, 13 (25), 163 – 177.

Ortiz, C y Uribe, J. (2007). Informalidad y Subempleo: Un Modelo Probit Bivariado aplicado al Valle del Cauca. Archivos de Economía, 1 – 32.

Ortiz, C. H., J. I. Uribe & G. A. García. (2007). Segmentación de escala y segmentación regional en el mercado laboral urbano de Colombia (2000-2005). En: Carlos Zorro Sánchez (Comp.). (2007). El desarrollo: perspectivas y dimensiones. Aportes interdisciplinarios. CIDER, Universidad de los Andes, 227 – 258.

Ortiz, C. H., J. I. Uribe & E. R. Badillo. (2009). Segmentación inter e intrarregional en el mercado laboral urbano de Colombia (2001-2006). Documentos de Trabajo. CIDSE, Universidad del Valle, (117).

Phelps, E. (1972). The statistical theory of racism and sexism. The American Economic Review, 62 (4), 659– 661.

Pineda, J. (2010). Calidad del empleo e inequidades de género. Biblioteca Digital Icesi, 1 – 48.

Portilla, D. A. (2003). Mercado laboral y discriminación racial: una aproximación para Cali. Documento CEDE Universidad de los Andes, (14), 1–59

Posso, C. (2010). Calidad del empleo y segmentación laboral: un análisis para el mercado laboral colombiano 2001-2006. Revista Desarrollo y Sociedad, (65), 191 – 234.

Quiñonez, M. & J. A. Rodríguez. (2011). Rendimiento de la educación en las regiones colombianas: un análisis usando la descomposición Oaxaca-Blinder. Documentos de Trabajo. CIDSE, Universidad del Valle, (128).

Reinecke, G. y Valenzuela, M. (2000). La calidad del empleo: un enfoque de género. ¿Más y mejores empleos para las mujeres?: La experiencia de los países del Mercosur y Chile. Oficina Internacional del Trabajo. Rojas, C. (2008). Race determinants of wage gaps in Colombia. Revista Economía del Caribe, 2 (2), 31 – 65.

Roldan, P. y Ospino, C. (2009). ¿Quiénes terminan en la informalidad? Impacto de las características y el tiempo de búsqueda. Revista de Economía del Caribe, (4), 149 – 180.

Romero, J. (2007). ¿Discriminación laboral o capital humano? Determinantes del ingreso laboral de los afrocartageneros. Documentos de Trabajo Sobre Economía Regional, (98).

Rosenthal, N. H. (1989). More Than Wages at issue in job quality debate. Monthly Labor Review, 112 (12), 4 – 8.

Santamaría, M. y Rojas, N. (2001). La participacion laboral: Que ha pasado y que podemos esperar? Archivos de Economía, (146), 1 – 49.

Tenjo, J. (1993). Cambios en las Diferencias Salariales Entre Hombres y Mujeres: 1976-1988. Revista Planeación y Desarrollo, (24), 117 – 134.

Tenjo, J., R.R. y. B.L. (2005). Evolución de las diferencias salariales por sexo en seis países de America Latina: Un intento de interpretación. Documento CEDE Universidad de los Andes, (2005-18), 1 – 59.

Tenjo, J., y. H. P. (2009). Dos Ensayos sobre Discriminación: Discriminación salarial y discriminación en acceso al empleo por origen étnico y por género. Documentos de Economía Pontificia Universidad Javeriana, 1 – 57.

Van Bastelaer, A. y Hussmann, R. (2000). Measurement of the quality of employment: introduction and overview. In presentado en Joint ECE-Eurostat- ILO Seminar on Measurement of the Quality of Employment.

Vega, J. (2011). Raizales y continentales: un análisis del mercado laboral en la isla de San Andrés. Documentos de Trabajo Sobre Economía Regional, (146), 1– 49.

Vélez, E. y Winter, C. (1993). Women´s labor force participation and earnings in Colombia. Report of the Latin American and the Caribbean Technical Department 2, World Bank.

Welch, F. (1990). The employment of black men. Journal of labor Economics, 8 (1), s26–s74.

Williams, R. (2006). Generalized ordered logit/ partial proportional odds models for ordinal dependent variables. The Stata Journal, 6 (1), 58 – 82.

 

Anexos

Figura 24