ARTÍCULO ORIGINAL

 

Anomalous Localization of Light in One-Dimensional Disordered Photonic Superlattices

 

Localización anómala de la luz en superredes fotónicas unidimensionales desordenadas

 

 

D. Aristizábal-Giraldo1 and E. Reyes-Gómez2

1 Physics, deisyaristizabal@fisica.udea.edu.co, Universidad de Antioquia, Medellín, Colombia.

2 PhD. in Physical Sciences, ereyes@fisica.udea.edu.co, Universidad de Antioquia, Medellín, Colombia.

 

Received: 20-09-2012, Accepted: 26-08-2013 Available online: 05-11-2013

PACS:78.67.Pt, 42.25.-p, 46.65.+g, 72.15.Rn

 


Abstract

The Anderson localization of light in one-dimensional disordered photonic superlattices is theoretically studied. The system is considered to be made of alternating dispersive and nondispersive layers of different randomthickness. Dispersive slabs of the heterostructure are characterized by Drude-like frequency-dependent electric permittivities and magnetic permeabilities. Numerical results for the localization length are obtained via an analytical model, only valid in the case of weak disorder, and also through its general definition involving the transmissivity of the multilayered system. Anomalous λ4- and λ-4-dependencies of the localization length in positive-negative disordered photonic superlattices are obtained, in certain cases, in the long and short wavelength limits, respectively.

Key words: anderson localization; brewster anomaly; photonic superlattices.


Resumen

La localización de Anderson de la luz en superredes fotónicas desordenadas unidimensionales es estudiada teóricamente. El sistema se considera compuesto de capas alternadas dispersivas y no dispersivas de diferentes espesores aleatorios. Las capas dispersivas de la heteroestructura están caracterizadas por permitividades eléctricas y permeabilidades magnéticas tipo Drude dependientes de la frecuencia. Los resultados numéricos para la longitud de la localización son obtenidos mediante un modelo analítico, solo válido en caso de desorden débil, y también a través de la definición general que involucra la transmisividad del sistema multicapas. Las dependencias anómalas λ4 y λ-4 de la longitud de localización en superredes fotónicas desordenadas son obtenidas, en ciertos casos, en los límites de longitudes de onda larga y corta, respectivamente.

Palabras clave: localización de anderson; anomalías de brewster; superredes fotónicas.


 

 

1 Introduction

The Anderson localization of light in one-dimensional (1D) photonic heterostructures has been the subject of a considerable amount of work in the last few years [1],[2],[3],[4],[5],[6],[7]. Disorder affects a wide variety of physical properties of the heterostructure, causes multiple light scattering, originates the extinction of coherent waves propagating through the photonic superlattice, and leads to a dramatic change of the localization properties of the electromagnetic modes. In this sense, the Anderson localization of light in disordered photonic crystals has been widely studied both from the experimental and theoretical points of view [8, 9],[10],[11],[12],[13],[14]. The advent of metamaterial, also known as left-handed material (LHM) in allusion to the vectorial product between the electric and magnetic fields intensities [15], has opened up the possibility of investigate new phenomena with no counterpart in usual right-handed materials (RHM). For instance, a study on one-dimensional (1D) heterostructures composed of alternate layers of air and a non-dispersive LHM has evidenced strong suppression of Anderson localization due to the lack of phase accumulation during wave propagation [11],[16].

The aim of the present work is to theoretically investigate the asymptotic behavior, in both the long and short wavelength limits, of the Anderson localization length in 1D heterostructures obtained by the stacking of non-dispersive RHM (A) and Drude-like dispersive LHM (B) layers. Both the slabs A and B are characterized by electric permittivities and magnetic permeabilities ϵA and μA, and ϵB and μB, respectively. Here we assume that the system is sandwiched between two semi-infinite layers of material A. The absorption effects are not taken into account. The width aj (bj) of the layer A (B) at the j−th site of the 1D system is defined as aj = a+ (bj = b+), where and are random variables uniformly distributed in the interval [−Δ/2,Δ/2]. We also suppose that there is no correlation between the disorder of the heterostructure slabs [13]. One may note that a = [aj] and b = [bj], where the symbol [...] represents the configurational average of a given geometrical or physical variable.

 

2 Theoretical framework

The localization length ξ may be evaluated through the expression [4],[17]

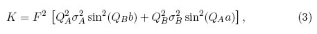
where N is the number of double layers (AB) in the photonic system and L = (aj + bj) is its corresponding length. The light-transmission coefficient T of the photonic heterostructure in Eq. (1) may be computed via the transfer-matrix formalism [14],[18],[19]. For weakly disordered systems it is possible to derive an analytical expression for ξ in terms of parameters corresponding to a 1D finite photonic superlattice without disorder, with slabs A and B of widths a and b, respectively. It has been shown that [13],[14]

where d = a +b, k is the 1D Bloch wave vector in the perfect superlattice,

 

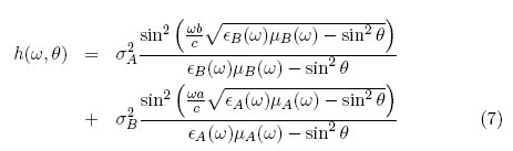
with the functions fx (x = A, B), for transversal-electric (TE) and transversalmagnetic (TM) polarizations, given by

respectively. In the above expressions one has ux = , Qx = (ω/c)ux, and θ is the incidence angle relative to the semi-infinite RHM (normal) A material.

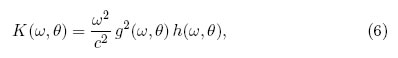
We are interested in obtaining the frequency values at which the localization length diverges. We denote such frequency values as ωc critical frequencies. It is then useful to rewrite Eq. (3) as

where

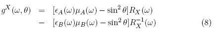
and g is defined as

for X = TE or X = TM modes, with RTE(ω) = μB(ω)/μA(ω) and RTM(ω) = ϵB(ω)/ϵA(ω). For a given value of the incidence angle, the critical frequencies satisfy

It is possible to show that the frequency values corresponding to the zeroes of h(ω, θ) are not critical frequencies. In this case, the critical frequencies are the positive real values of ω satisfying the equation gX(ω, θ) = 0, with X = TE or X = TM. Consequently, the TE (or TM) modes may be delocalized in such case, and delocalization may be interpreted as a Brewster anomaly. The incidence angle may then be identified as the Brewster angle θB at the frequency ωc. Delocalization of light in similar photonic heterostructures was previously studied in recent papers [14],[18] for oblique incidence.

For normal incidence (θ = 0) the critical frequencies come from the zeroes of g = g(ω, 0). One may see that the condition is fulfilled in this case, where

is the optical impedance of medium x = A or x = B. In other words, delocalization of light for normal incidence would be due to the matching of the square of the optical impedance throughout the heterostructure [20].

Now we consider RHM-LHM multilayered systems in which layers A are non-dispersive RHM materials and layers B consist of dispersive LHM metamaterials with both electric permittivity and magnetic permeability given by the Drude model, i.e.,

and

where ωe and ωm are the electric and magnetic plasmon frequencies, respectively, and ϵ and μ are the positive electric permittivity and magnetic permeability, respectively, of material B in the limit ω → ∞.

As a consequence of Eq. (2), it may be shown that, for normal incidence, the critical frequency is given by

under any of the following four pair of conditions: (i) ωm < ωeZA/Z and Z < ZA; (ii) ωm > ωeZA/Z and Z > ZA; (iii) ωm = ωeZA/Z and ZZA; and (iv) ωm ≠ ωeZA/Z and Z = ZA. In the above equations we have defined Z = as the optical impedance of layers B at ω → ∞.

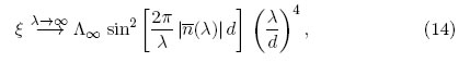
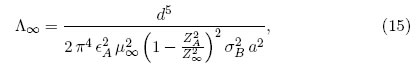
The first two cases lead to finite and nonzero values of the critical frequency, whereas the third and fourth cases lead to critical frequencies ωc = 0 and ωc → ∞, respectively. The asymptotic behavior of the localization length as a function of the frequency (or wavelength λ) may be obtained by taking the corresponding limits λ → ∞ or λ → 0 in Eq. (2). In this sense, if conditions (iii) are accomplished, Eq. (2) leads to

where

and

One may note from Eq. (14) that the oscillatory part of the asymptotic localization length is modulated by λ4.

If conditions (iv) are fulfilled, then one may obtain from Eq. (2) that

where

and

Again, the localization length may be expressed as a bounded and highly oscillatory function of λ modulated by a power-of-λ function.

2.1 Results and discussion

Now we compare the asymptotic behavior of the localization length, obtained from the above described analytical model [cf. Eq. (2), Eq. (14), and Eq. (17)], with the numerical results computed from the general Eq. (1). In Figure 1 we depict the normal-incidence localization length, as a function of the wavelength, corresponding to photonic superlattices of N = 106 double layers with thickness a = b = 12 mm. Solid and dashed lines correspond to numerical results obtained from Eq. (1) for Δ = 1 mm and Δ = 12 mm, respectively. The configurational average in Eq. (1) was taken for 100 realizations of disorder. Calculations shown in Figure 1(a) were computed for μA = ϵA = 1, ϵ = 1.21, and μ = 1, a case which corresponds to the third pair of conditions above discussed. Results displayed in Figure 1(b) were computed for the same set of geometrical parameters, but for ϵA = ϵ1 = 1.21 and μA = μ = 1. Such physical situation agrees with the fourth pair of conditions already mentioned. Dark and white areas in both Figure 1(a) and 1(b) represent the regions of localized and delocalized states, respectively. From a full statistical analysis of the numerical results of Figure 1(a), it is apparent that the localization length, in the long wavelength limit, follows the approximated expression ξ/[L] = Ξ (λ/d)α∞. For Δ = 1 mm one may find α = 4.06 ± 0.03, and a similar result may be obtained for Δ = 12 mm. The values of α are found in good agreement with the λ4 behavior predicted by Eq. (14). In the same way, results for the localization length shown in Figure 1(b) may be approximated, in the short wavelength limit, by the expression ξ/[L] = Ξ0 (λ/d)α0 . In this case one has α0 = −3.94 ± 0.01 for Δ = 1 mm, and a very similar value of α0 in the case of Δ = 12 mm is also obtained. The asymptotic behavior of the localization length, numerically computed from Eq. (1) in the limit λ → 0, is quantitatively different from the λ-2 behavior predicted by Eq. (17). Discrepancies are related with the fact that the condition of weak disorder σxQx << 1 (with x = A and x = B) [13], used to derive Eq. (2), is violated in this case. In other words, both σAQA and σBQB diverge in the limit ω → ∞ (or λ → 0). The above results suggest that, even though Eq. (2) correctly predicts the values of critical frequencies, its description of the asymptotic behavior of the localization length in the limits of short and long wavelength is only qualitative. Numerical results obtained from Eq. (1) indicate the existence of ξ ∼ λ4 and ξ ∼ λ-4 asymptotic behaviors of the localization length in the long and short wavelength limits, respectively. In the long wavelength limit the obtained behaviors of ξ is far from the classical dependence ξ ∼ λ2 [17]. In addition, the obtained divergence of the localization length in the short wavelength region has not been previously observed. We would like to stress that anomalous behaviors of localization length reported here are direct consequences of the Drude-like electric and magnetic responses of the dispersive LHM slabs B.

 

3 Conclusions

Summing up, we have investigated the asymptotic behavior of the Anderson localization length of electromagnetic waves in 1D disordered photonic superlattices in which the electric permittivity and magnetic permeability of the dispersive slabs B composing the heterostructure may depend on the wave frequency according to the Drude model. We have carried out a theoretical study of the localization length by using an analytical model valid for weakly-disordered photonic heterostructures [13],[14] which predicts, under certain conditions discussed above, a λ4- and λ-2-dependence of ξ in the limits λ → ∞ and λ → 0, respectively. Moreover, we performed numerical calculations of the localization length by using its general definition [cf. Eq. (1)] involving the transmissivity of the heterostructure, and a ξ ∼ λ4 (ξ ∼ λ-4) asymptotic behavior was obtained in the long (short) wavelength limit. Present theoretical results indicate that, in spite of the analytical model correctly predicts the critical-frequency values at which the localization length diverges, its description of the asymptotic behavior of the localization length is only qualitative. Our results suggest that the asymptotic behavior of the localization length is essentially determined by both the electric and magnetic responses characterizing the LHM slabs of the heterostructure.

 

Acknowledgements

We would like to thank the Colombian Agencies CODI, Vicerrectoría de Investigación, Sistema de Bienestar Universitario, and Instituto de Física - University of Antioquia, for partial financial support.

 

References

[1] A. G. Aronov and V. M. Gasparian, ''Brewster anomaly and transmission of light through one-dimensional random layered system,'' Solid State Communications, vol. 73, pp. 61-64, 1990. 142

[2] A. G. Aronov, V. M. Gasparian and U. Gummich, ''Transmission of waves through one-dimensional random layered systems,'' J. Phys.: Condens. Matter, vol. 3, pp. 3023, 1991. 142

[3] J. B. Pendry, ''Symmetry and transport of waves in one-dimensional disordered systems,'' Advances in Physics, vol. 43, pp. 461-542, 1994. 142 [4] M. M. Sigalas, C. M. Soukoulis, C. T. Chan, R. Biswas and K. M. Ho, ''Effect of disorder on photonic band gaps,'' Phys. Rev. B, vol. 59, pp. 12767-12770, 1999. 142, 143

[5] J. Bertolotti, S. Gottardo and D. S. Wiersma, ''Optical Necklace States in Anderson Localized 1D Systems,'' Phys. Rev. Lett., vol. 94, pp. 113903, 2005. 142

[6] J. Bertolotti, M. Galli, R. Sapienza, M. Ghulinyan, S. Gottardo, L. C. Andreani, L. Pavesi and D. S. Wiersma, ''Wave transport in random systems: Multiple resonance character of necklace modes and their statistical behavior,'' Phys. Rev. E, vol. 74, pp. 035602, 2006. 142

[7] S. F. Liew and H. Cao, ''Optical properties of 1D photonic crystals with correlated and uncorrelated disorder,'' Journal of Optics, vol. 12, pp. 024011, 2010. 142

[8] A. R. McGurn, K. T. Christensen, F. M. Mueller and A. A. Maradudin, ''Anderson localization in one-dimensional randomly disordered optical systems that are periodic on average,'' Phys. Rev. B, vol. 47, pp. 13120-13125, 1993. 142

[9] D. S. Wiersma, P. Bartolini, A. Lagendijk and R. Righini, ''Localization of light in a disordered medium,'' Nature, vol. 390, pp. 671-673, 1997. 142

[10] J. Topolancik, B. Ilic and F. Vollmer, ''Experimental Observation of Strong Photon Localization in Disordered Photonic CrystalWaveguides,'' Phys. Rev. Lett., vol. 99, pp. 253901, 2007. 142

[11] A. A. Asatryan, L. C. Botten, M. A. Byrne, V. D. Freilikher, S. A. Gredeskul, I. V. Shadrivov, R. C. McPhedran and Y. S. Kivshar, ''Suppression of Anderson Localization in Disordered Metamaterials,'' Phys. Rev. Lett., vol. 99, pp. 193902, 2007. 142

[12] Y. Lahini, A. Avidan, F. Pozzi, M. Sorel, R. Morandotti, D. N. Christodoulides and Y. Silberberg, ''Anderson Localization and Nonlinearity in One-Dimensional Disordered Photonic Lattices,'' Phys. Rev. Lett., vol. 100, pp. 013906, 2008. 142

[13] F. M. Izrailev and N. M. Makarov, ''Localization in Correlated Bilayer Structures: From Photonic Crystals to Metamaterials and Semiconductor Superlattices,'' Phys. Rev. Lett., vol. 102, pp. 203901, 2009. 142, 143, 148, 149

[14] D. Mogilevtsev, F. A. Pinheiro, R. R. dos Santos, S. B. Cavalcanti and L. E. Oliveira, ''Suppression of Anderson localization of light and Brewster anomalies in disordered superlattices containing a dispersive metamaterial,'' Phys. Rev. B, vol. 82, pp. 081105, 2010. 142, 143, 145, 149

[15] D. R. Smith, W. J. Padilla, D. C. Vier, S. C. Nemat-Nasser and S. Schultz, ''Composite Medium with Simultaneously Negative Permeability and Permittivity,'' Phys. Rev. Lett., vol. 84, pp. 4184-4187, 2000. 142

[16] A. A. Asatryan, S. A. Gredeskul, L. C. Botten, M. A. Byrne, V. D. Freilikher, I. V. Shadrivov, R. C. McPhedran and Y. S. Kivshar, ''Anderson localization of classical waves in weakly scattering metamaterials,'' Phys. Rev. B, vol. 81, pp. 075124, 2010. 142

[17] P. Sheng, Introduction to Wave Scattering, Localization, and Mesoscopic Phenomena (Academic, New York, 1995). 143, 148

[18] D. Mogilevtsev, F. A. Pinheiro, R. R. dos Santos, S. B. Cavalcanti and L. E. Oliveira, ''Light propagation and Anderson localization in disordered superlattices conLight propagation and Anderson localization in disordered superlattices containing dispersive metamaterials: Effects of correlated disorder,'' Phys. Rev. B, vol. 84, pp. 094204, 2011. 143, 145

[19] E. Reyes-Gómez, A. Bruno-Alfonso, S. B. Cavalcanti and L. E. Oliveira, ''Anderson localization and Brewster anomalies in photonic disordered quasiperiodic lattices,'' Phys. Rev. E, vol. 84, pp. 036604, 2011. 143

[20] M. Mazilu and K. Dholakia, ''Optical impedance of metallic nano-structures,'' Optics Express, vol. 14, pp. 7709-7722, 2006. 145