ARTÍCULO ORIGINAL

 

La radiación infrarroja como mecanismo de transferencia de calor de alta calidad en procesos de calentamiento

 

Infrared Radiation as Heat Transfer Mechanism of High Quality in Heating Processes

 

 

Jose Luis Suárez Castañeda1, Andrés Adolfo Amell Arrieta2 y Francisco Javier Cadavid Sierra3

1 MSc. en Ingeniería Energética y Combustión, jluis.suarez@udea.edu.co, Universidad de Antioquia, Medellín - Colombia.

2 MSc. en Ingeniería, anamell@udea.edu.co, Universidad de Antioquia, Medellín - Colombia.

3 PhD. en Ingeniería, fcadavid@udea.edu.co, Universidad de Antioquia, Medellín - Colombia.

 

Recepción:06-mar-2012, Aceptación:01-jun-2012

Disponible en línea: 30-nov-2012

PACS:88.05.Bc, 88.05.Sv, 88.05.Gh, 88.05.De

 


Resumen

En este artículo se pretende abordar la radiación infrarroja como un mecanismo principal de transferencia de calor de alta calidad en diferentes procesos de calentamiento, resaltar la pertenencia y problemática en el uso, la caracterización y el diseño de las tecnologías propias accionadas por sistemas de combustión. Para esto, se resume su fenomenología, sus definiciones, suposiciones y soluciones; se abordan algunos métodos numéricos utilizados para la solución de la ecuación de transferencia de radiación (Radiative Transfer Equation (RTE)) y el acoplamiento de éstos a los códigos CFD (Computational Fluids Dynamics); como también los tipos de equipos radiantes utilizados con mayor frecuencia, en especial los tubo radiantes; al igual que ciertas metodologías experimentales usadas para caracterizar los sistemas radiantes, y algunas metodologías de diseño. Se encontró, que el modelo del flux y el de transferencias discretas son pertinentes para darle solución al fenómeno con ayuda de los códigos CFD, como también, que el elemento de medición principalmente utilizado en las mediciones experimentales es el radiómetro; y que la metodología de diseño más práctica puede ser la optimización.

Palabras claves: radiación infrarroja, tubo radiante, radiación térmica, calor radiante.


Abstract

This paper tries to address the infrared radiation as a primary mechanism of heat transfer of high-quality in different heating processes, to highlight the issues and applicability in the use, the characterization and design of the technologies powered by combustion systems. For this, it summarizes its phenomenology, definitions, assumptions and solutions; addresses some numerical methods used to solve the Radiative Transfer Equation (RTE) and its coupling to CFD codes (Computational Fluids Dynamics); as also the types of radiant equipment usually used, in especial the radiant tubes; as well as certain experimental methodologies used to characterize radiant systems, and some design methodologies. It was found, that the flux model and the discrete transfer are sufficient to give solution to the radiation heat transfer phenomenon with the help of CFD codes, as well as the measuring device mainly used in experimental measurements is the radiometer, and the most practical design methodology may be the optimization.

Key words: infrared radiation, radiant tube, radiant heat, thermal radiation.


 

 

 

1 Introducción

Un trabajo realizado en el 2006 sobre el diagnóstico energético de las PYMES en la ciudad de Medellín-Colombia [1] mostró que en la gran mayoría de los equipos y de los sistemas térmicos utilizados, más aún en los procesos de baja temperatura (inferiores a los 400 ºC), persisten una gran variedad de problemas como: el alto grado de obsolescencia, la falta de control de las principales variables del proceso, la poca uniformidad en el calentamiento, las elevadas emisiones contaminantes, los sobrecostos de producción, y demás situaciones que también se repiten en los sistemas de combustión y calentamiento de países en vías de desarrollo, y que reducen e intervienen directamente en el correcto funcionamiento del sector industrial, y desde luego en la sociedad [2], [3].

En este sentido, el calentamiento por medio de la radiación infrarroja, se muestra como una alternativa viable para el progreso del sector productivo, no sólo por poder brindar mejores eficiencias en el sistema y calidad en los productos [4] sino también por ampliar las posibilidades para el uso de otros recursos energéticos, como los combustibles fósiles y de origen renovable, utilizando tecnologías más eficientes que permitan reducir los costos de producción. En general, dentro de los sectores en los cuales el uso de este tipo de tecnologías es relevante, se encuentran entre otros el sector del secado de papel, de cartón y de madera, la fabricación de elementos de porcelana; el sector de curado de tejas, la aplicación del teflón, la realización de recubrimientos en papeles y metales, el secado de tinta en papel, el secado de pinturas en polvo, la fabricación de plásticos; los sectores de horneado y de deshidratación en la preparación de alimentos, la fijación de colorantes en la producción de textiles y alfombras; el tratamiento de los desechos de residuos peligrosos, y el acondicionamiento de espacios en el levante de aves y cultivos de flores [5].

Por todo esto, es necesario abordar temas de estudio que involucren y pretendan mejorar el uso eficiente de la radiación térmica, particularmente en equipos que utilizan como fuente de energía la combustión, pues, además de que es la fuente más pertinente para los compromisos antes mencionados [5],[6], es también sin duda alguna una de las más empleadas. Éste trabajo pretende entonces afrontar a manera de resumen la fenomenología básica del problema, sus soluciones numéricas, las tecnologías de uso, y las metodologías de medición y de diseño que den solución a este problema. En este sentido, se resalta la pertinencia de los tubos radiantes en el uso de la radiación infrarroja como fuente de calor [7],[8],[9], ya que permiten que los gases de combustión no estén en contacto con la carga (lo cual es necesario en algunos sectores), y son de alguna manera de fácil obtención y/o construcción. En esta tecnología, el calor transferido a la carga depende básicamente de las características del medio, de las propiedades geométricas y radiantes del emisor y del receptor, de las temperaturas del proceso y de la geometría del recinto [10].

De manera similar, este artículo expone las diferentes metodologías de diseño utilizadas y encontradas actualmente en la literatura [6],[11],[12][13], las cuales a diferencia de las manejadas normalmente basadas en la experiencia y pericias del diseñador -métodos de ensayo y error que se aproximan a las necesidades establecidas mediante el tanteo de las condiciones del sistema [12], procuran obtener de manera adecuada las condiciones de diseño. Por otro lado, el presente artículo expone igualmente algunos métodos para verificar y caracterizar experimentalmente los perfiles de emisiones de radiación de una superficie determinada (específicamente en los tubos radiantes [14]), como también, algunos modelos y formulaciones numéricas (especificando aquellas que se acoplan a los códigos CFD (Computational Fluids Dynamics)), que permiten obtener de manera aproximada la evolución de éste y otros fenómenos en conjunto, y que por ende actualmente son una fuente importante de estudio debido principalmente a la posibilidad que ofrecen al reducir los costos y tiempos experimentales necesarios para caracterizar un equipo, y más aún en sistemas como los tubos radiantes [15],[16] donde convergen una gran diversidad de fenómenos térmicos y fluido-dinámicos.

 

2 Fenómeno de radiación

En la actualidad, es sin duda alguna un objeto importante de interés la generación de modelos matemáticos que permitan tener un entendimiento global de las diferentes variables involucradas en los procesos en cuestión [13],[17],[18],[19]. En este sentido, y debido principalmente a la diversidad de información y fuentes referentes a este tema, en este aparte se muestran las principales definiciones referentes a la transferencia de calor vía radiación, con el propósito de establecer una única definición principalmente en las características de los cuerpos reales. La emisión de energía en forma de radiación, debida a los cambios en los niveles de rotación y vibración de las moléculas, se describen en dos diferentes teorías [20]. Una de ellas sustenta que se da en paquetes denominados fotones o cuantos, mientras otra sostiene que la radiación se da en forma de ''luz'', o más propiamente en forma de ondas electromagnéticas. En conjunto ambos puntos de vista es lo que se conoce como la dualidad Onda-Partícula [21].

La radiación térmica, como su nombre lo indica, se refiere a la radiación que emiten los cuerpos, debido a la excitación que sus electrones constituyentes sufren a causa de la temperatura [22]. Esta emisión abarca principalmente parte del ultra violeta, del visible y todo el infrarrojo del espectro electromagnético (0, 1α100µm) [23],[24]. La emisión de estas ondas se caracteriza por su naturaleza espectral, la cual está relacionada con la longitud y/o la frecuencia de onda, y con la direccionalidad de esta ([25], [26]), ya que la mayoría de cuerpos no emiten igual intensidad de radiación en todas las direcciones [26].

Se habla de que la emisión de radiación térmica es un fenómeno volumétrico cuando la radiación emerge o entra a un volumen finito (es el efecto de la emisión a través de un volumen), y se habla de un fenómeno superficial cuando la radiación se origina (o penetra) desde una distancia de aproximadamente 1µm de la superficie expuesta [23], como se trabaja generalmente para sólidos y líquidos. Toda la fenomenología de radiación térmica, al igual que la teoría cuántica, está sustentada en la idealización de un cuerpo, denominado cuerpo negro, el cual por definición es un perfecto emisor y receptor en todas las longitudes de onda y direcciones, y por ende las propiedades radiativas de los materiales reales son referenciadas con base en éste [27].

2.1 Cuerpo negro

La emisión de un cuerpo negro, es independiente de la dirección, por lo que también se conoce como cuerpo difuso. Es importante aclarar que la denominación de ''negro'', no se puede confundir únicamente con el color y las propiedades radiativas relacionadas a éste, ya que en algunos casos (como las pinturas aceitosas blancas) los cuerpo absorben muy bien la radiación infrarroja sin ser de color negro, es decir, el color está más bien relacionado únicamente con la absorción en el espectro visible (por ejemplo, el color blanco es un mal receptor de longitudes de onda dentro de dicho espectro) [27].

2.2 Intensidad y emisión de un cuerpo negro

La intensidad espectral de radiación es conocida como la energía emitida (cuando se habla de emisión se debe pensar al mismo tiempo en absorción) en cierta dirección, y es definida como la energía que emerge (o entra) por unidad de tiempo, de longitud de onda y de área normal a la dirección dentro de un ángulo sólido determinado, como se observa en la ecuación (1)[27]:

Donde Q'λb(λ, β, θ) es la energía por unidad de tiempo emitida por la superficie normal dAn, en una longitud de onda (λ) y dirección en coordenadas esféricas (β, θ) determinada, dentro de un ángulo sólido establecido dω iλb,n(λ) es la intensidad de radiación en los mismos parámetros ya mencionados en la dirección normal (aunque como este cuerpo es también difuso esta intensidad es igual en todas las direcciones). Es importante anotar que los superíndices en este escrito hacen referencia a los comportamientos que dependen de la dirección. De manera similar, la potencia espectral emisiva direccional es la energía emitida por unidad de tiempo, de longitud de onda y de área real (no necesariamente normal a la dirección) dentro de un ángulo sólido determinado. Esta potencia se puede relacionar con la intensidad espectral ecuación(2)[27], mediante la ley del coseno de Lambert:

Como se observa en la ecuación (2), y bajo la suposición de un cuerpo negro (que como se ha advertido anteriormente por definición, también es un cuerpo difuso), la intensidad no depende de la dirección, y por ende la potencia espectral emisiva no depende del ángulo azimutal θ. Si el cuerpo no fuese negro, la potencia espectral emisiva dependería tanto de la longitud de onda como de la dirección. De igual manera, se puede determinar la potencia espectral emisiva en un hemisferio (o en algunos textos referida a todas las direcciones [23], ya que todo un hemisferio es la única posibilidad de emisión de un área plana), al integrar la ecuación (2) en un ángulo sólido (dω = sen βdβdθ) determinado [27], obteniendo la relación siguiente, donde es la energía emitida por unidad de tiempo, de longitud de onda y de área real en la posición normal:

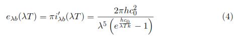
2.2.1 Distribución espectral de la potencia emisiva hemisférica (Ley de distribución de Planck) La distribución espectral de emisión de un cuerpo negro es bien conocida como la distribución de Planck, la cual no puede ser obtenida únicamente con ayuda de los fundamentos termodinámicos. Con esta formulación ecuación (4) se llega a obtener la potencia espectral emisiva hemisférica en cada una de las longitudes de onda que conforman el espectro electromagnético [23],[27].

2.2.2 Punto de inflexión de la distribución espectral (Ley de desplazamiento de Wien) Al observar la ecuación (4), se obtiene que la potencia espectral emisiva hemisférica depende de la longitud de onda y la temperatura, lo que implica que para una temperatura dada, un cuerpo emite en diferentes longitudes de onda. Sin embargo, existe sólo una longitud de onda mayor que las demás, que permite tener un máximo de la potencia espectral emisiva hemisférica. En este sentido, al derivar la ecuación (4) con respecto a λ e igualar a cero, se obtiene la relación conocida como la Ley de desplazamiento de Wien ecuación (5), la cual predice que para un cuerpo negro, la temperatura y la longitud máxima emitida son inversamente proporcionales, y de acuerdo con esto, al aumentar la temperatura del cuerpo, crece la potencia espectral emisiva hemisférica, y se desplaza a regiones del espectro donde la longitud de onda es más corta.

2.2.3 Potencia emisiva hemisférica (Ley de Stefan-Boltzmann) Al integrar la ecuación (4) sobre todo el espectro electromagnético (0a∞µm), se obtiene una relación para la potencia emisiva hemisférica (o de igual manera la intensidad) como función de la temperatura para un cuerpo negro, la cual es conocida como la ley de Stefan-Boltzmann ecuación (6):

Donde σ es la constante de Stefan-Boltzmann, la cual tiene un valor de 5,670x10-8W/m2.K. En algunas ocasiones es necesario conocer las fracciones de potencia emisiva en un rango de longitudes de onda determinado y en una temperatura establecida. Para esto, se encuentra la relación de la integral hallada entre los límites que se desea evaluar (en la ecuación (4)), con respecto a la potencia emitida en todo el espectro ecuación (6). Los resultados de estas integrales se plantean en varios textos para facilitar dicha solución [23],[24],[27]. Por otro lado, cuando la emisión se da en el vacío, como se supuso al inicio al tener en cuenta que la velocidad de propagación de la onda es c0, la ecuación (4) permanece igual, sin embargo cuando la emisión es en un medio cualquiera donde la difracción, refracción y demás fenómenos en los que pueda intervenir el medio son importantes, la velocidad de la onda cambia a c0=n (para medios dieléctricos [27]), donde n es el índice de refracción del medio y para materiales como metales es el índice complejo refractivo. Las soluciones siguen el mismo procedimiento anterior para obtener:

2.3 Cuerpos reales

Como se mencionó en el apartado anterior, los comportamientos de los cuerpos reales poseen ciertas ''eficiencias'' con respecto a un cuerpo negro. Entre las propiedades más importantes se encuentran: la emisividad, la reflectividad y la transmisividad.

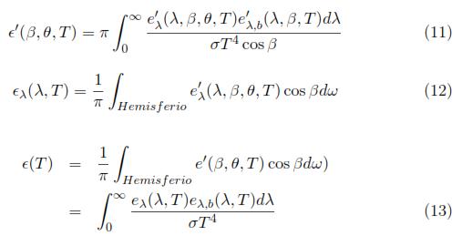
2.3.1 Emisividad Una de las propiedades radiativas más importantes y utilizadas en ingeniería es la denominada emisividad, la cual es una medida para calcular qué tanto emite un cuerpo en comparación con un cuerpo negro. Al igual que en el desarrollo anterior, la emisión de un cuerpo, y por ende su emisividad, dependen de la longitud de onda, la dirección y la temperatura, con lo cual se define entonces la emisividad direccional espectral .

 

De manera similar, si se desea encontrar: la emisividad direccional en todo el espectro ecuación (11), la emisividad espectral hemisférica ecuación (12) y la emisividad total hemisférica ecuación (13) se llega a las siguientes relaciones:

Para los resultados de estas integrales, es pertinente el uso de las tablas mencionadas anteriormente ([23], [24], [27]).

2.3.2 Absortividad Similar a la propiedad anterior, la absortividad es una propiedad que determina que tanto de la radiación que llega al cuerpo es absorbida. El tratamiento es algo similar al anterior, pero teniendo presente las características espectrales y direccionales provenientes de otra fuente. En este sentido la absortividad espectral direccional queda [27]:

Donde TA es la temperatura del cuerpo que absorbe, y Q'λ,real (λ, β, θ, TA) es la energía absorbida. Una ley muy importante que se refiere a las propiedades radiativas, es la denominada Ley de Kirchhoff, la cual establece que bajo condiciones de equilibrio termodinámico (aunque se ha encontrado que en los cuerpos se pueden dar en condiciones de equilibrio termodinámico local [27]), la emisividad y la absortividad son iguales [23]. En este sentido, se cumple para todos los cuerpos [27] que:

Esta ley es de gran utilidad para relacionar la absortividad y la emisividad para cada caso correspondiente, direccional, espectral y total. La ecuación (15) no tiene ninguna restricción especial para que sea cumplida, en cambio para que la emisividad y la absortividad direccional sean iguales, la radiación incidente debe tener una distribución espectral proporcional a la de un cuerpo negro a la misma temperatura TA, o que las propiedades de la ecuación (15) sean independientes de la longitud de onda, conocida también como una superficie gris direccional.

De forma similar, para que la absortividad espectral hemisférica sea igual a la emisividad espectral hemisférica, la radiación incidente debe ser independiente de la dirección, o que las propiedades de la ecuación (15) sean independientes del ángulo, lo que se conoce como una superficie espectral difusa.

Por otro lado, para que la absortividad total hemisférica sea igual a la emisividad total hemisférica, se debe cumplir que: la radiación incidente debe ser independiente del ángulo y tener una distribución espectral a la que tendría un cuerpo negro a una temperatura TA, o que la radiación incidente sea independiente del ángulo y que sea una superficie gris direccional, o que la radiación incidente en cada ángulo tenga una distribución espectral similar a la de un cuerpo negro a la temperatura TA y que sea una superficie espectral difusa.

2.3.3 Reflectividad y transmisividad Se sabe que una onda además de ser absorbida puede ser reflejada y/o transmitida por el medio. Es por esto que al asumir la radiación como una onda, se definen otras propiedades radiativas adicionales conocidas como reflectividad y transmisividad, las cuales son la relación con respecto a la radiación incidente que se refleja y la que se transmite a través del medio respectivamente (sin embargo en un cuerpo opaco por definición la onda sólo puede ser reflejada y/o se absorbida, es decir no es transmitida a través de él). De esta manera se concluye que la suma de la absortividad, la reflectividad y la transmisividad deben dar uno [24]. Aunque el planteamiento de estas propiedades es similar al anterior (emisividad y absortividad), es un poco más complejo pues, entre otras cosas, la reflectividad no sólo depende de la dirección de incidencia de la radiación, sino también de la dirección de salida de la onda. Todo esto y sus deducciones son ampliadas en [27].

La teoría clásica electromagnética permite la evaluación de todas éstas características radiativas mencionadas, basada en las propiedades ópticas y eléctricas y en la interacción ideal entre las ondas que viajan en un medio y llegan a otro [27]

Por otro lado, en esta misma referencia bibliográfica se resalta que la terminación -ividad (emisividad, absortividad, etc.) está relacionada generalmente a los fenómenos superficiales, mientras que la terminación -tancia (emitancia, absortancia, etc.) hace referencia a los fenómenos radiativos volumétricos.

2.4 Intercambio de radiación

El intercambio de radiación involucra una gran variedad de disciplinas, entre las cuales se destacan la óptica y la transferencia de calor. Principalmente su análisis se desarrolla suponiendo superficies encerradas en un medio transparente (diferente entre otros al vapor de agua, al dióxido de carbono o los humos con y sin presencia de hollín, o en otras palabras en medios no participantes), cuya transferencia de calor se expresa según la ecuación (16) para dos áreas diferenciales de un cuerpo difuso.

Donde β1 y β2 representan los ángulos que forma la línea que une las dos superficies (a una distancia S) respecto al vector normal para cada área respectivamente. Usualmente se define una propiedad del sistema de intercambio, denominado factor de forma [23]. Éste representa la fracción de energía que sale de una superficie e intercepta a la otra. Por ejemplo, la fracción de energía que llega a la superficie dos emitida desde uno, se expresa según la ecuación (17). Para hallar el factor de forma desde la otra superficie (total, no diferencial), se utiliza la relación de reciprocidad (ecuación (18)).

La ecuación (17) es una formulación general del factor de forma, en la cual se puede observar la dependencia de las geometrías de las superficies y las disposiciones espaciales de éstas, sin embargo, existen diferentes simplificaciones para algunas de éstas posibilidades [23],[24] y más específicamente para los diferentes cuerpos [18],[19],[27]. Es importante recordar que precisamente por la definición del factor de forma, la suma de los factores de forma de cada una de las superficies dentro de un recinto cerrado debe ser uno.

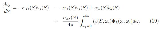
Cuando la radiación viaja a través de un medio en un camino definido S, la intensidad que llega a un pequeño diferencial de volumen dV puede verse afectada por la emisión, absorción y dispersión al atravesar longitudinalmente éste (dS), atenuándola (absorción y dispersión) y/o enriqueciéndola (emisión y dispersión proveniente de otras direcciones). Esta interacción se hace más preponderante cuando el medio contiene humedad, CO2 y/o partículas o gotas de líquido (medios participantes) [24], siendo éstas últimas determinantes para tener en cuenta la dispersión. Los efectos mencionados son expresados en la ecuación de transferencia de energía, ecuación (19) (Radiative Transfer Equation, RTE por sus siglas en inglés) [27],[28], la cual representa el problema matemático a resolver, de complicada solución, pues es una ecuación integro-diferencial.

El primer término de la ecuación anterior representa la pérdida por dispersión, el segundo la pérdida por absorción, el tercero la ganancia por emisión espontánea y el último la ganancia por dispersión en la dirección analizada. En esta misma ecuación, es fácil observar que el término aλ que representa el coeficiente de absorción y el término σsλ que representa la dispersión del medio, pueden sumarse y reacomodarse en un solo término Kλ(S) denominado coeficiente espectral de extinción. El término Φλ(ω, ωi) de la ecuación RTE es una función de fase que describe la dispersión de la intensidad de energía que proviene de una dirección dada. Estos últimos parámetros de la ecuación (19) toman gran importancia al analizar diferentes medios o fuentes que participen y promuevan las interacciones espectrales y dispersas de la radiación, como por ejemplo en la presencia de partículas de carbón y polvos [29] y en la emisión de materiales cerámicos reticulados [30] y porosos[31].

La integración espectral a lo largo del trayecto analizado del coeficiente de extinción es lo que se conoce como el espesor óptico u opacidad, el cual representa la habilidad de un trayecto para atenuar la radiación en una longitud de onda dada; es decir, un alto espesor óptico significa una alta atenuación de la intensidad de radiación en el medio [27].

2.5 Radiación luminosa y no luminosa desde las llamas.

En ciertas condiciones, los gases emiten mucha más radiación en la región visible del espectro, y por tanto, se hacen notorias las tonalidades amarillas en una llama. Este fenómeno en general, se le atribuye a la presencia de partículas de hidrocarburos (hollín) por combustión incompleta que mejora la emisión de radiación de los gases calientes de la llama. Según experiencias experimentales [32], esta banda de emisión se da debido a las vibraciones y rotaciones de las especies químicas que aparecen durante los procesos de combustión justo antes de la formación de las partículas de hollín.

Para estimar la radiación no luminosa provenientes de los gases calientes de una llama (sin presencia de hollín), generalmente se consideran sólo el CO2 y el H2O pues son quienes emiten mayoritariamente en el infrarrojo. Sus propiedades radiantes dependen básicamente de las temperaturas, sus presiones parciales (concentración) y geometría (longitud característica). Se simplifica el cálculo del calor radiado suponiendo un buen mezclado y un volumen isotérmicos. Esta temperatura podría ser la de llama adiabática, aunque esta podría estar sobrestimada pues el cálculo es precisamente de esa manera (adiabático), o puede ser tomada de datos experimentales. La emisividad total de los gases puede ser las suma de las emisividad de estos dos compuestos, menos un factor de corrección que está relacionado al traslapado de sus bandas, este procedimiento se encuentra descrito junto a sus respectivos valores tabulados en [23],[32]. Con esta emisividad y la temperatura antes dicha, se calcula el calor radiado a partir de la ecuación (6) pre multiplicada por la propiedad antes mencionada. Por otro lado, las partículas de hollín pueden emitir tanto en la región visible como en el infrarrojo, y esta emisión puede ser el doble o el triple del calor radiado respecto a los productos de combustión no luminosos [32]. Normalmente la presencia de hollín se generan en sistemas de combustión que operan con factores de aireación menores al estequiométrico (combustión rica), sin embargo la presencia de partículas de cenizas o algunos polvos también pueden ocasionar este mismo fenómeno. La distribución de hollín en la llama es uno de los obstáculos más relevantes para calcular la emisión de la llama, la cual depende del tipo de combustible, de la mezcla combustible-oxidante, y de la temperatura de la llama [32]. La otra dificultad radica en conocer las propiedades radiantes de estas partículas, las cuales se encuentran básicamente a partir de la experimentación.

En la mayoría de sistemas de combustión el pico de emisión de radiación supera 1µm, en este sentido, para partículas pequeñas de diámetro D, el parámetro πD/λ es generalmente mucho menor de 0,3. Debido a esto, con base en la teoría de Mie [32], se puede afirmar que en estos tamaños la dispersión se hace muy pequeña comparada con la absorción, y es por esto que la emitancia (λ) de un volumen de gas isotérmico luminoso compuesto de hollín uniformemente distribuido en un gas no radiante puede ser expresada según la ecuación (20), donde Le representa la longitud característica del volumen. El coeficiente espectral de absorción (αλ) se puede encontrar a partir de los datos experimentales o de la predicción por teoría electromagnética [32].

Cuando se tiene emisión de gas y emisión por presencia de hollín, como lo es generalmente, la atenuación depende de la suma de los coeficientes de absorción espectral de los elementos antes dichos (hollín, CO2 y el H2O), aunque se puede extender a otros si es el caso. De esta manera, y simplificando la dependencia de la longitud de onda suponiendo constituyentes grises se obtiene la ecuación (21) para la emitancia total de la llama.

 

3 Soluciones numéricas al fenómeno

Para dar solución al problema planteado en la ecuación (19) (más aún cuando la transferencia de energía no sólo es por radiación y en más de una dimensión), se han propuesto una serie de métodos que facilitan obtener soluciones prácticas en la simulación de procesos[33].

El método zonal, desarrollado ampliamente en [27], es utilizado extensivamente cuando existen gases radiantes. Éste subdivide el sistema en áreas y volúmenes (llamados ''zonas'') isotérmicos y define factores de intercambio directo para gas-gas, gas-superficie y superficie-superficie. Con estos factores es posible hallar el factor de intercambio neto para un par de zonas, y poder realizar el balance de energía para cada una de éstas. Sin embargo, este método presenta grandes dificultades para acoplarlo con las ecuaciones de flujo y energía resueltas usando técnicas como las diferencias finitas o elementos finitos, y en los códigos CFD [34]. Adicionalmente, para geométricas complejas los factores de intercambio directo no se encuentran disponibles [18],[19],[35].

Otro método utilizado es el Monte Carlo, el cual a diferencia del anterior, es un método estadístico, basado principalmente en el camino probable que puede seguir un ''haz'' discreto de energía, hasta la absorción final en el sistema. En cada fotón que se emite, su dirección se escoge aleatoriamente [27]. Este método puede ser utilizado en geometrías complejas, aunque se delimita a los errores estadísticos intrínsecos y presenta el mismo problema de acoplamiento con las ecuaciones de flujo de fluido que el método anterior. Se han presentado muy buenos resultados en sistemas encerrados en varias dimensiones y en hornos [35],[36], aunque no se puede emplear en los códigos CFD [34].

Otras metodologías ampliamente usadas para modelar la solución a la RTE son conocidas como los métodos del Flux, los cuales arrojan muy buenos resultados y son de relativa facilidad para acoplarse a los códigos CFD [34].

Estos modelos son basados principalmente en el uso de algunas simplificaciones para la variación angular de la intensidad de radiación en cualquier punto. Entre éstos se destacan: los modelos de four-flux y el de six-flux, los cuales asumen básicamente un plano paralelo a la radiación para cada dirección. Los modelos de tipo Schuster-Schwarzschild, subdividen el ángulo sólido en ángulos más pequeños, en los cuales se asume la intensidad uniforme. Otros modelos son basados en la definición de esferas armónicas, que expanden la intensidad local de ésta forma, truncándolas en N términos. Estos se conocen como modelos P - N, siendo N el orden de la aproximación [35]. Dentro de los más empleados con muy buenos resultados son los P1 y P3 [37].

En repetidas ocasiones también se encuentran el método de las ordenadas discretas (DOM-Discrete Ordinates Method-), el cual se basa en una aproximación de este tipo (discreta) de la dependencia direccional de la radiación dentro de las subdivisiones angulares, y el método de los volúmenes finitos, en el cual al igual que el anterior, la magnitud de la intensidad de radicación es constante en cada dirección discreta, sin embargo la ecuación de transferencia se integra para cada volumen de control y sobre cada ángulo en el que es discretizado. Otro método, conocido como híbrido, es el de transferencias discretas (DTRM -Discrete Transfer Method-) [38], basado principalmente en los tres grandes descritos anteriormente (zonal, Monte Carlo y Flux). Éste resulta de gran utilidad [15],[39], especialmente en las cámaras de combustión, por su relativa facilidad para acoplarse a los modelos CFD. Una importante fuente de información para estos métodos, su ampliación y referencias se encuentran en [27],[35],[40],[41],[42], al igual que sus ventajas y desventajas [43]. Sin embargo, es importante resaltar que en general, el DTRM y el DOM presentan mejor comportamiento para espesores ópticos delgados, mientras el P-1 lo es para espesores ópticos gruesos, teniendo presente que en este último pueden existir problemas para fuentes localizadas [39],[44], y que el DTRM puede aumentar el costo computacional comparado con los otros dos.

3.1 Modelos de propiedades radiantes

Para solucionar la RTE se requiere conocer las propiedades radiativas y su acople con los métodos numéricos necesarios. Cuando se tiene radiación y convección se complica más aún la solución, pues existen más componentes en todas las ecuaciones respectivas. De igual manera, como se mencionó anteriormente, los cuerpos en general tienen un comportamiento espectral a la radiación, es por esto que es necesario modelar las propiedades de acuerdo a este principio. Para esto existen diferentes modelos entre los cuales se encuentran [28],[35],[45]: Line-by-line: este realiza un cálculo numérico espectral para todas las líneas o de todas las especies radiantes teniendo en cuenta la transición energética de los niveles cuánticos de las moléculas de gas [45]. Requiere una alta discretización de la región infrarroja (cerca de 106 discretizaciones), y a alta temperatura es necesario un conocimiento preciso de un alto número de líneas (base de datos)[28], por lo cual resulta impráctico.

Los modelos de bandas:el espectro es dividido en bandas, y las características radiativas promediadas y calculadas con base en el espectro de absorción y/o con las propiedades estadísticas de la líneas respectivas. Este incluye: el modelo estadístico de bandas estrechas (SNB-Statistical Narrow Band-), el correlacionado-k (CK -correlated k-), el correlacionado-k de gases ficticios (CKFG -correlated kfictitious gases-) y el modelo exponencial de banda ancha (EWB -Exponential Wide Band-). Los modelos totales: intentan predecir la intensidad de radiación total, integrada espectralmente. Entre estos están los que incluyen los datos de emitancia total como el de suma ponderada de gases grises (WSGG -WeightedSum of the Gray Gases-[35]) y el no-homogéneos de transmitancia total (TTHH -Total Transmittance non-Homogeneous-). Los gases grises han demostrado muy buen comportamiento, pero se limitan a la influencia en particular de los compuestos más participantes como el CO2 y el H2O, por esto existen problemas para espesores ópticos demasiado pequeños o demasiado grandes, pues presenta problemas de indeterminación del comportamiento espectral del agua [28].

El principal problema de los modelos de bandas es el acople con la RTE, y por ende con los códigos CFD, mientras el WSGG se acopla fácilmente con las modelos numéricos como el DOM y el P-1. Para esto, el modelo del grupo espectral (SG) se presenta como una alternativa para involucrar el EWB, pues este computa los coeficientes de gases grises que aparecen en WSGG, reteniendo la misma forma de la RTE sobre los intervalos espectrales fijados; pero el tiempo de cálculo se incrementa enormemente [28].

 

4 Sistemas radiantes

Hasta ahora, se ha mencionado únicamente la fenomenología de la radiación dejando a un lado el problema de la tecnología necesaria para su utilización. Habitualmente entre los elementos apropiados para hacer uso del transporte de calor por medio de la radiación térmica en sistemas reactivos, se encuentran [47] entre otros para cargas a bajas temperaturas los quemadores de poros cerámicos (reticulados o de fibras),los de fibras metálicas, los tipo impingement, y los quemadores catalíticos sin y con inclusiones (por ejemplo de fibras cerámicas con diámetros por debajo de las micras). Mientras, generalmente para procesos a mediana y más alta temperatura (mayores a 400ºC aproximadamente) se utilizan los paneles o los tubos radiantes, siendo estos últimos los de mayor interés, ya que permiten que la carga no esté en contacto con los productos de combustión, y poseen además muy buena versatilidad para ser acoplado a los sistemas de recuperación de calor [5],[7]. Es importante tener presente que en estos sistemas y gracias a la versatilidad de manejar las temperaturas superficiales (por ejemplo calibrando la potencia y el factor de aireación, además de algunos recubrimientos disponibles), se pueden acondicionar las características espectrales de emisión, con ayuda de la ley de Wien (ecuación (5)). Por ejemplo en el secado de papel, a longitudes de onda muy bajas (por debajo de 2, 5µm), este presenta muy alta transmitancia, representando entonces caída en la eficiencia del proceso. Este problema es típico en los hornos eléctricos debido a las muy altas temperaturas que estos manejan [47].

4.1 Tubos radiantes

Estos sistemas constan de un tubo por el cual circulan los gases calientes provenientes de la combustión. El calor en éste es conducido desde la superficie interna del tubo, hacia la superficie externa de éste, desde la cual la energía térmica es radiada a la carga y a sus alrededores. Generalmente estos equipos son utilizados con diferentes tipos de combustibles como gas natural, metano, propano, y algunos aceites combustibles de uso comercial, sin embargo, como se mencionó anteriormente, y debido a que los productos de combustión dependen del tipo de combustible utilizado, la temperatura y propiedades radiantes de las llamas depende igualmente de este. Por ejemplo, los combustibles fósiles más pesados, tienden a ser una fuente importante para la generación de hollín, lo cual puede ayudar a mejorar las propiedades radiantes de la llama, pero a disminuir la temperatura de esta. Entre los materiales utilizados para su construcción, se encuentran las aleaciones de alta resistencia como Ni-Cr y Fe-Cr-Al [7], sin embargo, debido a su alta emisividad, conductividad y buena estabilidad ante los choques térmicos[48], se sugiere el uso del Carburo de Silicio [11],[49]. Se pueden diferenciar dos grandes disposiciones geométricas y funcionales de los tubos radiantes [46]: de un sólo paso y de terminal simple.

4.1.1 De un sólo paso Esta disposición comprende principalmente los tubos radiantes rectos, en forma de ''U'' y de ''W''. Consta de una entrada de los gases en un lado y una salida para éstos en otro. Éstos pueden poseer sistemas autorecuperativos o autoregenerativos en las entradas y/o las salidas [50] de los gases. Sus principales ventajas son el costo, la facilidad del montaje y las grandes áreas de transferencia que se pueden obtener comparadas a las otras 4.1.1 De un sólo paso Esta disposición comprende principalmente los tubos radiantes rectos, en forma de ''U'' y de ''W''. Consta de una entrada de los gases en un lado y una salida para éstos en otro. Éstos pueden poseer sistemas autorecuperativos o autoregenerativos en las entradas y/o las salidas [50] de los gases. Sus principales ventajas son el costo, la facilidad del montaje y las grandes áreas de transferencia que se pueden obtener comparadas a las otras

4.1.2 De terminal simple Estos sistemas, al contrario que los anteriores, poseen la entrada y la salida de los gases en un mismo lado, es decir poseen un ''tubo interno'', en el cual los gases van, y un ''tubo externo'', en el cual los gases vienen. Una mejora a este principio, incorpora un sistema autorecuperativo cercano a la cabeza del quemador, comúnmente denominado de sus siglas en inglés SERT (o SER, Single Ended Radiant Tube) [52]. Sus principales ventajas son: sus altas eficiencias para un amplio rango de temperaturas, uniformidad en el perfil de temperaturas en el tubo, bajas emisiones de NOx [53] y la necesidad de un solo agujero para su instalación. Por otro lado, su principal desventaja puede ser las flexiones que deben soportar las paredes del horno y el tubo, si se deja éste en voladizo [5]. Adicionalmente a éstos dos grandes grupos de disposiciones mencionadas, se han incorporado dos nuevos conceptos en busca de incrementar la eficiencia del sistema [46]: Los sistemas recirculantes y los no-recirculantes, los cuales al combinarse con ambas disposiciones (de un solo paso y de terminal simple), dan origen a un gran número de posibilidades que permiten incrementar la eficiencia y calidad del proceso. La principal diferencia que identifica los funcionamientos, son los quemadores de alta velocidad, necesarios en los sistemas recirculantes, para la reducción de NOx y la uniformidad del calentamiento [15],[54],[55].

 

5 Metodologías experimentales

Existen diferentes puntos de vista desde los cuales se puede estimar la transferencia de energía por medio de la radiación térmica; sin embargo, tradicionalmente, la medida del calor radiado desde una superficie emisora (o volumen de gases calientes), ha sido un metodología compleja, que requiere además un tiempo considerable para ser desarrollada. Dentro de los elementos más utilizados para llevar a cabo las mediciones pertinentes de la radiación térmica emitida, se encuentran [5]:

1. Un detector que convierte la radiación en señal eléctrica (radiómetro) [56],[57].

2. Un sistema óptico que dirige la radiación al detector.

3. Un filtro que asegure que el medidor reciba cierto intervalo de longitudes de onda.

4. Un amplificador y un display de la señal de salida del detector.

Para llevar a cabo la caracterización de los sistemas antes mencionados, el IFRF -International Flame Research Foundation-[58] propone parámetros e instrumentos para caracterizar el calor transferido por radiación en superficies y gases, los cuales son los siguientes: para medir el flux de calor y la emisividad total y local unidireccional, se propone el uso de un radiómetro de ángulo estrecho; para el flux de calor hemisférico, un radiómetro elipsoidal; y por último para el flux de calor total se propone un pequeño medidor de flux, compuesto por una superficie plana receptora, expuesta a la radiación y a la convección (si es el caso). De igual manera, en esta cita [5] se propone además de las mediciones y elementos anteriores, la determinación de la radiación espectral, utilizando un radiómetro espectral que permita seleccionar, de manera precisa, la medida en cierto pequeño intervalo de longitud de onda. En este sentido, los métodos citados en la literatura con mayor frecuencia, para determinar los diferentes parámetros mencionados son el método del flux de energía y el método de la radiosidad:

5.1 Método del flux de energía

El método más específico y estandarizado para caracterizar los sistemas radiantes infrarrojos accionados por gas es el método del flux de energía, el cual se presenta en la norma ANSI Z83.6. Este método utiliza una esfera que rodea el calentador como una superficie de control, sobre la cual se realizan aproximadamente 156 mediciones en unas posiciones predefinidas, para luego calcular todo el flux de energía que se emite a través de dicha superficie [14]. Esta norma, es un claro ejemplo de un método típico del flux de energía. Éste método necesita que el radiómetro siempre observe toda la fuente emisora, y que ésta este contenida siempre dentro de la superficie de control, lo cual es impráctico en muchas ocasiones en las que se tienen grandes dimensiones. Debido a éste problema, y basados en el mismo principio, se han propuesto diferentes metodologías como las del GTI (Gas Tecnology Institute) y las del Gaz de France, las cuales proponen una modificación a la superficie de control, especialmente en la medición de tubos radiantes, proponiendo un cilindro con bodes hemisféricos [14]. Otros de los métodos citados en la misma referencia pero con menos efectividad, es el conocido como método Alemán, el cual tiene como elemento principal, al contrario del radiómetro en los anteriores métodos, un calorímetro compuesto por un arreglo de tubos con una emisividad cercana a 1, por los cuales fluye agua a una rata determinada.

5.2 Método de la radiosidad

Por otro lado, el método Holandés (VEG Gasinstituut), a diferencia de los anteriores, trata de caracterizar pequeñas regiones del emisor con la ayuda de un radiómetro de ángulo estrecho, para obtener una distribución discreta de las emisiones. El flux total de energía que sale del emisor, se puede determinar sumando todos los flux discretos medidos. Este método, se conoce como el método de la radiosidad[14]. La principal ventaja de esta metodología es la accesibilidad y la fácil caracterización de cualquier zona sobre el emisor, mientras su desventaja puede ser el costo del radiómetro, ya que éste es un poco más sofisticado [14]. En busca de reducir el número de mediciones necesaria, en esta misma referencia el GRI (Gas Research Institue) propuso un modelo simplificado de radiosidad en el cual se inicia con un barrido axial y luego en el punto de mayor emisión, y asumiendo independencia de emisión en el ángulo paralelo al eje, se mide cada determinado ángulo y se encuentra el flux radiado con factores de proporcionalidad. En general, se puede decir que los métodos del flux tienen una importancia práctica, mientras que los de radiosidad son utilizados en los laboratorio de investigación para comparar los resultados experimentales con las simulaciones y los modelos numéricos utilizados [59].

 

6 Metodologías de diseño y caracterización

Se pueden encontrar generalmente tres propuestas para diseñar y/o caracterizar numéricamente los sistemas radiantes mencionados, entendiendo por sistema al conjunto emisor, receptor y ambiente: la solución implícita, las soluciones numéricas y los métodos de optimización e inversos.

6.1 Solución implícita

Este tipo de metodologías, ampliada en [11], sugiere, como parámetros para el diseño y caracterización del sistema, lo siguiente: la potencia térmica relacionada con la naturaleza del combustible, el factor de aireación que caracteriza la zona de combustión, las propiedades térmicas, radiativas y geométricas del emisor y de la carga, las eficiencias de radiación, los factores de forma y las temperaturas propias al problema con sus respectivas limitaciones. El desarrollo de esta metodología, parte fundamentalmente de un balance de energías realizado para un volumen de control próximo a las zonas fronterizas del tubo radiante, suponiendo un cuerpo negro y factores de forma iguales a uno.

Los pasos propuestos para diseñar el sistema son:

• Determinación de las temperaturas (emisor y receptor) y energías necesarias para el calentamiento, teniendo presente la variación que sufren las propiedades radiativas de la carga y/o el emisor, respecto a la temperatura, y por ende como se observó a las longitudes de onda.

• Asumir los valores de las eficiencias y del factor de aireación (recomienda no mayor al 10 %) con los que se quiera trabajar.

• Con los parámetros anteriores establecidos, y con ayuda de unas gráficas ideales propuestas en [11], se halla la potencia específica, la cual relaciona la potencia térmica sobre el área total del emisor.

• Luego de esto, con ayuda de la potencia específica, se procede a encontrar el área superficial radiante.

• Finalmente se selecciona el sistema de combustión que se desea plantear, sea de premezcla o de difusión.

Su principal ventaja puede ser la facilidad para determinar de manera ágil los parámetros necesarios para cumplir con las condiciones de diseño; sin embargo, su principal desventaja, es la imposibilidad de obtener el punto óptimo de diseño, además de estar desarrollado sólo para tubos radiantes rectos de un sólo paso y generalmente sin recirculación.

6.2 Modelo matemático

Este modelo, discutido en [6],[60], propone un método para caracterizar sistemas radiantes, a partir de las soluciones numéricas de los diferentes fenómenos que convergen en estos sistemas (radiación, combustión, convección). Éste se basa en los principios básicos de conservación (masa, momentum y energía), mezclados con la cinética química y la transferencia de energía por medio de radiación. Se plantea [6] que los criterios básicos de diseño deben ser: la uniformidad de la temperatura en las paredes, la eficiencia térmica y la vida de servicio del tubo.

6.3 Método de optimización e inverso

Además de los métodos iterativos mencionado, en [12] se abordan dos metodologías que prometen perfeccionar un poco la búsqueda de soluciones al diseño. Estas metodologías son las de optimización y la inversa.

La metodología de optimización soluciona el problema inverso de manera implícita, especificando una sola condición de frontera térmica (temperatura o flux) sobre la superficie de diseño. Con las condiciones restantes, se propone la función objetivo (la cual se buscará minimizar comparándola con el diseño ideal), compuesta principalmente por los parámetros de diseño que controlan las configuraciones del emisor.

En la metodología inversa [61], ambas condiciones de frontera se aplican de forma explícita sobre la superficie de diseño, mientras las configuraciones del emisor son las variables desconocidas. Cuando el problema es planteado de esta forma, se convierte en un problema ''mal planteado'' (un problema ''bien planteado'', debe tener una solución que sea única y al mismo tiempo estable, bajo pequeños cambios en las condiciones de entrada [12]), por el cual no existe una solución analítica por medio de los métodos tradicionales, y por ende es necesaria la regularización [12],[13],[62]. En esta misma referencia [12], se destaca que aunque el método de optimización requiere más iteraciones que el inverso, es muchos más práctico y arroja buenos resultados, pues de igual manera, permite cumplir con las restricciones de diseño establecidas.

 

7 Conclusiones

La transferencia de energía por medio de la radiación puede ofrecer diferentes ventajas frente a otros mecanismos de transferencia de calor, como por ejemplo el calentamiento indirecto y la pureza del medio. Aunque existen diferentes soluciones numéricas al problema, sin duda alguna, los modelos más utilizados y discutidos en la literatura son los métodos del flux y de transferencias discretas debido a su relativa facilidad para acoplarse a las formas de los modelos en CFD.

Dentro de los diferentes sistemas radiantes hallados en la revisión bibliográfica, se ha encontrado que los tubos radiantes son una gran alternativa, debido al calentamiento indirecto que éstos presentan, así como también, a la modularidad para adaptarse a otros sistemas, como los de recuperación. Dentro de los elementos más usuales para encontrar una representación cuantitativa de la transferencia de energía por medio de la radiación, se encuentra como primera opción los radiómetros, aplicables tanto para los métodos del flux como de la radiosidad.

La metodología de diseño de optimización sobresale principalmente por resolverse con relativa facilidad, y conservar las restricciones de diseño sin graves suposiciones ideales necesarias y sin necesidad de iteraciones experimentales.

Se encuentra un interés importante y un foco de futuras investigaciones en estudios sobre: la definición y mejora en los modelos de radiación que involucren las características espectrales, en las metodologías de diseño que involucren los modelos numéricos de los sistemas, y en las metodologías experimentales que faciliten las mediciones de los sistemas radiantes. De manera similar, se observa un importante esfuerzo en el uso de herramientas computaciones como el CFD para encontrar las condiciones funcionales de un sistema sin necesidad de llevar a cabo costosas experimentaciones ni la construcción de modelos físicos.

 

Agradecimientos

Los autores desean agradecer por los aportes pertinentes brindados por COLCIENCIAS para financiar el macro proyecto ''Desarrollo, evaluación y demostración de un sistema de combustión y calentamiento por radiación infrarroja y recuperación de calor para procesos de baja temperatura'' código de 111548925335, contrato 349-2009 de donde sale este estudio, como también a los diferentes entes de la Universidad de Antioquia que facilitan los medios y el espacio para desarrollarlo, en especial al programa de sostenibilidad 2010-2011, de la Vicerrectoría de Investigación de la Universidad de Antioquia.

 

Referencias

1. F. Chejne, K. Sánchez, A. Amell, Análisis energético industrial del Valle de Aburrá. Medellín: Centro de Publicaciones, Universidad Nacional de Colombia, sede Medellín, 2007. Referenciado en 99

2. S. Turns, An Introduction to Combustion: Concepts and Applications, 2.a ed. Singapore: McGraw-Hill, 2000. Referenciado en 100

3. I. Glassman, Combustion, 2.a ed. Orlando: Academic Press, 1987. Referenciado en 100

4. R. Mital, J. P. Gore, y R. Viskanta, ''A Radiation Efficiency Measurement Procedure For Gas-Fired Radiant Burners'', Experimental Heat Transfer, vol. 11, n.o 1, pp. 3-21, ene. 1998. Referenciado en 100

5. C. Baukal. Heat Transfer in Industrial Combustion. Florida: CRC Press, 2000. Referenciado en 100, 114, 116, 117

6. K. Chapman, et al. ''Radiative Heat Transfer''. School of Mechanical Engineering, Purdue University: Indiana, 1990. Referenciado en 100, 120

7. Y. Deshmukh, Industrial Heating: Principles, Techniques, Materials, Applications, and Design. Taylor & Francis, 2005. Referenciado en 100, 114, 115

8. A. Ray, Y. N. Tiwari, G. Krishna, G. Das, M. Gunjan, S. C. Bose, R. N. Ghosh, ''Health assessment of 22 years service-exposed radiant tube from an oil refinery'', Engineering Failure Analysis, vol. 18, n.o 3, pp. 1067-1075, abr. 2011. Referenciado en 100

9. E. Dudkiewicz, J. Jezowiecki, ''The influence of orientation of a gas-fired direct radiant heater on radiant temperature distribution at a work station'', Energy and Buildings, vol. 43, n.o 6, pp. 1222-1230, jun. 2011. Referenciado en 100

10. A. S. Mujumdar, Ed., Handbook of Industrial Drying, Third Edition, 3.a ed. CRC Press, 2006. Referenciado en 100

11. A. Amell, H. Copete, y J. Gómez, ''Análisis de los parámetros para el diseño y optimización de un tubo radiante'', Revista Facultad de Ingeniería Universidad de Antioquia, n.o 38, pp. 31-39, 2006. Referenciado en 100, 115, 119

12. K. J. Daun, J. R. Howell, ''Inverse design methods for radiative transfer systems'', Journal of Quantitative Spectroscopy and Radiative Transfer, vol. 93, n.o 1-3, pp. 43-60, jun. 2005. Referenciado en 100, 101, 120

13. S. M. N. Bayat, ''Inverse boundary design of a radiant furnace with diffusespectral design surface'', International Communications in Heat and Mass Transfer, vol. 37, n.o 1, pp. 103-110, 2010. Referenciado en 100, 101, 120

14. R. Sheridan, Determination of radiant output from infrared tube heaters, May 1994. Final report. 1994. Referenciado en 101, 117, 118

15. N. Tsioumanis, J. Brammer, J. Hubert, ''Flow processes in a radiant tube burner: Combusting flow'', Energy Conversion and Management, vol. 52, n.o 7, pp. 2667- 2675, jul. 2011. Referenciado en 101, 113, 116

16. Y. Tian, X. L. Liu, Z. Wen, ''Numerical Study on the Effect of Inner Tube Position on Heat Transfer Process in Self-Recuperative Radiant Tube'', Advanced Materials Research, vol. 228-229, pp. 676-680, abr. 2011. Referenciado en 101

17. M. Tye-Gingras, L. Gosselin, ''Investigation on heat transfer modeling assumptions for radiant panels with serpentine layout'', Energy and Buildings, vol. 43, n.o 7, pp. 1598-1608, jul. 2011. Referenciado en 101

18. S. Bopche, A. Sridharan, ''Local configuration factors for radiant interchange between cylindrical surfaces in rod bundle geometry'', Nuclear Engineering and Design, vol. 241, n.o 3, pp. 903-924, mar. 2011. Referenciado en 101, 109, 112

19. C. Bao, N. Cai, E. Croiset, ''An analytical model of view factors for radiation heat transfer in planar and tubular solid oxide fuel cells'', Journal of Power Sources, vol. 196, n.o 6, pp. 3223-3232, mar. 2011. Referenciado en 101, 109, 112

20. K. Heyde, Basic Ideas and Concepts in Nuclear Physics: An Introductory Approach, Third Edition. Taylor & Francis, 2004. Referenciado en 101

21. J. Rickards Campbell, Las radiaciones: reto y realidades, 2a. ed. México: SEP; CONACYT; Fondo de Cultura Económica, 1997. Referenciado en 101

22. D. Bohm, Quantum Theory. Courier Dover Publications, 1989. Referenciado en 101

23. F. Incropera, D. DeWitt, Fundamentos de Transferencia de Calor. México: Pretince Hall, 1999. Referenciado en 102, 103, 104, 105, 106, 108, 109, 110

24. Michael F. Modest, Radiative Heat Transfer. Academic Press, 2003. Referenciado en 102, 105, 106, 107, 109

25. M. Brewster, Thermal Radiative Transfer and Properties. John Wiley & Sons, 1992. Referenciado en 102

26. B. Li, Y. Lu, L. Liu, K. Kudo, H. Tan, ''Analysis of directional radiative behavior and heating efficiency for a gas-fired radiant burner'', Journal of Quantitative Spectroscopy and Radiative Transfer, vol. 92, n.o 1, pp. 51-59, abr. 2005. Referenciado en 102

27. R. Siegel, J. Howell, ''Thermal radiation heat transfer''. Scientific and Technical, 4ta. Ed., New York, CRC Press, 2002. Referenciado en 102, 103, 104, 105, 106, 107, 108, 109, 110, 112, 113

28. R. Viskanta, ''Overview of convection and radiation in high temperature gas flows'', International Journal of Engineering Science, vol. 36, n.o 12-14, pp. 1677- 1699, sep. 1998. Referenciado en 109, 113, 114

29. Z. Guo, S. Maruyama, ''Radiative heat transfer in inhomogeneous, nongray, and anisotropically scattering media'', International Journal of Heat and Mass Transfer, vol. 43, n.o 13, pp. 2325-2336, jul. 2000. Referenciado en 110

30. T. Hendricks, J. Howell, ''Absorption/Scattering Coefficients and Scattering Phase Functions in Reticulated Porous Ceramics'', Journal of Heat Transfer, vol. 118, n.o 1, pp. 79-87, feb. 1996. Referenciado en 110

31. X. Fu, R. Viskanta, J. P. Gore, ''A model for the volumetric radiation characteristics of cellular ceramics'', International Communications in Heat and Mass Transfer, vol. 24, n.o 8, pp. 1069-1082, dic. 1997. Referenciado en 110

32. R. Siegel, J. Howell. Thermal Radiation Heat Transfer, Fourth Edition, 3.a ed. Taylor & Francis, 1992. Referenciado en 110, 111

33. M. Williamson, D. Wilson, ''Development of an improved heating system for industrial tunnel baking ovens'', Journal of Food Engineering, vol. 91, n.o 1, pp. 64-71, mar. 2009. Referenciado en 111

34. E. Keramida, H. Liakos, M. Founti, A. Boudouvis, N. Markatos, ''Radiative heat transfer in natural gas-fired furnaces'', International Journal of Heat and Mass Transfer, vol. 43, n.o 10, pp. 1801-1809, may 2000. Referenciado en 112

35. M. Carvalho, T. Farias, ''Modelling of Heat Transfer in Radiating and Combusting Systems'', Chemical Engineering Research and Design, vol. 76, n.o 2, pp. 175-184, feb. 1998. Referenciado en 112, 113, 114

36. Y. Wu, D. Haworth, M. Modest, B. Cuenot, ''Direct numerical simulation of turbulence/radiation interaction in premixed combustion systems'', Proceedings of the Combustion Institute, vol. 30, n.o 1, pp. 639-646, ene. 2005. Referenciado en 112

37. T. Tong, W. Li, ''Enhancement of thermal emission from porous radiant burners'', Journal of Quantitative Spectroscopy and Radiative Transfer, vol. 53, n.o 2, pp. 235-248, feb. 1995. Referenciado en 112

38. P. Cumber, ''Improvements to the discrete transfer method of calculating radiative heat transfer'', International Journal of Heat and Mass Transfer, vol. 38, n.o 12, pp. 2251-2258, ago. 1995. Referenciado en 113

39. M. Bidi, R. Hosseini, M. R. H. Nobari, ''Numerical analysis of methane-air combustion considering radiation effect'', Energy Conversion and Management, vol. 49, n.o 12, pp. 3634-3647, dic. 2008. Referenciado en 113

40. S. Sazhin, E. Sazhina, O. Faltsi-Saravelou, P. Wild, ''The P-1 model for thermal radiation transfer: advantages and limitations'', Fuel, vol. 75, n.o 3, pp. 289-294, feb. 1996. Referenciado en 113

41. V. Feldheim, P. Lybaert, ''Solution of radiative heat transfer problems with the discrete transfer method applied to triangular meshes'', Journal of Computational and Applied Mathematics, vol. 168, pp. 179-190, jul. 2004. Referenciado en 113

42. S. Kumar, A. Majumdar, C. Tien, ''The differential-discrete-ordinate method for solutions of the equation of radiative transfer'', in ASME 1988 National Heat Transfer Conference, 1990, pp. 424-429. Referenciado en 113

43. R. Tucker, Combustion Handbook in File N 65, How do I predict radiative heat transfer in industrial furnaces? International Flame Research Foundation (IFRF), 2001. Referenciado en 113

44. P. Coelho, J. GonÇalves, M. Carvalho, D. Trivic, ''Modelling of radiative heat transfer in enclosures with obstacles'', International Journal of Heat and Mass Transfer, vol. 41, n.o 4-5, pp. 745-756, feb. 1998. Referenciado en 113

45. R. Viskanta y M. P. Menguc, ''Radiation heat transfer in combustion systems'', Progress in Energy and Combustion Science, vol. 13, pp. 97-160, 1987. Referenciado en 113

46. C. Baukal, Industrial Burners, Handbook. Florida: CRC Press LLC, 2003. Referenciado en 115, 116

47. A. van der Drift, N. B. K. Rasmussen, K. Jørgensen, ''Improved Efficiency Drying Using Selective Emittance Radiant Burners''. Applied Thermal Engineering, vol. 17, n.o 8-10, p. 911-920. Referenciado en 114, 115

48. M. A. Irfan y W. Chapman, ''Thermal stresses in radiant tubes due to axial, circumferential and radial temperature distributions'', Applied Thermal Engineering, vol. 29, n.o 10, pp. 1913-1920, jul. 2009. Referenciado en 115

49. G. Dini, S. Monir Vaghefi, M. Lotfiani, M. Jafari, M. Safaei-Rad, M. Navabi, S. Abbasi, ''Computational and experimental failure analysis of continuousannealing furnace radiant tubes exposed to excessive temperature'', Engineering Failure Analysis, vol. 15, n.o 5, pp. 445-457, jul. 2008. Referenciado en 115

50. Eclipse Combustion, I. Eclipse Combustion, Inc. [cited 2009; Proveedor de sistemas de combustión]. Available from: http://www.eclipsenet.com/. Referenciado en 115

51. M. Irfan, W. Chapman, ''Thermal stresses in radiant tubes: A comparison between recuperative and regenerative systems'', Applied Thermal Engineering, vol. 30, n.o 2-3, pp. 196-200, feb. 2010. Referenciado en 116

52. David W. Collier, ''Recuperative radiant tube heating system especially adapted for use with butane'', 1993. Referenciado en 116

53. G. Scribano, G. Solero, A. Coghe, ''Pollutant emissions reduction and performance optimization of an industrial radiant tube burner'', Experimental Thermal and Fluid Science, vol. 30, n.o 7, pp. 605-612, jul. 2006. Referenciado en 116

54. C. Galletti, A. Parente, y L. Tognotti, ''Numerical and experimental investigation of a mild combustion burner'', Combustion and Flame, vol. 151, n.o 4, pp. 649-664, dic. 2007. Referenciado en 116

55. M. Tiwari, A. Mukhopadhyay, D. Sanyal, ''Parameter optimization through performance analysis of model based control of a batch heat treatment furnace with low NOx radiant tube burner'', Energy Conversion and Management, vol. 46, n.o 13-14, pp. 2114-2133, ago. 2005. Referenciado en 116

56. J. P. Ploteau, P. Glouannec, y H. Noel, ''Conception of thermoelectric flux meters for infrared radiation measurements in industrial furnaces'', Applied Thermal Engineering, vol. 27, n.o 2-3, pp. 674-681, feb. 2007. Referenciado en 117

57. N. Arai, A. Matsunami, S. W. Churchill, ''A review of measurements of heat flux density applicable to the field of combustion'', Experimental Thermal and Fluid Science, vol. 12, n.o 4, pp. 452-460, may 1996. Referenciado en 117

58. N. Fricker, Combustion handbook, in File N 64, How do I measure the parameters characterising radiation heat transfer in furnaces? International Flame Research Foundation (IFRF), 2001. Referenciado en 117

59. R. Mital, J. Gore, R. Viskanta, A. Mcintosh, ''An experimental evaluation of asymptotic analysis of radiant burners'', Symposium (International) on Combustion, vol. 27, n.o 2, pp. 3163-3171, 1998. Referenciado en 118

60. H. Ramamurthy, S. Ramadhyani, R. Viskanta, ''Development of fuel burn-up and wall heat transfer correlations for ows in radiant tubes''. Numerical Heat Transfer, Part A: Applications: An International Journal of Computation and Methodology, vol. 31 n.o 6, pp. 563 - 584, 1997. Referenciado en 120

61. A. Pourshaghaghy, et al. ''An inverse radiation boundary design problem for an enclosure lled with an emitting, absorbing, and scattering media''. International Communications in Heat and Mass Transfer, vol. 33 n.o 3, pp. 381-390, 2006. Referenciado en 120

62. S. A. Rukolaine, ''Regularization of inverse boundary design radiative heat transfer problems'', Journal of Quantitative Spectroscopy and Radiative Transfer, vol. 104, n.o 1, pp. 171-195, mar. 2007. Referenciado en 120