ARTÍCULO ORIGINAL

doi: http://dx.doi.org/10.17230/ingciencia.10.19.11

 

Estimación de la variabilidad mecánica de placas de roca por ensayos no-destructivos

 

Assesment of the Mechanical Variability of Rock Slabs by Means of Non-Destructive Tests

 

 

Ludger O. Suárez–Burgoa1

1 Doctor en Geotecnia, losuarezb@unal.edu.co, Universidad Nacional de Colombia, Medellín, Colombia.

 

Recepción: 12-03-2013, Aceptación: 10-09-2013

Disponible en línea: 30-01-2014

PACS:91.60.-x, 83.80.Nb

 


Resumen

En este artículo se describe una campaña sistemática de ensayos no-destructivos con el martillo esclerométrico Schmidt-L, que se hizo en una placa de sodalita de 0, 05m de espesor en un área cuadrada de 2, 0m de lado. Esta investigación reveló que la roca ornamental estudiada tiene —en lo que se refiere a su resistencia mecánica— una variabilidad inherente al tipo de material en sí y también una variabilidad relativa a su posición espacial; ésta última con claros signos de una dirección preferencial. Estas variabilidades se detectaron por la aquí propuesta campaña de ensayos y el uso de la geoestadística; conclusiones que son útiles para el control de calidad de placas de material rocoso destinadas para fines ornamentales.

Palabras clave: material rocoso; sodalita, martillo Schmidt-L; resistencia mecánica; variabilidad espacial.


Abstract

In this article it is described a systematic test campaign —with the Schmidt- L-type rebound hammer— that was performed at a Sodalite slab of 0.05m thick in a square area of 2.0m of side. This research revealed that the studied ornamental rock has an inherent variability by it-self, in respect to their mechanical strength; and also a spatial variability related to their position, this last with a clear sign of a preferential direction. These variabilities can be detected with the proposed test-campaign and the use of geostatistics; whose conclusions are useful for the the quality control of rock-material-slabs used for ornamental purposes.

Key words: rock material; Sodalite; Schmidt-L hammer; mechanical strength; spatial variability.


 

 

1 Introducción

Una de las actividades dentro del proceso de producción de rocas ornamentales en las canteras es sin duda el control de calidad. El control de calidad en este tipo de materiales está orientado a evaluar la densidad de discontinuidades del macizo rocoso; y la dureza, resistencia a flexión, la resistencia a compresión y la micro-homogeneidad del material rocoso (v.gr. la roca intacta), éste último que se refiere a cuán homogénea es la distribución del tamaño de minerales constituyentes del material rocoso en una determinada superficie o volumen.

Las propiedades antes citadas del macizo y material rocoso del yacimiento de la cantera pueden variar en el espacio (v.gr. según su localización), tanto a una escala macroscópica, como mesoscópica y microscópica.

Para la planificación de la producción anual, se analizan las facciones del macizo rocoso al nivel macroscópico, tales como: densidad de discontinuidades, variaciones en composición material, variaciones de meteorización y alteraciones; mientras que para la clasificación del lote de producción son las mismas facciones anteriormente descritas las que se evalúan pero a un nivel de escala mesoscópica y a través de ensayos indirectos no-destructivos que relacionen las anteriores facciones con la resistencia del material. Cada cierto volumen de producción se programa —además de los anteriores ensayos— hacer ensayos destructivos y directos para evaluar la resistencia mecánica.

En lo que concierte a los ensayos indirectos no-destructivos, se usan con más frecuencia al menos dos: los ensayos de impacto y los ensayos de transmisión de ondas. Los ensayos de impacto miden la respuesta que ofrece la superficie del material rocoso a la acción del impacto de una masa metálica caída desde una altura determinada, que tras medir la altura de rebote de la masa se obtiene una idea de la integridad y la compacidad de la roca (v.gr. competencia del material rocoso). En este caso, el rebote de la masa es una medida de la respuesta de la roca. Los ensayos de transmisión de ondas resultan tener un similar principio, debido a que se mide otro tipo de respuesta de la roca. En este caso, las respuestas que se miden pueden ser de refracción, difracción o propagación de ondas; ondas que pueden estar en diversos rangos del espectro: desde ondas sonoras, de ultrasonido o electromagnéticas.

En ambos grupos de tipos de ensayos, es siempre necesario tener alguna previa preparación del material, de al menos tener una superficie plana y algo pulida y limpia. Sin embargo, dicha condición se cumple por lo general en el caso de rocas ornamentales, debido a que éstas se venden al mercado en forma de placas pulidas. Asimismo, entre los dos grupos de ensayos no destructivos, los ensayos de impacto emplean equipos más económicos comparando con los ensayos de propagación; y la calidad y cantidad de información que de éstos se obtiene son suficientes para dar una respuesta a la calidad del material que se estudia.

En la siguiente sección se desarrolla en forma más amplia lo que serían los ensayos de impacto.

 

2 Ensayos de impacto

Referente a los ensayos indirectos no destructivos de impacto se tienen: el ensayo de impacto por medio del martillo tipo Schmidt, por medio del esclerómetro Shore, y esclerómetro Leebs. El ensayo con los martillos tipo Schmidt fueron heredados de la práctica de auscultación no destructiva de concretos; mientras que los ensayos Shore y Leebs son más comunes dentro de la práctica de la mecánica de rocas.

Debido a que la auscultación de concretos es una actividad común en obras civiles, no fue extraño que incluso en los procesos de producción de canteras este ensayo sea el más común, y que en la literatura científica se tenga mayor respaldo de éste respecto los otros. Por tal razón, la presente investigación empleó dicho instrumento.

 

2.1 Ensayo con los martillos tipo Schmidt (SHT)

El ensayo con los martillos tipo Schmidt (SHT: Schmidt Hammer Test) es un método de pruebas no destructivas donde la lectura que se obtiene se denomina valor de rebote Schmidt y se designa como Ri que viene de rebound (algunos textos como los de concreto, expresan esta variable con la letra N o la letra H). Ésta representa una medida de la elasticidad a la colisión entre dos cuerpos con la raíz cuadrada de la relación de la altura de rebote h entre la altura de caída de la masa H (Ecuación 1). A esa variable se la denomina también coeficiente de restitución. Los valores de esta variable pueden variar de 0% a 100 %, donde las colisiones elásticas perfectas tienen un valor R de 100% y las colisiones inelásticas totales, un valor de 0 %.

 

2.2 Procedimiento del SHT

Para hacer el ensayo SHT es necesario escoger alguno de los métodos según las opciones de la Tabla 1. Si se ensaya en laboratorio —que es el caso de placas de roca— sólo se debe garantizar la horizontalidad de la placa.

 

2.3 Tipos de martillos

En este ensayo es necesario diferenciar al menos dos tipos de instrumentos estándares, comerciales y disponibles: el martillo de rebote Schmidt de concreto (Tipo N) y el martillo de rebote Schmidt de rocas (Tipo L). Éstos se diferencian según la energía de impacto disponible. Si se usa el martillo de rebote Schmidt Tipo N se tiene disponible una energía de impacto es de 2,207N m y se designa su respuesta con RN. Para rocas se prefiere el empleo del martillo de rebote Schmidt Tipo L debido a que no daña la roca durante el ensayo porque tiene una energía de impacto de 0,735N m, tres veces menos energía que el Tipo N. Se designa la respuesta con RL.

Las diferencias entre las lecturas RL y RN para un mismo material rocoso fueron observadas por varios autores, por ejemplo [15]. Debido a que en obra, la disponibilidad del martillo Schmidt Tipo N es mayor a la del martillo Tipo L, se propusieron correlaciones entre los valores RN y RL [16] [17] que dan valores esperados con un 95% de probabilidad.

Para el método de Poole & Farmer [8] se proponen las siguientes relaciones (Ecuaciones 2 para la posición horizontal y vertical hacia abajo, en el respectivo orden), siendo eσ el error estándar que se comete al estimar cualquier valor.

Estas correlaciones fueron hechas en paredes de macizos rocosos de Turquía y se pueden usar con fines de predicción con una apreciable exactitud. Las rocas ensayadas fueron: andesitas, diabasas, peridotitas, gabros, granitos, tufas, brechas, mármoles, calizas y travertinas. Sin embargo, se recomienda obtener otras correlaciones para otras inclinaciones de ensayo del martillo, al menos para 45º, y el tipo de roca con el que se esté trabajando en el sitio de investigación.

La Figura 1 muestra las gráficas de las ecuaciones 2 (v.gr. los casos del ensayo con martillo horizontal y martillo vertical hacia abajo). Los coeficientes de correlación r son iguales a 0,918 y 0,951, respectivamente; y los coeficientes de determinación R2 iguales a 0,842 y 0,904 , respectivamente.

Otra ecuación de corrección entre los valores RL y RN fue reportada por [19], con un coeficiente de determinación R2 igual a 0,913 3 (Ecuación 3).

Se comenta que para el caso del martillo Tipo L, los valores RL de 0% a 10% corresponden a rocas suaves, y los valores RL mayores a 60% corresponden a rocas duras a muy duras; no obstante la Sociedad Internacional de Mecánica de Rocas [2] sugiere que se use esta prueba sólo para rocas que tengan resistencia a compresión uniaxial comprendidas entre 20 MPa a 150 MPa, mientras que la norma ASTM [13] admite este rango de 0MPa a 100MPa.

 

2.4 Corrección por inclinación

Si los ensayos se hacen in situ sobre paredes inclinadas del macizo rocoso de la cantera, previo a la campaña de ensayos en campo es necesario calibrar los valores R con cuerpos de prueba de la roca ensayados con pruebas de rebote en laboratorio; esta vez con el martillo orientado en posición vertical apuntando hacia abajo.

La forma de corregir los valores R obtenidos para otras inclinaciones diferentes de la vertical en sentido hacia abajo (ángulo −90º) se logra con la suma de los valores que se muestran en la Tabla 2 para rangos que varían cada 45º, lo cual es suficiente para la sensibilidad de R con la inclinación. La inclinación del instrumento se deduce de la inclinación del plano de ensayo, cuya orientación espacial fue obtenida antes del ensayo.

 

2.5 Correlaciones con las propiedades mecánicas

Existen varias correlaciones empíricas propuestas para relacionar el valor de rebote R con la resistencia a compresión uniaxial del material rocoso (σci) y con el módulo elástico del mismo (Ei) (Tablas 3 y 4, respectivamente).

 

3 La investigación

Una pregunta que uno debe de alguna forma responder cuando evalúa la calidad de una placa de roca ornamental, es si aquella es homogénea en toda su área desde el punto de vista de su resistencia mecánica.

Esto es importante, debido a que algunas de las rocas ornamentales cortadas como placas son sometidas a cargas perpendiculares a su superficie durante su uso, donde a lo largo de su sección transversal desarrollan esfuerzos de tracción y compresión, resumido en un estado de esfuerzos que se lo denomina flexión. Si la roca no es lo suficiente homogénea, ella puede tener en una determinada parte resistencias mecánicas a esfuerzos de compresión y tracción altas, y en otras bajas.

De este modo, en el caso donde el procedimiento de control de calidad con el empleo del SHT sólo sugiera escoger uno a tres puntos de forma aleatoria en toda la superficie de la placa, como se recomienda en las Tablas 1; pueden darse los casos extremos que por azar uno escoja los puntos más débiles o más fuertes, dando lugar a falsas estimaciones de la resistencia mecánica de toda la placa. En otras palabras, y desde el punto de vista estadístico: los resultados de los puntos muestrales (o muestras) no serían representativos de la población.

Para evitar esta posibilidad se sugirió mejorar el procedimiento de ensayos no-destructivos sobre placas ornamentales, siendo más sistemáticos y empleando herramientas estadísticas. Esta mejora radica en disminuir el número de disparos alrededor de un punto aleatorio en la superficie, pero a la vez aumentar el número de disparos en una superficie distribuida de forma rectangular en un área destinada para el ensayo; tal como se describe en la sección siguiente (Sección 3.1).

 

3.1 Metodología

Dada la interrogante planteada arriba, se planteó ensayar un área cuadrada de una placa de 2,0m de lado. Sobre aquella superficie se creó una malla rectangular de nueve puntos por lado, éstos espaciados en dos direcciones perpendiculares cada 0,2 m; dando un total de 81 puntos de ensayo. Luego de ser marcados aquellos puntos, se hizo un ensayo SHT en cada punto para obtener un valor de R por punto. Esta adaptación tiene el fin de tener mayor número de puntos distribuidos en el espacio, pero a la vez evitar demasiados puntos de lectura que retardaría el ensayo global.

 

3.2 Material

El estudio se hizo en la roca ornamental sodalita proveniente de la cantera localizada en el Cerro Sapo en las inmediaciones de la localidad de Sivingami y a 15km al norte de la capital de la provincia de Ayopaya (v.gr. Independencia) en el departamento de Cochabamba–Bolivia. La Figura 2(a) muestra la vista general de la Cantera del Cerro Sapo, y la Figura 2(b) una pared expuesta de sodalita.

Esta Sodalita pertenece al magmatismo Mesozoico del Complejo Alcalino del Cerro Sapo (CACS), que es una pequeña intrusión de calcio-carbonatita con múltiples diques ferro-carboníticos y lentes en asociación con un estoc de sienita nefelínica, donde este estoc es cortado por un sistema de diques especulares de minerales de sodalita, ankerita y barita entre otros [35] [36].

La sodalita es considerada como una gema no-metálica de varias tonalidades en azul con jaspes blancos a grises; y que fue descubierta y utilizada ya desde la época del imperio Incaico. La sodalita de la cantera del Cerro Sapo es del tipo mármol sodalítico, y dentro de este grupo particular de la cantera se diferencian cuatro tipos: Royal Blue, Nuvolato, Blue Sapo, y Blue Tiger. La dureza reportada para este material es de 5;5 en la escala relativa de Mohs.

La empresa que opera la cantera exporta a Europa placas de este material para que ellas se corten en pequeñas placas (v.gr. baldosines de dimensiones del orden de los centímetros a pocos decímetros) a ser usados en la decoración de paredes; o se corten en placas de mayores dimensiones (v.gr. del orden de los decímetros al metro de lado; y espesores del orden de los centímetros) para el uso en pequeños mesones (Figura 3).

De este modo, conocer la resistencia y homogeneidad mecánica de la placa es importante para diferenciar entre un lote destinado para el uso de mesones u otro para solo baldosines.

 

3.3 Campaña de ensayos

Las placas de sodalita ya cortadas son almacenadas bajo techo y colocadas en forma casi vertical con ayuda de soportes; sin embargo, su estado de humedad es el del ambiente.

Del lote de producción que se necesitaba analizar que pertenecía al tipo Blue Sapo, se escogió al azar una placa de 0,05m de espesor de las dimensiones estándar que maneja la cantera, que es mayor a la dimensión de 2,0m x 2,0m planteada en el procedimiento de ensayo de este estudio.

Esta placa se llevó al laboratorio y se colocó de forma horizontal sobre el piso de concreto asentada sobre una capa de arena de aproximadamente 0,05 m. En la placa de roca se escogió el área de ensayo y se marcaron los 81 puntos de ensayo (v.gr. arreglo cuadrado espaciados a 0,2 m).

Se hizo solo un disparo por punto y no mayores a los recomendados en la Tabla 1 (que recomiendan tres o más disparos muy cercanos alrededor del primer punto elegido en la batería de disparos) con el fin de evitar microfisuras en el material de la placa, y de modo de optimizar el tiempo del ensayo para aumentar más disparos distribuidos en la superficie de la placa. Para ello, se usó un martillo Schmidt tipo L, por tener la menor energía. No se hizo mayor procesamiento a sólo la lectura del valor RL en el equipo. La Tabla 5 muestra los resultados de la campaña de medidas.

La roca durante su ensayo en este estudio estaba en estado secado al ambiente. Esta condición no garantiza un contenido de humedad del 0 %, por tanto es probable que exista algún efecto de la humedad natural sobre los valores RL. Sin embargo, una práctica de secado en horno para tener un contenido de humedad del 0% para los ensayos de placas, resultaría en una práctica mucho más demorada donde se perderían las pocas ventajas que se tienen de usar métodos no-destructivos indirectos para inferir la resistencia mecánica del material rocoso que conforma una placa.

 

4 Análisis de resultados

4.1 Variabilidad univariada de RL

El intervalo de RL más frecuente es de 44 a 46 tal como muestra el histograma de la Figura 4. Estos datos pueden ajustarse con un nivel de confianza del 87% a una distribución Beta con parámetros α β = 192,05 y α β = 0,23, que dan una media de 43,9, varianza de 10,0 y mediana de 43,8.

Se observa que para un material natural como el aquí ensayado, resulta ser difícil encontrar que éste sea completamente homogéneo debido a la heterogénea distribución de tamaño de granos minerales, la presencia variable de micro-fisuras y la variable composición de la matriz inter-mineral que actúa como ligante.

 

4.2 Variabilidad espacial de RL

Se les asignaron nombres a las variables de posición donde se hicieron los ensayos, adoptando un sistema coordenado cartesiano bidimensional dextrógiro (v.gr. valores x en sentido horizontal desde el origen hacia la derecha, y valores y en sentido vertical desde el origen hacia arriba, estando el origen en la parte inferior izquierda de la placa, si se observa el plano al frente de uno).

De este modo, cada punto tiene una coordenada (xi, j, yi, j) donde los subíndices i y j son números naturales de 1 a 9 y corresponden al número de columna y al número de fila, respectivamente.

Para cada una de las dos direcciones definidas con anterioridad se calculó el semivariograma experimental γ* (h), asumiendo en un inicio que para cada dirección no existe la influencia de la otra dirección que no se esté considerando.

La Figura 5 muestra los semivariogramas experimentales para estas dos direcciones con puntos circulares, mientras que con una trazo continuo y delgado a mano alzada lo que podría representar un posible semivariograma sintético. La primera figura (Figura 5(a): dirección x) se observa que el variograma experimental podría ajustarse a un efecto pepita puro; mientras que en la segunda (Figura 5(b): dirección y) se observa que con mucha dificultad se podría asemejar con un semivariograma sintético tipo gausiano, o con uno monómico.

Las anteriores gráficas ayudan a reconocer que la variabilidad de los datos en cada una de las direcciones analizadas dependen de la otra y que la variabilidad espacial de la variable analizada puede estar más influenciada por alguna dirección no paralela a uno de los dos ejes asumidos (v.gr. no paralela a los ejes x y y).

De este modo, aprovechando que se tiene un arreglo ortogonal e igualmente espaciado, se obtuvo como primera alternativa el semivariograma en dirección xy (v.gr. a una dirección de 45º y 225º respecto el eje x). La Figura 6 muestra ambas situaciones, donde para el primer caso (Figura 6(a): dirección 45º) se podría ajustar a un semivariograma gausiano, y para el segundo (Figura 6(b): dirección 225º) a uno esférico o exponencial.

De la observación de los anteriores gráficos se puede concluir que la variabilidad espacial del valor analizado no es homogénea y sigue dependiendo de alguna dirección, pero que no es ni paralela a uno de los ejes ni paralela a una dirección de 45º o 225º.

Por esta razón, se decidió encontrar aquella dirección preferencial, para que el semivariograma encontrado sea representativo de los valores medidos.

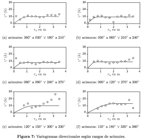
Para ello se decide tomar el eje positivo 'y' como eje de referencia de partida para la medida de los ángulos, y el de las manecillas de reloj como sentido del incremento de esos ángulos. Ésto es normalmente asumido en la geología para hacer coincidir la dirección positiva del eje 'y' con el Norte geográfico. Luego se decide dividir la rosa de los vientos en doce intervalos angulares partiendo del Norte, y para cada uno de estos intervalos se obtiene un semivariograma. Sin embargo, para simplificar el análisis se decide que la variabilidad espacial no dependa del sentido, por tanto resultan únicamente seis intervalos cuyos semivariogramas se tienen que calcular. La Figura 7 muestra los seis semivariogramas de cada una de estas orientaciones.

En todos los semivariogramas experimentales se intentó ajustar el mejor semivariograma sintético, donde los más apropiados fueron: el esférico y el gausiano, siendo el primero el que más prevalece. Por esta razón se decidió ajustar todos los semivariogramas al respectivo esférico únicamente.

Con el fin de simplificar aún más los cálculos se hizo que los valores de la meseta del semivariograma esférico (S) sea constante para todas las direcciones, y de este modo sólo tener una elipse de valores del parámetro de variación radial (ra) dependiente de la orientación. La Tabla 6 muestra los parámetros de los semivariogramas sintéticos esféricos para las seis direcciones definidas, y la Figura 8 muestra la elipse de valores ra con círculos, y con trazo continuo la elipse que se ajustó a partir de esos valores.

La anterior elipse ajustada de valores ra se puede resumir con las magnitudes y acimutes de sus dos ejes principales (o de forma más resumida aún: el valor de la relación del eje mayor con el eje menor, y el acimut del eje mayor). Por tanto, los parámetros que definen los semivariogramas para cada dirección se sintetizan según lo indicado en la Tabla 7.

Con los parámetros de la Tabla 7 se realizó la interpolación con el uso del método del krigeado simple, y se obtuvo las isolíneas de valores RL para la placa analizada, tal como se muestra en la Figura 9.

A partir de estos valores es posible usar las ecuaciones empíricas de la Tabla 3 y obtener un gráfico de las isolíneas de la resistencia a compresión uniaxial del material, o a partir de las ecuaciones empíricas de la Tabla 4 las isolíneas del módulo elástico. Sin embargo, para este artículo se discuten algunos aspectos acerca de la variabilidad en el espacio de simplemente la variable RL.

Con el análisis geoestadístico llevado a cabo en el presente estudio se observó que aún con esa variabilidad es posible ver una dependencia de la variable medida con el espacio. El hecho de haberse podido inferir un semivariograma direccional claramente orientado como lo muestra la variación de la variable ra con la rosa de los vientos en la Figura 8, indica que la precisión de las lecturas de RL con el instrumento usado es suficiente para tener una apreciación de la dependencia de la resistencia mecánica del material rocoso con la posición en el espacio.

 

5 Discusión

Del histograma de la Figura 4 y el ajuste a la distribución normal, se observa que el valor de rebote RL más esperado es de 43;8%. Si se emplea la ecuación empírica de Sachpazis [29] de la Tabla 3 para mármoles —que puede asemejarse al tipo de roca de este estudio— se tendría una resistencia a compresión uniaxial (σci) de aproximadamente 120MPa. Con este valor se caracteriza a la roca como una roca muy fuerte; además representativa o característica del material (de la Sodalita).

Al analizar la Figura 9 se observa que el valor de RL varía en el espacio de 40% a 48%; lo que indicaría —si se emplea la misma ecuación empírica de Sachpazis— la resistencia a compresión uniaxial de la roca variaría en la placa de 105MPa a 140MPa (v.gr. una diferencia relativa al valor máximo de 26%). En adición, se inspeccionan cuáles son las distancias mínimas entre estos valores máximo y mínimo; y se observa que para el caso de esta placa ensayada esa distancia es de aproximadamente 0,45 m.

Estas apreciaciones ayudan a concluir que la variación máxima de la roca es de forma aproximada de 20 % en 0,45 m; o dicho de otra forma, la variación es cercana a 45 % por metro.

El hecho de tener una variación cercana al 50 % por metro para la resistencia mecánica de un material es muy alta para asumir un valor promedio para todo el material, y para garantizar que el mismo es homogéneo desde el punto de vista mecánico. Asimismo, se observa que la anisotropía de esa variabilidad es más asentuada en una dirección específica de la placa (como muestra la Figura 8); lo que indica que la placa no solo tiene propiedades mecánicas heterogéneas, sino que también anisótropas.

En la práctica, no se hacen análisis estructurales de este material para la dimensiones de las placas que se destinan bajo argumentos heterogéneos y anisótropos, pese a que los métodos sí existen; por tanto, sería muy riesgoso destinar la placa estudiada para fines estructurales sin tomar en cuenta esos dos aspectos de forma particular en los cálculos estructurales con el material.

Por tanto, la placa de este estudio —que además representa a una determinado lote de producción— no se recomendó para el empleo estructural (tal como mesones, por ejemplo); y mas bien se recomendó para la producción de baldosines.

 

6 Conclusiones y recomendaciones

Esta investigación mostró que la roca ornamental estudiada (v.gr. sodalita) en la forma de una placa cuadrada de 2m de lado y 0,05m de espesor tiene una variabilidad espacial direccional preferencial bien definida en lo que respecta a su resistencia mecánica, y que esta variabilidad es además muy alta respecto el espacio en el plano de la placa.

También reveló la presente investigación que estas dos características — anistropía mecánica direccional y espacial— sí pueden ser detectadas con una serie de medidas de martillo de rebote Schmidt Tipo L.

Sin embargo surgen aún más interrogantes referente a que si bien a nivel mesoscópico, el instrumento (v.gr. martillo de rebote Schmidt Tipo L) no crea fisuras en ese espesor de placa; puede existir un microfisuramiento a nivel microscópico. Este aspecto se puede resolver luego de analizar la placa a través del microscopio después de la serie de disparos.

Asimismo, en la presente investigación no se hizo una caracterización de la distribución de tamaño de partículas y su orientación espacial de las mismas de la roca a través de secciones delgadas. Más aún, no se extrajeron las placas relacionando la orientación de las mismas con la posición y orientación in situ en la cantera, lo cual no permite generalizar los resultados aquí expuestos con la formación geológica.

Por tales motivos, se recomienda resolver en el futuro lo siguiente:

• relacionar la hetereogeneidad espacial del material rocoso con la ubicación espacial de los minerales constituyentes del material rocoso a través de secciones delgadas analizadas en microscópio petrográfico; y todas estas relacionarlas con la formación geológica in situ;

• determinar el grado de fisuramiento microscópico que pueda generar la batería de ensayos esclerométricos con el martillo Schmidt tipo L;

• determinar el espesor mínimo aceptable para la roca de estudio, con el fin de evitar fisuramiento mesoscópico debido a la batería de ensayos con martillo Schmidt tipo L.

• determinar el lado mínimo y el mínimo número de disparos para no perder resolución en las apreciaciones mecánicas de anisotropía y hetereogeneidad mecánica aquí observadas, pero con el fin de mejorar la velocidad de los ensayos empleando el menor material posible.

• comparar este método de estimación con los otros disponibles en el medio; tales como ensayos no destructivos de propagación de ondas, o fotografías en la superficie con la interpretación de imágenes de los minerales de la roca bajo una previa correlación de éstos con las propiedades mecánicas. Esto debido a que estos ensayos son menos perturbadores que el expuesto en esta investigación.

Sin embargo, pese a los siguientes pasos que se necesitan alcanzar para encontrar un método no destructivo rápido, eficiente y económico que ayuden a decidir la calidad y el uso mecánico de las placas de roca, la presente campaña de ensayos y el uso de las herramientas de análisis aquí descritas (v.gr. la ecuaciones empíricas de correlación de RL con σci y el uso de la geoestadística), podrían adoptarse como un primer paso para definir el uso que se le darán a las placas de una cantera de rocas similares a la aquí expuesta: si estas serán destinadas para soportar cargas estructurales (como lo soportan los mesones, por ejemplo); o si podrían emplearse solo con fines ornamentales (como lo hacen los baldosines, por ejemplo).


 

 

Referencias

[1] R. Young and R. Fowell, ''Assessing rock discontinuities,'' Tunnels and Tunnelling, vol. June, pp. 45–48, 1978. 224

[2] ISRM, ''Suggested methods for the quantitative description of discontinuities in rock masses,'' International Journal of Rock Mechanics and Mining Sciences & Geomechanics Abstracts, vol. 15, no. 6, pp. 319–368, 1978. 224, 227

[3] R. Göktan and C. Ayday, ''Suggested improvement to the Schmidt rebound hardness ISRM suggested method with particular reference to rock machineability,'' International Journal of Rock Mechanics and Mining Sciences & Geomechanics Abstracts, vol. 30, pp. 321–322, 1993. 224

[4] Soiltest, Operating instructions, concrete test hammer, Soiltest Inc., 1976. 225

[5] J. Matthews and R. Shakesby, ''The status of the little ice age in southern norway, relative age dating of Neoglacial moraines with Schmidt hammer and lichenometry,'' Boreas, vol. 13, pp. 333–346, 1984. 225

[6] A. Kazi and Z. Al-Mansour, ''Empirical relationship between Los Angeles abrasion and Schmidt hammer strength tests with application to aggregates around Jeddah,'' Quarterly Journal of Engineering Geology and Hydrogeology, vol. 13, pp. 45–52, 1980. 225

[7] O. Katz, Z. Reches, and J. Roegiers, ''Evaluation of mechanical rock properties using a Schmidt hammer,'' International Journal of Rock Mechanics and Mining Sciences, vol. 37, pp. 723–728, 2000. 225, 228, 229

[8] R. Poole and I. Farmer, ''Consistency and repeatability of Schmidt hammer rebound data during field testing,'' International Journal of Rock Mechanics and Mining Sciences & Geomechanics Abstracts, vol. 17, pp. 167–71, 1980. 225, 226

[9] V. Hucka, ''A rapid method for determining the strength of rocks in situ,'' International Journal of Rock Mechanics and Mining Sciences & Geomechanics Abstracts, vol. 2, pp. 127–134, 1965. 225

[10] GBG, ''Structural services, material testing and structural investigations: Rebound hammer testing,'' http://www.gbg.co.uk/index.php?page=strrebound, 2004, accessed on August 2010. 225

[11] U.S. Bureau of Reclamation, Engineering Geology field manual: Field index tests, 1st ed., U.S. Bureau of Reclamation & U.S. Departtment of Interior, 1998. 225

[12] P. Sumner and W. Nel, ''The effect of rock moisture on Schmidt hammer rebound, tests on rock samples from Marion Island and South Africa,'' Earth Surface Processes and Landforms, vol. 27, pp. 1137–1142, 2002. 225

[13] ASTM D5873-05, ''Test method for determination of rock hardness by rebound hammer method,'' PA: ASTM International, Philadelphia, Tech. Rep., 2006. 225, 227

[14] ASTM C805-02, ''Standard test method for rebound number of hardened concrete,'' PA: ASTM International, Philadelphia, Tech. Rep., 2002. 225

[15] D. Kennedy and M. Dickson, ''Lithological control on the elevation of shore platforms in a microtidal setting,'' Earth Surface Processes and Landforms, vol. 31, no. 12, pp. 1575–1584, 2006, doi: 10.1002/esp.1358. 226

[16] C. Ayday and R. Göktan, ''Correlations between L and N-type Schmidt hammer rebound values obtained during field testing,'' in Proceedings of the ISRM Regional Symposium: Rock Characterization, EUROCK 1992, J. Hudson, Ed., vol. 1, British Geotechnical Society. Chester, UK: Thomas Telford, London, 1992, pp. 47–50. 226

[17] I. Buyuksagis and R. Göktan, ''The effect of Schmidt hammer type on uniaxial compressive strength prediction of rock,'' International Journal of Rock Mechanics and Mining Sciences, vol. 44, pp. 299–307, 2007. 226, 228

[18] L. Suárez-Burgoa, Descripción del macizo rocoso: introducción a la ingeniería de rocas de superficie y subterránea, 2nd ed. Medellín: El Autor, Jul 2013. 227

[19] H. Viles, A. Goudie, S. Grab, and J. Lalley, ''The use of the Schmidt hammer and Equotip for rock hardness assessment in geomorphology and heritage science: A comparative analysis,'' Earth Surface Processes and Landforms, vol. 36, no. 3, pp. 320–333, 2011, doi: 10.1002/esp.2040. 227

[20] D. Deere and R. Miller, ''Engineering classifications and index properties of intact rock,'' University of Illinois, Technical Report AFWL-TR 65-116, 1966. 228, 229

[21] E. Aufmuth, ''A systematic determination of engineering criteria for rocks,'' Bulletin of the Association of Engineering Geologists, vol. 11, pp. 235–245, 1973. 228, 229

[22] B. Beverly, D. Schönwolf, and G. Brierly, ''Correlations of rock index values with engineering properties and the classification of intact rocks,'' Federal Highway Administration, Waschington D.C., Technical Report, January 1979. 228, 229

[23] P. Shorey, D. Barat, M. Das, K. Mukherjee, and B. Singh, ''Schmidt hammer rebound data for estimation of large scale in-situ coal strength,'' International Journal of Rock Mechanics and Mining Sciences & Geomechanics Abstracts, vol. 21, pp. 39–42, 1984. 228

[24] K. Haramy and M. DeMarco, ''Use of Schmidt hammer for rock and coal testing,'' in Proceedings of the 26th U.S. Symposium on Rock Mechanics, E. Ashworth, Ed., South Dakota School of Mines and Technology. Rapid City, SD: Balkema Rotterdam, June 1985, pp. 549–555. 228

[25] A. Ghose and S. Chakraborti, ''Empirical strength indices of Indian coals: An investigation,'' in Proceedings of the 27th U.S. Symposium on Rock Mechanics: Key to energy production, H. Hartman, Ed., University of Alabama. Tuscaloosa, AL: Balkema Rotterdam, June 1986, pp. 59–61. 228

[26] S. Kahraman, ''Basinç direnci tahmininde schmidt ve nokta yük indeksi kullanmanin güvenirligi,'' in KTÜ Jeoloji Mühendisligi Bölümü, v. Korkmaz and M. Akçay, Eds., vol. 30. Trabzon: Yil Sempozyumu Bildiriler Kitabi, 1996, pp. 362–369. 228

[27] R. Singh, F. Hassani, and P. Elkington, ''The application of strength and deformation index testing to the stability assessment of coal measures excavations,'' in Proceedings of the 24th U.S. Symposium on Rock Mechanics: Rock Mechanics Theory, Experiment, Practice, C. Mathewson, Ed., Association of Environmental and Engineering Geologists. College Station, Texas: Texas A&M University Press, 1983, pp. 599–609. 229

[28] J. O'Rourke, ''Rock index properties for geo-engineering in underground development,'' Mining Engineering, pp. 106–110, 1989. 229

[29] C. Sachpazis, ''Correlating Schmidt hammer rebound number with compressive strength and Young's modulus of carbonate rocks,'' Bulletin of the Association of Engineering Geologists, vol. 42, pp. 45–83, 1990. 229, 240

[30] S. Xu, P. Grasso, and M. Mahtab, ''Use of Schmid hammer for estimating mechanical properties of weak rock,'' in Proceedings of the 6th International Association for Engineering Geology Congress, D. Price, Ed., International Association for Engineering Geology. Amsterdam, Netherlands: Balkema Rotterdam, August 1990, pp. 511–519. 229

[31] G. Aggistalis, A. Alivizatos, D. Stamoulis, and G. Stournaras, ''Correlating uniaxial compressive strength with Schmidt hammer rebound number, point load index, Young's modulus, and mineralogy of gabbros and basalts (Northern Greece),'' Bulletin of the Association of Engineering Geologists, vol. 54, pp. 3–11, 1996. 229

[32] C. Gökceoglu, ''Schmidt sertlik cekici kullamlarak tahmin edilen tek eksenli basinc dayanini verilerinin güvenirligi üzerine bir degerlendirme,'' Jeol Müh, vol. 48, pp. 78–81, 1996. 229

[33] I. Yilmaz and H. Sendir, ''Correlation of Schmidt hammer rebound number with unconfined compressive strength and Young's modulus in gypsum from Sivas (Turkey),'' Engineering Geology, vol. 66, pp. 211–219, 2002. 229

[34] I. Dincer, A. Acar, I. Cobanoglu, and Y. Uras, ''Correlation between Schmidt hardness uniaxial compressive strength and young's modulus for andesitesbasalts and tuffs,'' Bulletin of Engineering Geology and the Environment, vol. 63, pp. 141–148, 2004. 229

[35] B. Balderrama Zárate, ''Magmatismo mesozoico del complejo alcalino del cerro sapo,'' BSc. Thesis, Carrera de Geoloía, Universidad Mayor de San Andrés, La Paz, 2003. 231

[36] F. Schultz, B. Lehman, S. Tawackoli, R. Rössling, B. Belyatsky, and P. Dulski, ''Carbonite diversity in the Central Andes: the Ayopaya alkaline province, Bolivia,'' Contributions to Mineralogy and Petrology, vol. 148, no. 4, pp. 391–408, 2004. 231