ARTÍCULO ORIGINAL

doi: http://dx.doi.org/10.17230/ingciencia.10.19.2

 

A Mathematical Model for Social Security Systems with Dynamical Systems

 

Un modelo matemático para sistemas de jubilación del seguro social con sistemas dinámicos

 

 

Gilberto Gonzalez-Parra1 and Abraham J. Arenas2

1 Ph. D. in Applied Math, gcarlos@ula.ve, Universidad Los Andes, Mérida, Venezuela.

2 Ph. D. in Applied Math, aarenas@correo.unicordoba.edu.co, Universidad de Córdoba, Montería, Colombia.

 

Received: 24-05-2013, Accepted: 09-09-2013, Available online: 30-01-2014

MSC: 97M10, 97M40

 


Abstract

In this paper it is proposed a mathematical approach based on dynamic systems to study the effect of the increase in the Social Security normal retirement age on the worker and on the dynamics of retiree populations. In order to simplify this initial effort, the proposed model does not include some economic variables, such as wage growth, earnings or productivity. Here, we employ numerical simulations of the model to investigate the dynamics of the labor force under different demographic scenarios. Analysis of this type of model with numerical simulations can help government economic planners make optimal strategies to sustain pension systems and forecast future trends of pensioner and worker populations.

Key words: retirement model; mathematical modeling; social security; dynamical system; applications of mathematics.


Resumen

Este artículo propone una primera aproximación matemática basada en los sistemas dinámicos para estudiar el efecto del aumento de la edad de jubilación de la Seguridad Social de los trabajadores y la dinámica de las poblaciones de jubilados. El modelo propuesto no incluye diversas variables económicas como el crecimiento salarial, los ingresos y la productividad con el fin de obtener un primer enfoque poco complejo. Las simulaciones numéricas del modelo se utilizan para investigar la dinámica de la fuerza de trabajo utilizando diferentes escenarios demográficos. El análisis de este tipo de modelos con simulaciones numéricas puede ayudar a los planificadores económicos de los gobiernos a generar las estrategias óptimas para mantener el sistema de pensiones y obtener pronósticos sobre las poblaciones de pensionistas y trabajadores.

Palabras clave: modelo de jubilación; modelización matemática; seguridad social; Sistema dinámico; matemáticas aplicadas.


 

 

1 Introduction

During the last decades in many European countries the demographic scenario has changed steadily. The fall in fertility and the rise in longevity have lead to a significant increase in the proportion of the older population. Therefore, Social Security systems, whose expenditures are very much determined by the size of the older population, have been facing an increasingly financial stress [1]. Germany, in particular faces one of the most extreme population aging processes. The proportion of persons aged 60 and older will increase from 21% in 1995 to 36% in the year 2035, when the aging process will peak in Germany. Along with Switzerland and Austria, this will be the highest proportion in the world in the year 2035 [2].

European old age labor force participation rates are relatively low compared to the United States and Japan. The decline in old age labor force participation amplifies the problems of financing social security in times of population aging because it implies more recipients and fewer contributors [2],[3]. Workers who approach retirement age evaluate their prospective wage and pension streams, and choose the retirement age that maximizes their expected lifetime earnings or utility. In most cases workers choose the minimum retirement age fixed by the system.

Social security systems of several countries are having problems sustaining the economic system of pension benefits, since retirees receive pensions for a longer time while there are fewer employers per pensioner to contribute to the financial burden of the pension systems [2],[3]. Several options have been proposed to solve this economic problem and some are starting to be implemented. One solution that has been proposed in several scholarly publications includes the increase of the retirement age as well as pension benefits for late retirement. However, early retirement has an advantage over lately retirement in the long term for the optimization of some institutions, since can be a ''soft'' way to reduce or to renew the workforce [4].

Many studies have been presented which quantitatively model the rise in Social Security expenditures as a function of population aging (see, for instance, [5],[6],[7],[8]). Nowadays, the task continues, as many political institutions are concerned by the budgetary implications of demographic changes. Over the years, the methodologies used to yield some quantitative forecasts of the likely evolution of Social Security expenditures have been improved and, nowadays there is a menu of alternative approaches to perform this task [7].

A survey [7] of the different approaches available to study the effects of the aging of the population on the sustainability of the social security system has been presented. The approaches are grouped into three categories that we in turn label as: i) aggregate accounting, ii) individual life-cycle profiles, and iii) general equilibrium models. Our approach may be considered as belonging to the last group. In [7], different predictions for the evolution of Social Security expenditures for the Spanish case are compared. In [9] authors develop a continuous-time overlapping generations model in which population is divided into young, working age, and old classes in order to study consumption in regard to the fertility.

Ordinary differential initial value problems appear in several real world applications. One aim of this paper is to present a preliminary mathematical model to study the dynamics of worker population under different retirement plans depending on the age of retirement. The mathematical model is based on a dynamic system that considers that populations can be divided into three classes: children, workers, and pensioners; where the condition for pension benefits is only eligibility by age. The proposed model does not include several economic variables, such as wage growth, earnings, or productivity, in order to obtain an initial, simplified approach. Moreover, immigration is one source of population growth, but is very volatile, and thus hard to project. Immigration can be affected either positively or negatively by changes in immigration policies or by events that happen in other parts of the world [10]. Therefore, in this initial model, immigration is not considered.

Numerical simulations are performed here with two main aims: (i) the use of the simplified model based on ordinary differential equations systems to model the dynamics of the population and (ii) investigate the effects of Social Security normal retirement age, longevity and starting work mean age on the population dynamics. The well known economic old dependency ratio (ODR) is used as one indicator of the evolution of the worker and retiree population.

One of our goals is to model the future behavior of the worker and pensioner populations when different Social Security normal retirement ages and lifetime expectancies are simulated. Thus, the model also helps us to understand the consequences of different retirement plans with regard to age. These dynamics are important since the decline in old age labor force participation amplifies the problems of financing social security in times of population aging because it implies more recipients and fewer contributors. A mathematical model allows us to understand the global dynamic behavior of the working population and to establish sustainable public retirement programs.

The organization of this paper is as follows. In Section 2 the mathematical model is introduced to study the effect of the increase of the Social Security normal retirement age in the worker and retiree population dynamics. A linear stability analysis of the ordinary differential equation system underlying the mathematical model is performed in Section 3. In Section 4, numerical simulations for different Social Security normal retirement ages are reported. Discussion and conclusions are presented in Section 5.

 

2 Mathematical model

The proposed model is based on a linear ordinary differential equation system. A dynamic mathematical model capable of estimating qualitatively the future dynamics of worker and pensioner populations when Social Security normal retirement age is modified and life expectancy varies is useful for planning. Additionally, several countries can be studied by only modifying a few parameter values of the model to adjust for the particular characteristics of each country.

Following the basic ideas and structure of mathematical modeling, the retirement model is developed under the following basic hypotheses [11],[12],[13].

1. The total population P(t) is divided in three classes:

• Children C(t): members of the population under the starting work age mean.

• Workers W (t): members of the population over the starting work age and under Social Security normal retirement age.

• Retirees R (t): members of the population over the Social Security normal retirement age.

 

2. Unemployment is assumed null in the worker class population W (t).

3. A child transit at a β rate from the children C (t) class to the workers class W (t).

4. A worker individual transit rate (γ) by which the worker leaves the worker class population W (t) to the retired population R (t).

5. A retired individual death rate (μ), by which the retirees leaves the retired population R (t).

6. For both Children and Workers class individuals, it is assumed that the the natural death rate μ is zero.

7. Homogeneous individuals with no gender distinction.

8. An individual in the retired class R (t) can not return to the worker class W (t); even if there is a change in the Social Security normal retirement age.

9. Each of the parameters μ, γ and β can be interpreted as a mean of the length of the transit period between classes. Therefore, the numerical values estimated for each parameter should be considered as average and does not be regarded as fixed values for all individuals.

10. Overlapping generations are assumed, i.e., births are continuous.

The total population is denoted by

Constant or variable population size can be implemented in the model in many ways. For instance, it is possible to take different recruitment and death rates in order to have a variable population size. Although modeling changes in population size and age structure distribution is an interesting topic in this work, we focus on a basic variable population size underlying the demographic model in order to identify more easily the effects of Social Security normal retirement age and increase in lifetime expectancy. Notice that in our model we ignore childhood and early adult mortality, assuming that death only occurs among the retired. The model could easily be adapted to incorporate these other forms of mortality by changing the basic equations [9].

Under the above assumptions, the dynamic retirement model for children, workers and retirees is depicted graphically in Figure 1 and is given by the following first order linear system of ordinary differential equation,

where P (t) is the total population.

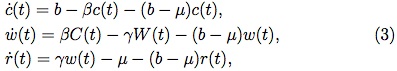
In order to study the population dynamics in a simpler form the system (2) is scaled. Hence, following ideas developed in [14] about how to scale models where the total population size is varying one obtains:

where

The parameters used in the proposed mathematical model (2) for the population retirement dynamics are presented in Table 1.

 

3 Mathematical model analysis

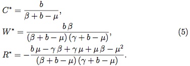
The properties of the mathematical model (3) are studied in this section in order to know the steady state of the model. Thus, we can anticipate some qualitative behavior of the numerical solutions coming out from the model. The equilibrium points of system (3) are obtained by setting zero the left-hand sides of system (2). Without loss of generality, and for sake of clarity, from now on, capital letters are used to denote the population proportions c(t), w(t) and r (t). The scaled model (3) has only one equilibrium point (C*, W*, R*), where,

This equilibrium point depends on the birth, b; and the death, μ; rates, the starting work age parameter, β, and the Social Security normal retirement age, γ. All these parameters can be set to adjust the model to numerical values corresponding to different countries. Therefore, the effects of the increase of the Social Security normal retirement age in the structure of the population can be studied for different ages of retirement. Additionally, changes in the life expectancy can also be analyzed and the dynamics of the population classes can be obtained.

Initially, we would like to introduce a classical measure used in labor economics to study retirement dynamics. Several options are available, but here we use the old dependency ratio (ODR) defined as the ratio of the number of retirees to the number of workers [7],[8].

As it can be seen, the dependency ratio varies with time and is based on the proportional sizes of the classes or subpopulations W (t) and R (t). In the context of the mathematical model, a high dependency ratio implies that there are fewer workers per pensioner to contribute to the financial burden of the pension systems. Conversely, a low dependency ratio indicates that there are a more workers per pensioner to contribute to the social security system.

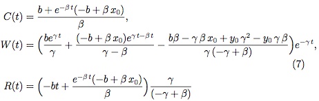
The linear system (2) can be solved analytically without using any transformation or special class function and closed analytical expressions are obtained which allows a more convenient analysis. Although there are few parameters in the model, the closed form solution is very long and not particularly illuminating so instead of writing it here we can just said that the main feature is as t the solution approaches the equilibrium point (C*, W*, R*). However, for the particular case when the population is constant (b = μ), the closed form solution of the system (3) is the following,

Note that the population dynamics can be studied using the closed form solution (7) and that the different results for each country are obtained using different parameter values.

 

4 Numerical simulations

In this section some numerical simulations of the mathematical model (3) to study the transient dynamics of children, worker and retiree populations (classes) are presented. Several scenarios are simulated in order to understand better the effect of the retirement age parameter γ on population dynamics. In addition, numerical simulations with different life expectancy and different values of the starting work age are performed in order to study the effect of longevity and time of education (university, high school) on the Social Security system. The study of Social Security normal retirement age and longevity is important since an increase of one year in both life expectancy and working life raises considerably the old dependency ratio, because such an increase represents, proportionally, a larger rise of average years.

In order to compare the numerical results, baseline scenarios are used as in [5]. Some of the parameters values for these scenarios are taken from previous social security retirement studies as well as using approximate values from Spain, USA and Venezuela [2],[3],[15],[16],[17], [18],[19],[20],[21]. The simulations of the models were run until a steady state was reached and, using the model (3) in order to analyze the results using the population proportions.

 

4.1 Social Security baseline cases

Different countries have different life expectancies, Social Security retirement ages, and starting work ages. Here we select values for these parameters based on previous studies, most of which focused on the OECD countries and international labor economic data [1],[7],[15],[16], [22],[23],[24]. The parameter values for the baseline scenarios of Spain, United States and Venezuela are shown in Table 2. We should note that these values are approximations and can be considered mean values. For Venezuela, we observe that the difference between the birth and death rates is large as is found in many Latin American countries. Thus, the total population size is growing quickly. On the other hand, the difference between the birth and death rates for Spain is small and a constant population may be assumed, as in many other European countries.

 

4.2 Effects of Social Security normal retirement age

Social Security systems, whose expenditures are very much determined by the size of the older population, have been facing a increasingly financial stress [1]. One solution that has been proposed (and has been already applied) is an increase in retirement age as well as in pensions benefits for late retirement [23]. First, we simulate the Spain baseline scenario, which is the country with the highest life expectancy (80.9 years) of the countries under consideration. The first 10 years is simulated using the baseline scenario and after that the retirement age is increased 5 years. In order to observe quantitatively the changes on population dynamics, the old dependency ratio is calculated using the proportions of the different classes instead of the population size of each class. Thus, here we use the old dependency ratio (ODR), defined as the ratio of the proportion of retirees to the proportion of workers in regard to the total population [7],[8].

In Figure 2, it can be seen that the worker population, W (t); increases and the old dependency ratio decreases, showing the effectiveness of the social security decision regarding the old dependency ratio. Figures 3 and 4 show the numerical simulations for USA and Venezuela. As in the Spanish case, worker population, W (t); increases and old dependency ratio decreases. Notice in Figures 2, 3 and 4, that steady states are obtained after approximately 150 years, since the Social Security system has a long time scale.

The numerical results regarding the old and new steady states are presented in Table 3 for each country . In addition, the variations in the old dependency ratio are presented. As can be observed in Table 3 the best results correspond to USA, since the old dependency ratio decreases to a very low value of 0.65. However, Venezuela achieves the maximum absolute variation with 0.27. Since USA population has younger population than Spain, an increase in age of retirement produces a low retiree population. In contrast, in Venezuela the retiree population decreases, but still high in relation to working population.

 

4.3 Effects of the life expectancy

In the second half of the twentieth century it has been observed a rise in the maximum and modal age and the median and life expectancy has been increased at a slower pace [25]. Thus, the increase of life expectancy is an important issue of public policy that influence agebased entitlement programs such as Social Security. Most forecasts estimate an increase in life expectancy despite current trends in obesity around the world. Some authors states that the steady rise in life expectancy during the past two centuries may soon come to an end [26].

Here we study the effect that increasing life expectancy has on the Social Security system using linear extrapolation. The numerical simulation is only performed for Spain since in the underlying demographic model (3) the increasing of life expectancy can be only achieved in a simple way only for a constant population, which is a valid assumption for Spain. In order to consider a change of life expectancy in a variable population size model it is necessary to consider a more complex demographic model, for instance as in [27],[28].

The increase of life expectancy is such that for every ten years the life expectancy increases by one year. In order to observe the population dynamics and the old dependency ratio, we simulate the model (3) over a time horizon of 50 years. As before, in Table 4 we present a comparison of steady states when life expectancy is increased linearly at a rate of one year every ten years.

In Figure 5, it can be observed that the retired population, R (t); and old dependency ratio increase in Spain, showing the effect of a higher life expectancy. Note that in this case the life expectancy parameter (1 ⁄ μ) varies with time. As can be observed in Table 4 the old dependency ratio increases with a variation of 3% due to the aging of the Spanish population as was expected.

 

4.4 Effect of starting work age

Here we study the effect of reduction of years of education. It is important to remark that some European countries are reducing education years according to the guidelines of Bologna plan [29]. In order to observe the population dynamics and the old dependency ratio we simulate the model (3) over a time horizon of 250 years. As before, in Table 5 we present a comparison of the steady states when the education is reduced by two years. Notice that for Spain and USA the retirement age is fixed in this study at 65 years old. Then, the parameter value of γ is also increased by two years in order to reach to the retirement age. On the other hand, for Venezuela the retirement is not by age and it is obtained when the worker reach 25 years of work.

As expected in Figure 6, it can be observed that the young or children population proportion C (t) from Spain decreases and the old dependency ratio also decreases. As it can be observed in Table 5 the old dependency ratio variation for Venezuela is low and high for Spain and USA. However, it is important to point out that a Social Security system with fixed time to obtain retirement (Venezuela) does not get a relatively important benefit (regarding ODR) of shorting education years. On the other hand, a Social Security system with retirement by age (Spain and USA) lowers its old dependency ratio.

 

5 Discussion and conclusions

In this paper, we propose a mathematical approach based on dynamical systems to study the effect of the increase in the Social Security normal retirement age on worker and retiree population dynamics. In addition, the model allows the study of the effect of life longevity on the Social Security system dynamics. Furthermore, the model can be used to investigate in a simple way the effect of years of education of different systems (university, high school) on the Social Security system. That this mathematical model is simpler than reality makes it useful in understanding qualitatively some basic facts of the global dynamic behavior of Social Security systems and thus helps in the establishment of sustainable public retirement programs.

By comparing the estimates and simulations of different effects on the retirement models, the dynamics of each population class can be assessed. Thus, we obtain three principal results that are particularly important in considering the effects of pensions and Social Security on retirement. First, the normal retirement age is a public policy that can easily modify the old dependency ratio. Second, longevity affects clearly the Social Security system but is not easy to change because of the socio-cultural issues involved. The last result is that a Social Security system with fixed time to obtain retirement (Venezuela) does not lower the old dependency ratio when education years are reduced, but the old dependency ratio of Europeans countries decreases, since labor force population increases. It is worth mentioning that other issues such as wages or Social Security incentives to keep working were not studied in this paper.

From a practical point of view the model allows the prediction of trends in worker and pensioner populations when different Social Security normal retirement ages are simulated. This implies that the model helps to understand the consequences of different retirements plans with regard to age. These dynamics are important since the decline in old age labor force participation amplifies the problems of financing social security in times of population aging because it implies more recipients and fewer contributors. Numerical simulations of the model can help government economic planners optimize strategies to sustain the pension system and to forecast trends in the Social Security system. Furthermore, these models allow to analyze possible future scenarios as well as to understand better the population dynamics in order to design the optimal features to sustain the Social Security system.

 

Acknowledgements

The authors are grateful to the anonymous reviewers of this journal for providing us with very helpful comments that helped us improve the clarity and the quality of the paper.


 

 

References

[1] A. Okamoto, ''Simulating progressive expenditure taxation in an aging Japan,'' J. Policy Model., vol. 27, no. 3, pp. 309–325, 2005. 34, 43

[2] A. Borsch-Supan, ''A model under siege: A case study of the German retirement insurance system,'' Econ. J., vol. 110, no. 461, pp. 24–45, 2000. 34, 35, 42

[3] —''Incentive effects of social security on labor force participation: evidence in Germany and across Europe,'' J. Public Econ., vol. 78, no. 1-2, pp. 25–49, 2000. 34, 35, 42

[4] F. El-Hamidi, ''Early retirement in the government sector in Egypt: Preferences, determinants, and policy implications,'' J. Dev. Areas, vol. 43, no. 2, pp. 79–110, 2010. 35

[5] M. M. Hamid Faruqee, ''Population aging in Japan: demographic shock and fiscal sustainability,'' JPN. World Econ., vol. 15, no. 2, pp. 185–210, 2003. 35, 42

[6] D. Roseveare, W. Leibfritz, D. Fore, and E. Wurzel, ''Ageing populations, pensions systems and government budgets: simulations for 20 OECD countries,'' OECD Economics Department, Working Paper, vol. 168, 1996. 35

[7] J. F. Jimeno, J. A. Rojas, and S. Puente, ''Modelling the impact of aging on social security expenditures,'' Econ. Model., vol. 25, no. 2, pp. 201–224, 2008. 35, 41, 43, 44

[8] A. Borsch-Supan, A. Heiss, F. Ludwig, and A. Winter, ''Pension reform, capital, markets and rate of return,'' University of Mannheim, manuscript. 35, 41, 44

[9] H. Hock and D. N. Weil, ''On the dynamics of the age structure, dependency, and consumption,'' J. Popul. Econ., vol. 25, no. 3, pp. 1019–1043, 2012. 35, 38

[10] M. Toossi, ''Labor force projections to 2020: a more slowly growing workforce,'' Monthly Lab. Rev., vol. 135, pp. 43–64, 2012. 36

[11] J. D. Murray, Mathematical Biology I. An Introduction. Springer, Berlin, 2002. 37

[12] P. Manfredi and L. Fanti, ''Demography in macroeconomic models: when labour supply matters for economic cycles,'' Metroeconomica, vol. 57, no. 4, pp. 536–563, 2006. 37

[13] G. Feichtinger and G. Sorger, ''Self-generated fertility waves in a non-linear continuous overlapping generations model,'' J. Popul. Econ., vol. 2, no. 4, pp. 267–280, 1989. 37

[14] D. F. Aranda, R. J. Villanueva, A. J. Arenas, and G. C. G. Parra, ''Mathematical modeling of toxoplasmosis disease in varying size populations,'' Comput. Math. Appl., vol. 56, no. 3, pp. 690–696, 2008. 39

[15] SSA, ''Social Security. The Official Website of the U.S. Social Security Administration,'' Available from: http://www.ssa.gov. 42, 43

[16] OECD, ''Ageing and employment policies, Synthesis Report, OECD, Paris (2005),'' Available from:http://www.oecdbookshop.org, 2005. 42, 43

[17] INE, ''Instituto Nacional de Estadística,'' Available from: http://www.ocei.gov.ve/, 2010. 42

[18] D. E. Bloom, D. Canning, R. K. Mansfield, and M. Moore, ''Demographic change, social security systems, and savings,'' J. Monetary. Econ., vol. 54, no. 1, pp. 92–114, 2007. 42

[19] A. Ang and A. Maddaloni, Do Demographic changes Affect Risk Premiums? Evidence From International Data. Cambridge,MA: National Bureau of Economic Research Working Paper, 2003, vol. 9677. 42

[20] D. E. Bloom, D. Canning, R. K. Mansfield, and M. Moore, ''Demographic change, social security systems, and savings,'' J. Monetary. Econ., vol. 54, no. 1, pp. 92–114, 2007. 42

[21] M. Bouzahzah, D. D. la Croix, and F. Docquier, ''Policy reforms and growth in computable OLG economies,'' J. Econ. Dyn. Control, vol. 26, no. 12, pp. 2093–2113, 2002. 42

[22] H. S. Buscher, H. Buslei, K. Goggelmann, H. Koschel, T. F. N. Schmidt, V. Steiner, and P. Winker, ''Empirical macro models under test. A comparative simulation study of the employment effects of a revenue neutral cut in social security contributions,'' Econ. Model., vol. 18, no. 3, pp. 455–474, 2001. 43

[23] R. Beetsma, L. Bettendorf, and P. Broer, ''The budgeting and economic consequences of ageing in the Netherlands,'' Econ. Model., vol. 20, no. 5, pp. 987–1013, 2003. 43

[24] L. J. Bettendorf and B. J. Heijdra, ''Population ageing and pension reform in a small open economy with non-traded goods,'' J. Econ. Dyn. Control, vol. 30, no. 12, pp. 2389–2424, 2006. 43

[25] V. Canudas-Romo, ''Three measures of longevity: Time trends and record values,'' Demography, vol. 47, pp. 299–312, 2010, referenced in. 46

[26] S. J. Olshansky, D. J. Passaro, R. C. Hershow, J. Layden, B. A. Carnes, J. Brody, L. Hayflick, R. N. Butler, D. B. Allison, and D. S. Ludwig, ''A potential decline in life expectancy in the United States in the 21st century,'' N. Engl. J. Med., vol. 352, no. 11, pp. 1138–1145, 2005. 46

[27] J. C. Mico, D. Soler, , and A. Caselles, ''Age-structured human population dynamics,'' J. Math. Sociol., vol. 30, no. 1, pp. 1–31, 2006. 47

[28] N. Keyfitz, Applied Mathematical Demography. Springer, 2005. 47

[29] P. Hensen, ''The ''Bologna process'' in European higher education: Impact of bachelor's and master's degrees on german medical education,'' Teach. Learn. Med., vol. 22, no. 2, pp. 142–147, 2010. 48