ARTÍCULO ORIGINAL

doi: http://dx.doi.org/10.17230/ingciencia.10.19.8

 

Aplicación de un modelo de balance poblacional a un molino de bolas en la industria del cemento

 

Application of a Model of Balance Population in a Ball Mill in the Cement Industry

 

 

Ismael Rivera1, Freddy Quintero2, Oswaldo Bustamante3 y G. Loaiza4

1 Estudiante de Doctorado en Ingeniería de Materiales, ierivera@unal.edu.co, Universidad Nacional de Colombia, Medellín, Colombia.

2 Gerente de procesos productivos, fquintero@argos.com.co, Medellín, Colombia.

3 Profesor, mobustam@unal.edu.co, universidad nacional de Colombia, Medellín, Colombia.

4 Ph. D. en Ciencias Matemáticas, gloaiza@eafit.edu.co, universidad EAFIT, Medellín, Colombia.

 

Recepción:09-09-2013, Aceptación:01-16-2014

Disponible en línea: 30-01-2014

MSC: 35L65

 


Resumen

En este artículo se estudia un molino rotatorio continuo para la industria del cemento. Precisamente, se emplea un modelo de balance poblacional, utilizando como ecuación constitutiva una ley de desgaste constante, con el objetivo de obtener: la distribución másica de bolas en el molino, el consumo total de acero de las bolas y el flujo de entrada de bolas para la recarga del molino en el estado estacionario. La base de datos se obtuvo aplicando la prueba de bola marcada a escala industrial, en un molino de la compañía Argos S.A.

Palabras clave: Leyes de conservación, prueba de bola marcada; ley de desgaste; cuerpos moledores; molinos de bolas.


Abstract

This article studies a continuous rotary mill for the cement industry. Specifically, a model is used population balance, where a law constant wear is the constitutive equation, in order to obtain: the distribution mass of the ball in mill, the total consumption of steel of the balls and the inlet flow of balls for the recharge in steady state.The database was obtained applying the Ball test marked industrial scale in a rotatory mill of the Argos SA company.

Key words: Conservation laws; test marked ball; wear law; grinding media; mill balls


 

 

1 Introducción

Debido al desgaste entre medios moledores y otros factores tales como el revestimiento interno de los molinos, el tipo de mineral que se muele, las carácteristicas dimensionales del molino entre otros, la molienda es uno de los procesos en el beneficio de minerales que más consume energía y, claramente, los efectos de fricción juegan un papel importante. Rose y Sullivan [1] son los primeros en estudiar trayectorias para una bola como cuerpo moledor teniendo en cuenta dichos efectos. El concepto de superficie de equilibrio sirvió para calcular las trayectorias que seguían los cuerpos moledores mediante un modelo propuesto por M.S. Powell y G.N. Nurick [2]; avance importante porque sólo hasta la mitad de la década de los 90 los cálculos se limitaban a una sola bola. Todas estas investigaciones tienen un punto de vista puramente mecánico, por ejemplo, son útiles para predecir el desgaste y la distribución de tamaños de mineral al interior del molino. Sin embargo, en ninguno de ellos la recarga de bolas aparece como ítem de interés, lo que constituye un punto de vista no muy conveniente para la ingeniería del proceso de molienda. Bond [3] desarrolló ecuaciones que permitieron seleccionar los tamaños de bola al inicio de la operación, relacionando los tamaños de bola y partícula, pero las ecuaciones poco informan sobre la recarga a través del tiempo. Así, se hizo necesario considerar otro tipo de trabajos que consideren las leyes de desgaste de cada medio moledor y permitan optimizar el consumo energético por medio de ecuaciones de balance poblacional. Desde el punto de vista de ecuaciones constitutivas de cinética de desgaste de bolas de acero, el trabajo que constituye la punta del conocimiento es el realizado por Menacho y Concha [4],[5]; quienes obtuvieron un modelo fenomenológico de desgaste en molinos rotatorios a partir de una ecuación de balance poblacional. Con sus resultados fue posible describir la distribución de cuerpos moledores en molinos continuos, operando en condiciones de estado transitorio o estacionario, y desarrollar un esquema de optimización del perfil de tamaño de cuerpos moledores, tendiendo a maximizar la eficiencia de los circuitos industriales de molienda-clasificación. Más adelante Raimund y Bürger [6], mejoraron el modelo propuesto por Menacho y Concha, obteniendo únicamente soluciones positivas en el modelo, a diferencia del caso general del modelo propuesto por Menacho y Concha que arrojaba algunas soluciones negativas. A pesar de la generalización, por tener únicamente soluciones positivas en el estado estacionario, el trabajo de Raimund y Bürger no afectó las aplicaciones del modelo de Menacho y Concha en la molienda. Los modelos de balance poblacional fueron propuestos por ingenieros químicos en el artículo publicado por Hulburt y Katz [7]. Actualmente estos modelos son ampliamente usados para describir y controlar un gran rango de procesos de partículas incluyendo la molienda, cristalización, granulación, fluctuación, combustión y polimeración [8]. En general, estos modelos se refieren a sistemas de partículas que incluyen tanto espacios de coordenadas internos como externos, estas partículas forman una población donde interactúan unas con las otras y algunos de los fenómenos que ocurren entre ellas son la colisión, fractura y procesos de aglomeración. Los modelos de balance poblacional están gobernados por ecuaciones integro-diferenciales que involucran funciones de distribución para las partículas de la población y tiene varios campos de aplicación [8],[9]. Una referencia estándar en teoría, simulación y aplicaciones de estos modelos se pueden encontrar en el libro de Ramkrishna [10], mientras que una revisión del estado del arte con técnicas numéricas y una amplia lista de referencias es ofrecida en el artículo de Attarakih, Bart y Faquir [11].

Como precedente del presente trabajo, se tiene el artículo titulado ''Análisis del desgaste de medios moledores de acero en un molino de bolas de la compañía Argos S.A'' [12]. Dicho trabajo es dedicado a establecer experimentalmente que, en la industria del cemento, los cuerpos moledores de acero para molinos rotatorios obedecen a una ley de desgaste constante. En el presente artículo se continúa el estudio; aplicando un modelo de balance poblacional al desgaste de bolas de acero en molinos rotatorios [13] y asumiendo una de desgaste constante como la propuesta. Precisamente, se usan algunas de las ecuaciones propuestas por Menacho y Concha [4],[5] para la industria del cobre, reconsideradas para la industria del cemento, con el fin de obtener: la distribución másica de bolas en el molino, el consumo total de acero de las bolas y el flujo de entrada de bolas para la recarga del molino en el estado estacionario. La base de datos es retomada de [12]; la cual se obtuvo aplicando la prueba de bola marcada a escala industrial, en un molino de la planta Valle de la compañía Argos S.A.

 

2 Resultados experimentales

En esta sección se presenta un resultado tomado de [12], el cual establece experimentalmente que en la industria del cemento, los cuerpos moledores de acero para molinos rotatorios obedecen a una ley de desgaste constante.

El trabajo experimental se efectuó en la planta Yumbo propiedad de Cementos Argos S.A. Se aplicó la prueba de bola marcada a dos tipos de bolas diferentes, tomando 196 bolas con diámetro de 90mm para ambas especificaciones. Las bolas fueron suministradas por un mismo proveedor (Vega Industries), con las composiciones químicas que se presentan en la Tabla 1 tomada de [12].

Las 196 bolas fueron marcadas con dos huecos de 13mm de profundidad, formando entre los dos huecos 180º para el tipo de bola I y 90º para el tipo de bola II fueron introducidas dentro de un molino industrial con las especificaciones que se muetran en la Tabla 2 tomada de [12].

Se realizó seguimiento durante 5368 horas con muestreos entre 500- 600 horas, en cada parada del molino eran sacadas 12 bolas y se medía su respectivo desgaste con un pie de rey electrónico. Posteriormente, se calculaba la media de estas doce muestras, los resultados del desgaste del diámetro se encuentran en la Tabla 3 tomada de [12].

Realizando ajuste por mínimos cuadrados de los datos de la Tabla 3 para el tipo de bola I y II, se obtienen respectivamente las ecuacines

Los respectivos coeficientes de determinación son 0, 9886 y 0, 9974, los cuales son cercanos a uno y por tanto se tiene en ambos casos un buen ajuste entre los datos experimentales y las rectas ajustadas; tal como puede apreciarse en las gráficas que aparecen en [12]. En consecuencia, las respectivas leyes de desgaste son dadas por las corespondiente pendientes g (d) = α = −0, 0045 y g (d) = α = −0, 0040, respectivamente.

 

3 Resultados y discusión

En esta sección se presentan las consecuencias de asumir una ley de desgaste constante para un modelo de balance poblacional a un molino de bolas en la industria del cemento. En la subsección 3.1 se reconsideran el modelo de balance poblacional del desgaste de medios moledores, teniendo en cuenta la ley de desgaste constante propia de la industria de cemento. En se resto de la sección se obtiene: la distribución másica de bolas en el molino, el consumo total de acero de las bolas y el flujo de entrada de bolas para la recarga del molino en el estado estacionario.

 

3.1 Balance poblacional del desgaste de medios moledores

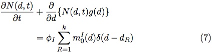
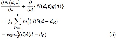
El modelo adoptado por Menacho y Concha para desgaste de bolas en molinos rotatorios [4],[5] es:

donde: N(d, t) d (d) es el número de bolas con tamaño entre d y d + d (d) en la carga de bolas en el instante t, ØI (d, t) d (d) y Ø0(d, t) d (d) son los números de bolas con tamaño entre d y d + d (d) que respectivamente entran y salen de la carga de bolas por unidad de tiempo y g (d) es la velocidad de desgaste de una bola de diámetro d.

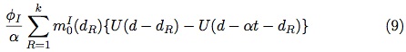
Según lo anterior, el flujo ØI (d, t) de entrada de bolas es:

donde ØI es el número total de bolas en la entrada por unidad de tiempo, es la frecuencia numérica relativa de tamaño de bolas en la entrada y δ es la función Delta Dirac definida por:

y los dR son los tamaños de las bolas alimentadas al molino. El flujo de descarga de bolas es aproximadamente de un solo tamaño d0, luego el término Ø0(d, t) puede también expresarse a través de una función Delta Dirac en la forma:

donde Ø0 (t) es el flujo numérico de bolas a la salida y es la frecuencia numérica relativa, que en este caso es 1 para d = d0

La forma explícita del modelo de desgaste de bolas es entonces:

Sujeta a la condición inicial y de contorno:

Al aplicar la condición de contorno, la ecuación resultante es:

Acorde con el resultado expuesto en la sección 2, es decir, asumiendo una ley de desgaste constante g (d) = α, la ecuación diferencial toma la forma

Cuya solución por el método de las características es

En el estado estacionario

 

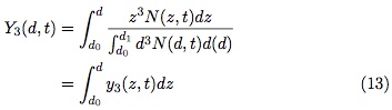
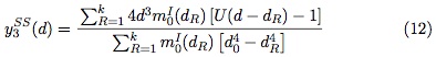
3.2 Distribución másica y frecuencia másica de bolas

La función frecuencia másica y3 (d, t) de tamaño de bolas, se define como:

En el estado estacionario

Y la función distribución másica Y3(d, t) es definida por:

Integrando todos los términos y para g (d) = α en el estado estacionario se tiene:

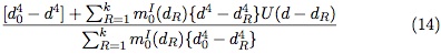
Para una recarga monotamaño con β = 0, d0 = 0 tenemos:

Como puede evidenciarse la distribución másica es independiente de la ley de desgaste. La Figura 1 muestra la simulación del perfil de tamaño de bolas dentro del molino según la distribución másica calculada y la distribución másica experimental, encontrando una diferencia muy pequeña entre las dos (Tabla 4).

 

3.3 Flujo de entrada de bolas

En la práctica industrial se fija el nivel de llenado de bolas en el estado estacionario. Luego, considerando la ley de desgaste y tamaño de bolas de entrada y salida, se estima el flujo de bolas a reponer diariamente. Esta forma de operar permite calcular el flujo total de entrada de bolas a partir de la ecuación:

Donde es la masa de bolas en el interior del molino en el estado estacionario. Introduciendo (10) en (15) e integrando:

De donde:

Puesto que la ecuación (10) es válida para todo β, la ecuación (17) también es aplicable para todo β. Para recarga con bolas de 90mm Si β = 0, d0 = 0, α = −0, 0040, la densidad de una bola ρ = 7, 8 ton / m3 y de la Tabla 2 la masa total de carga de bolas = 48, 625 ton se tiene que el flujo de entrada de bolas para recarga del molino en estado estacionario es:

Ø1 = 2, 98 bolas/hr

 

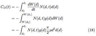
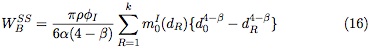
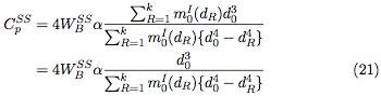
3.4 Consumo de acero por desgaste de bolas

El consumo de acero por desgaste de bolas se define por:

En el estado estacionario para g (d) = α se tiene

 

3.5 Consumo de acero por purga de bolas

En el estado estacionario para g (d) = α se tiene

Por lo tanto el consumo total de acero es

La simulación del consumo total de acero en función del diámetro de descarga se muestra en la Figura 2 con α = −0, 0040, = 48, 625 y reposición 100% bolas de 90mm

 

4 Conclusiones

Un modelo de balance poblacional para un molino de bolas en la industria del cemento puede ser usado para planear y controlar la operación de los molinos en relación a la recarga de cuerpos moledores y consumos de acero. Además, el modelo se puede usar en combinación con un simulador de la molienda para optimizar la eficiencia energética y la productividad. Particularmente, con la aplicación del modelo desarrollado, la planta Valle de cementos Argos podrá predecir las necesidades de cuerpos moledores para garantizar un inventario adecuado.

Considerando una ley de desgaste constante, cuyo análisis experimental aparece en [12], en este trabajo se obtiene en forma explícita: la distribución másica de bolas en el molino, el consumo total de acero de las bolas y el flujo de entrada de bolas para la recarga del molino en el estado estacionario.

 

Agradecimientos

Los autores agradecemos a la compañía ARGOS S.A, al Centro de Investigación en Metalurgia Extractiva (CIMEX) de la Universidad Nacional de Colombia, sede Medellín y a la Universidad EAFIT por permitir desarrollar este trabajo.


 

 

Referencias

[1] H. Rose and R. Sullivan, Treatise on internal mechanics of ball, tube, and rod mills. London: Constable and Company, 1985. 164

[2] M. S. Powell and G. N. Nurick, ''A study of charge motion in rotary mills Part 1 -extension of the theory,'' Minerals Engineering, vol. 9, no. 2, pp. 259–268, 1996. [Online]. Available: http://www.sciencedirect.com/science/article/pii/0892687596000088 164

[3] F. Bond, New Equation for Calculating the Work Index from A-C closed Circuit Ball Mill Grindability Test. Allis Chalmer Publication, 1960. 164

[4] J. M. Menacho and F. J. Concha, ''Mathematical model of ball wear in grinding mills II. General solution,'' Powder Technology, vol. 52, no. 3, pp. 267–277, 1987. [Online]. Available: http://www.sciencedirect.com/science/article/pii/003259108780116X 165, 166, 169

[5] J. Menacho and F. Concha, ''Mathematical model of ball wear in grinding mills I. Zero-order wear rate,'' Powder Technology, vol. 47, no. 1, pp. 87–96, 1986. [Online]. Available: http://www.sciencedirect.com/science/article/pii/0032591086800134 165, 166, 169

[6] R. Bürger, K. Karlsen, and J. Towers, ''Closed-form and finite difference solutions to a population balance model of grinding mills,'' Journal of Engineering Mathematics, vol. 51, no. 2, pp. 165–195, 2005. [Online]. Available: http://dx.doi.org/10.1007/s10665-004-1054-4 165

[7] H. M. Hulburt and S. Katz, ''Some problems in particle technology: A statistical mechanical formulation,'' Chemical Engineering Science, vol. 19, no. 8, pp. 555–574, 1964. [Online]. Available: http://www.sciencedirect.com/science/article/pii/0009250964850478 165

[8] D. Verkoeijen, G. A. Pouw, G. M. H. Meesters, and B. Scarlett, ''Population balances for particulate processesa volume approach,'' Chemical Engineering Science, vol. 57, no. 12, pp. 2287–2303, 2002. [Online]. Available: http://www.sciencedirect.com/science/article/pii/S0009250902001185 165

[9] A. D. Randolph and M. A. Larson, ''Transient and steady state size distributions in continuous mixed suspension crystallizers,'' AIChE Journal, vol. 8, no. 5, pp. 639–645, 1962. [Online]. Available: http://dx.doi.org/10.1002/aic.690080515 165

[10] D. Ramkrishna, Population Balances - Theories and Applications to Particulate Systems in Engineering. San Diego: Academic Press Inc., 2000. 165

[11] M. M. Attarakih, H.-J. Bart, and N. M. Faqir, ''Numerical solution of the spatially distributed population balance equation describing the hydrodynamics of interacting liquid-liquid dispersions,'' Chemical Engineering Science, vol. 59, no. 12, pp. 2567–2592, 2004. [Online]. Available: http://www.sciencedirect.com/science/article/pii/S0009250904001484 165

[12] I. Rivera, F. Quintero, and O. Bustamante, ''Análisis del desgaste de medios moledores de acero en un molino de bolas de la compañía Argos S.A,'' Prospectiva, vol. 10, no. 1, pp. 108–112, 2012. [Online]. Available: http://dialnet.unirioja.es/servlet/articulo?codigo=4212405 165, 166, 167, 168, 176

[13] D. W. Green, R. H. Perry, and M. J, Perrys Chemical Engineers Handbook, 7th ed. New York: McGraw-Hill, 2008. 166