ARTÍCULO ORIGINAL

doi: http://dx.doi.org/10.17230/ingciencia.10.20.10

 

Una estrategia de participación para una planta de generación en el mercado eléctrico colombiano

 

A Strategy for a Generator to Participate in the Colombian Electricity Market

 

 

José David Arias Roche 1 y Harold Salazar Isaza 2

1 MSc., avidar@utp.edu.co, Investigador, Universidad Tecnológica de Pereira, Pereira, Colombia.

2 Ph.D., hsi@utp.edu.co, Profesor Ingeniería Eléctrica, Universidad Tecnológica de Pereira, Pereira, Colombia.

 

Recepción: 10-02-2014, Aceptación: 17-06-2014 Disponible en línea: 01-07-2014

MSC:46N10, 91G10, 68T05 PACS:89.65.Gh, 07.05.Mh

 


Resumen

Este trabajo presenta una estrategia de participación y mitigación de riesgo para una planta de generación de energía eléctrica en el mercado de energía mayorista en Colombia. La estrategia es usada para optimizar la participación de la planta en el mercado de largo plazo (contratos bilaterales) y mercado spot; igualmente se utiliza para mitigar el riesgo de exposición en el mercado spot empleando derivados financieros. Resultados numéricos indican que la metodología propuesta es más eficiente que los modelos clásicos de optimización toda vez que esta propuesta considera la volatilidad intrínseca de los mercados de largo plazo y mercado spot para su formulación.

Palabras clave: predicción de precios; redes neuronales; portafolio de optimización; modelo de Markowitz; derivados energéticos.


Abstract

This paper presents a strategy for a generator to participate and to mitigate the risk effect of price volatility in the Colombian wholesale electricity market. The strategy is used to optimize the generator participation in the long-term market (bilateral market) and the spot market. Additionally, the strategy mitigates the risk of price exposure in the sport market using electricity forward contracts. Numerical results shows that the proposed methodology is more efficient than classical optimization models since this proposal considers the intrinsic price volatility of the long-term and spot markets.

Key words: price forecasting; neural networks; portfolio optimization; Markowitz model; electricity derivatives.


 

 

1 Introducción

La volatilidad del precio de la energía eléctrica en el mercado spot Colombiano expone a las plantas de generación y comercializadores del país a un riesgo financiero si estos carecen de una adecuada estrategia de cobertura o mitigación de riesgo. Para esto, el mercado cuenta con contratos de largo plazo (o contratos bilaterales para el caso colombiano) y recientemente con un mercado de derivados energéticos, denominado Derivex.

Si bien una planta de generación intenta comprometer toda su disponibilidad a través de contratos bilaterales y con esto mitigar el riesgo del mercado spot, la incertidumbre introducida por la demanda diaria, las condiciones del sistema eléctrico (contingencias, mantenimiento, etc.), las estrategias de participación de otros agentes y sus propias estrategias de participación exponen parte de la disponibilidad del generador a la volatilidad del precio del mercado spot. Es necesario entonces implementar estrategias que optimicen la participación del generador en las opciones que ofrece el mercado eléctrico.

Este trabajo implementa una estrategia de participación y mitigación de riesgo para una planta de generación en el Mercado de Energía Mayorista (MEM) en Colombia. En términos generales, la estrategia incluye una predicción de precio mensual, un proceso de optimización basado en la predicción y una cobertura empleando derivados de electricidad. La predicción y el portafolio buscan diversificar la participación del generador entre el mercado de largo plazo y el mercado spot de tal forma que se maximicen las utilidades y se minimice el riesgo de participación en el mercado spot. La cobertura empleando el mercado de derivados financieros (utilizando productos del Derivex) es necesaria toda vez que cualquier herramienta de predicción presenta errores de estimación los cuales se traducen en una exposición que puede ser mitigada con estos derivados.

La estrategia de cobertura propuesta en este trabajo puede ser implementada por agentes generadores con plantas menores que tengan una capacidad efectiva mayor o igual a 10 MW y menor a 20 MW y las cuales deseen participar en el MEM según las condiciones establecidas por las resoluciones CREG 039 del 2001 y CREG 025 de 1995. Igualmente, la estrategia puede ser utilizada por cogeneradores que deseen vender sus excedentes de energía eléctrica y participar en el despacho central del MEM de acuerdo con la resolución CREG 039 de 2001. Finalmente, puede ser aplicada por todas aquellas plantas o unidades de generación de capacidad mayor o igual a 20 MW que son despachadas centralmente en el MEM de acuerdo a sus ofertas de precio y declaración de disponibilidad.

Los resultados numéricos muestran una estrategia eficiente en la construcción del portafolio y en la cobertura, indicando que la participación del generador en el mercado spot se puede cubrir utilizando futuros energéticos. Por último, este artículo está organizado de la siguiente manera: la sección 2 muestra el estado del arte, en la sección 3 se encuentra el desarrollo de la estrategia de participación, resultados numéricos y conclusiones corresponden a las secciones 4 y 5 respectivamente.

 

2 Estado del arte

La estrategia de participación brevemente descrita en la introducción y la cual se detalla en la sección 3 está compuesta por tres elementos: 1) una predicción de precio mensual, 2) la construcción de un portafolio basado en predicción y 3) una cobertura empleando un instrumento financiero. La revisión del estado del arte, por consiguiente, será presentada en ese mismo orden y cubriendo cada uno de esos elementos de manera independiente.

La predicción de precio de electricidad del corto plazo es un área de amplio estudio. Para este propósito, se pueden emplear diversos modelos que van desde modelos paramétricos (ARIMA, GARCH, etc.) hasta modelos no paramétricos (redes neuronales, máquinas de soporte vectorial, etc.). La literatura es extensa en este sentido y los resultados reportados son igualmente diversos. Para los propósitos de este trabajo, se destaca el enfoque híbrido reportado en [1] en donde se realiza una predicción de precios horarios empleando un modelo ARIMA junto con redes neuronales. Así mismo, [2] y [3] realizan una predicción de precios horarios exclusivamente con redes neuronales, mostrando buenos resultados de predicción. En [4], los autores reportan algunas razones por las cuales es difícil obtener buenos resultados en la predicción de precios de electricidad. De estos trabajos se concluye que si bien es una temática que ha sido ampliamente estudiada, las particularidades de la formación de precios de la electricidad (demanda inelástica, efectos del sistema de transmisión, etc.) hacen de la estimación una difícil tarea, aunque se destaca el hecho de mostrar cómo las redes neuronales por lo general son buenos estimadores de precios.

Por otro lado, la construcción de portafolio para el sector eléctrico ha sido un tema de amplio interés especialmente en aquellos países cuyos mercados eléctricos ofrecen distintas opciones de participación para los generadores (mercado de energía, de capacidad, de servicios complementarios, etc.). Los trabajos en esta área parten de diversos modelos los cuales corresponden a distintas adaptaciones del modelo de Markowitz. Para los propósitos de este trabajo, se destaca [5], [6] y [7] en donde se optimiza un portafolio utilizando la predicción de precio de los diferentes componentes del portafolio. En [8], a diferencia de los trabajos anteriores, se minimiza el error de predicción como una etapa previa antes de formular el portafolio. De estos trabajos se destaca el hecho de utilizar un instrumento de predicción de retorno en la formulación del portafolio. En [9], se muestra cómo la función objetivo de un portafolio aplicado a un mercado de eléctrico puede considerar el retorno y el riesgo del mismo. En [10], se establece un portafolio de mediano plazo para una compañía de generación en donde se incorporan los costos de generación y tasas de indisponibilidad del generador. Finalmente, en [11] y [12] se establece una frontera eficiente la cual emplea una medida de riesgo adaptada a las condiciones particulares de diferentes mercados eléctricos.

La cobertura en los mercados eléctricos igualmente ha sido un tema de amplio interés. En [13], se analiza la diferencia entre un mercado financiero y un mercado de electricidad al igual que la importancia de una adecuada gestión del riesgo en ambos mercados. En [14], se muestra cómo emplear estrategias de cobertura directa y cruzada empleando futuros de electricidad. Los autores hacen una comparación de las estrategias de cobertura en cuatro mercados de futuros de electricidad disponibles en norteamericana. Un enfoque similar es presentado en [15]; en el cual se realiza una cobertura cruzada y se cuantifica el riesgo utilizando el VaR y el CVaR, de hecho, el enfoque de este trabajo es la base de [16] en donde se aplica igual metodología al contexto del mercado eléctrico colombiano. Finalmente, en [17] se realiza una extensa descripción de diferentes conceptos y herramientas para la gestión de riesgo financiero aplicado a los actuales mercados mayoristas de electricidad.

 

3 Modelo conceptual

La estrategia de participación y mitigación de riesgo parten de una predicción del retorno esperado de los dos mercados disponibles para las plantas de generación en el país, mercado de largo plazo o de contratos bilaterales y el mercado spot. Estos retornos son estimados a partir de las series históricas de los precios en ambos mercados. Aunque el precio de un contrato bilateral es una negociación privada entre un generador y un comercializador, el generador puede conocer las condiciones de ese mercado mirando el comportamiento histórico de la serie de precios, igual para el mercado spot en donde se puede establecer una tendencia de comportamiento mirando la serie histórica. Una vez estimados los retornos con una herramienta de predicción (detalles en la sección 3.1), estos se utilizan para formular un portafolio el cual determine la participación del generador en ambos mercados de tal forma que se maximicen los retornos y se minimice el riesgo de exposición (detalles en la sección 3.2), finalmente, la porción (o capacidad) que el generador destina al mercado spot como resultado del portafolio es cubierta con un mercado de futuros (detalles en la sección 3.3). Note que la estrategia de participación planteada en este trabajo optimiza la participación del generador en los dos mercados y mitiga el riesgo de exposición en el mercado spot.

3.1 Herramienta de predicción

Para el pronóstico del precio de contratos y precio en bolsa del mercado spot se propone una red neuronal multicapa cuya arquitectura se muestra en la Figura 1, la cual sigue las convenciones de presentación de [18] y [19]. La Red Neuronal (RN) pertenece a los métodos de estimación no paramétricos y es capaz de establecer relaciones funcionales entre un conjunto de entradas y salidas cuya función es desconocida, en otras palabras, establece un mapeo (por lo general no lineal y desconocido) entre las entradas y salidas. En la Figura 1, las entradas a la red, denotada como p corresponden a un vector columna que contiene datos de la serie de precios de contrato o precio en bolsa. Por otro lado, W representa la matriz de pesos o variables ajustables a través de un proceso de entrenamiento y b representa el vector de tendencia o bias el cual también es ajustable en el proceso de entrenamiento. La suma del producto de p x W + b es evaluado por la función f (llamada función de transferencia) cuyo valor corresponde al precio promedio mensual estimado del contrato o precio promedio mensual estimado del mercado spot para el siguiente periodo.

En necesario mencionar dos aspectos relacionados con esta herramienta de pronóstico. Primero, las redes neuronales necesitan un proceso de entrenamiento o ajuste de los valores de la matriz de pesos W y del vector de tendencia b de tal forma que se logre una buena estimación. La literatura es amplia en tal sentido pues existen diversos algoritmos de entrenamiento, en este trabajo se utiliza el algoritmo de propagación inversa el cual consiste en ajustar los pesos de la red de tal forma que se minimice el error medio cuadrático entre la salida de la red y la salida esperada, las referencias [18] y [19] detallan el método. Segundo, la predicción de la red se basa en datos históricos de precios de contratos o precios de bolsa, es decir, dada una serie de datos históricos, por ejemplo, Pt-2, Pt-1, y Pt la red estima el siguiente valor, Pt+1. Con esto, la red sigue la serie histórica ignorando los fundamentales de formación del precio.

3.2 Portafolio basado en la predicción

El modelo de un portafolio basado en predicción se puede establecer a partir del modelo clásico de Markowitz el cual ha sido ampliamente utilizado en ingeniería financiera [20] y [21]. El modelo clásico parte del retorno de los activos que componen el portafolio así como la varianza y la covarianza de los mismos. Esos valores son calculados a partir de estimadores estadísticos clásicos aplicados a los valores históricos de los retornos.

Este trabajo adapta ese modelo, para esto, en vez de calcular los retornos a través de sus históricos, la herramienta de predicción (RN) se emplea con el fin de estimar el siguiente valor de la serie y con este valor se estima un retorno; la varianza es calculada utilizando el error de predicción que arroja el estimador sobre sus valores históricos y la covarianza no es considerada toda vez que se asume que la estimación de una RN (por ejemplo para el mercado de contratos bilaterales) no afecta la estimación que realiza otra RN (por ejemplo para el mercado spot). Enfoques similares a este modelo se encuentran en [5], [6] y [7].

La formulación matemática del portafolio basado en la predicción es la siguiente. Considere que la herramienta de predicción (RN) estima el precio promedio mensual de los contratos bilaterales o el precio promedio mensual del mercado spot para el siguiente periodo (periodo t + 1), denote este valor como i;t+1, en donde i representa uno de los mercados disponibles de participación del generador, dos para el caso colombiano. El retorno estimado para el siguiente periodo está dado por la ecuación (1) en donde i;t+1 es el retorno estimado y Pi,t denota el precio actual del mercado i, note que variables con circunflejo denotan estimados mientras que variables sin circunflejo son variables conocidas.

La ''varianza'' del mercado i corresponde al error de predicción y está dado por la ecuación (2) en donde i,t+1 denota ''varianza'', N es el número de datos históricos disponibles de la serie de tiempo, Ri,j corresponde al retorno histórico en el mercado i en el periodo j y el i,j es el retorno estimado sobre ese mismo activo para el mismo periodo dado por la RN. Dos cosas valen la pena mencionar relacionadas con la ecuación (2), a saber, 1) esta ecuación no es propiamente el cálculo de la varianza de una serie de datos históricos pues la varianza estadística se calcula con respecto al promedio, se conserva el nombre para facilitar la comprensión del modelo Markowitz basado en predicción y 2) note que esta ecuación es el error medio cuadrático (mean square error) de los errores de estimación de la RN sobre los retornos de la serie de tiempo.

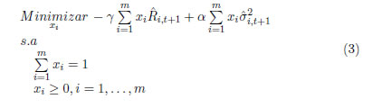
Con lo anterior, el portafolio de optimización por predicción está dado por (3) en donde xi denota las variables de decisión del problema las cuales corresponden al porcentaje de capacidad que el generador destina a cada una de las alternativas disponibles, para este trabajo, las variables de decisión se reducen a dos (m = 2) pues se desea determinar la capacidad a ser destinada para el siguiente periodo entre el mercado de largo plazo y el mercado spot.

El problema anterior es un problema cuya función objetivo maximiza el retorno basado en predicción y se minimiza el error de tal predicción. Los parámetros γ y α son ponderadores para determinar la aversión al riesgo del generador. La primera restricción indica que toda la capacidad del generador será utilizada en su totalidad por las alternativas disponibles (contratos bilaterales y bolsa) y la restricción de no negatividad significa que ''operaciones en corto'' no son disponibles por el generador o, contextualizando el problema, que no se permite que el generador compre energía para posteriormente ser revendida en bolsa o por contratos. Finalmente, observe que es posible que el modelo anterior establezca cierta capacidad la cual será destinada al mercado spot para el siguiente periodo. Esta capacidad está expuesta a la volatilidad del precio de mercado spot, razón por la cual se implementa una estrategia adicional de cobertura empleando un derivado de electricidad.

3.3 Estrategia de cobertura para el mercado spot

Este trabajo muestra la forma de establecer una cobertura utilizando contratos de futuros de energía lo cual consiste básicamente en fijar el precio de venta de la energía del generador en el mercado spot independiente de la volatilidad intrínseca de ese mercado. Para esto, considere el flujo de caja o liquidación financiera en el instante t (denotado como Ft) y el cual es indicado en la ecuación (4).

En (4), ES,T es la energía vendida en el mercado spot durante un intervalo de tiempo T, PS,T es el precio con el cual se liquida la energía vendida en ese mercado durante igual intervalo de tiempo, NF corresponde al número de contratos (futuros) adquiridos por el generador para mitigar la volatilidad del mercado spot y finalmente PF,t-1 y PF,t son los precios de los futuros en los días t - k y t respectivamente. Varias observaciones respecto a esta ecuación: 1) la ecuación asume que en el día k el generador vende el derivado y este es liquidado en el día t, 2) el periodo de tiempo o días transcurridos entre el día k y t corresponde al intervalo de tiempo T, 3) para la propuesta de mitigación presentada en este trabajo, la ecuación (4) se aplica en el día de maduración del futuro y 4) el número de contratos esta dado en unidades de energía (MWh). Note que el primer término de (4) corresponde a la liquidación por venta de energía en el mercado spot mientras que el segundo es la liquidación financiera por derivados.

El objetivo de la cobertura consiste en determinar el número de contratos NF de tal forma que el generador pueda fijar un precio de venta de su energía en el mercado spot con el precio que conoce del mercado de futuros, para esto, asuma que la liquidación en (5) es equivalente al precio de venta esperado durante el periodo T (denotado como PE,T ) multiplicado por la energía vendida en ese mercado, matemáticamente:

Reorganizando la ecuación anterior se tiene:

En donde b ≡ NF/Es;T . Para determinar el valor de b es preciso anotar que los precios PS,T y PF,t del lado derecho de la igualdad son variables aleatorias en el instante de compra del futuro, es decir, el día k. Dos alternativas son usadas en la literatura para estimar el valor de b: 1) para una cobertura cruzada se emplea el principio de mínima varianza o el valor de b que minimiza la varianza de (6) y el cual está dado por b* = , en donde σs,F es la covarianza entre el precio del mercado spot y el precio del futuro y es la varianza del precio del futuro [14]. Por otro lado, para una cobertura directa se recomienda un valor de b* = 1 [22]. Con estos valores, el número de contratos se establece directamente de la definición de la variable b, esto es, NF = b * Es,T .

3.4 Resumen de la propuesta de participación

Con base en las anteriores secciones, la estrategia de participación es la siguiente:

1. Pronosticar los precios promedio mensual del mercado de contratos bilaterales y mercado spot con la RN descrita en la sección 3.1.

2. Establecer los porcentajes de participación en cada uno de los mercados utilizando el modelo de optimización descrito en la sección 3.2.

3. Determinar el número de contratos únicamente para el porcentaje de participación que estará expuesto al mercado spot. Los contratos se establecen según lo indicado en la sección 3.3.

Note que esta estrategia de participación garantiza los siguientes aspectos:

1. La RN es un mejor predictor para los retornos de los mercados que los estimadores estadísticos clásicos, este enfoque permite entonces tener una mejor certeza de la tendencia del mercado.

2. El portafolio permite determinar la mejor combinación para participar en los mercados spot y de contratos según la aversión al riesgo del generador.

3. El riesgo asociado al mercado spot es mitigado con la cobertura de los derivados de electricidad.

 

4 Resultados numéricos

Esta sección muestra los resultados numéricos para el caso de un generador que participa en el mercado eléctrico colombiano. Se asume que el generador tiene una planta de generación con capacidad de 50 MW y que su capacidad (o disponibilidad) es despachada completamente por el operador del mercado eléctrico durante por lo menos un mes durante las 24 horas del día. El supuesto de un despacho 24/7 corresponde a un generador cuyas ofertas diarias le permitan estar dentro de los generadores en mérito necesarios para atender la demanda total doméstica diaria del país 1. El ejercicio se realiza para un horizonte de tiempo mensual2.

Por otro lado, para los futuros, se utiliza los derivados disponibles en el mercado eléctrico nacional y cuya información se encuentra disponible en Derivex. Vale la pena indicar que la cobertura propuesta en este trabajo es válida para cualquier generador de energía eléctrica de diferente tecnología y recurso primario pues como quedará en evidencia solo es necesario tener claro la cantidad de energía que venderá durante la duración de la cobertura en el mercado spot.

4.1 Predicción de precios

En la etapa de predicción se utilizan dos redes neuronales, una red neuronal para los precios promedio mensuales de bolsa y otra para los precios promedio mensuales de contratos. Cada red neuronal tiene una arquitectura de tres entradas (correspondientes a los valores Pi,t-2, Pi,t-1, y Pi,t de la serie), una capa oculta de 4 neuronas con función de transferencia sigmoidal y una salida con función de transferencia lineal (correspondiente al valor i,t+1). Los datos de entrenamiento corresponde a los datos de precios mensuales de bolsa y precios promedio de contratos del mercado eléctrico colombiano, precios tomados de [23] entre el 31=01=2000 al 31=12=2011.

Las redes se entrenaron con el algoritmo Backpropagation y en particular el método de Levenberg-Marquardt como minimizador del error medio cuadrático. En la Figura 2a se muestra el proceso de entrenamiento y predicción para el precio promedio mensual de bolsa, en donde la línea a trazos corresponde a los precios de bolsa reales del mercado eléctrico colombiano, la línea continua son los precios de bolsa estimados por la red neuronal dentro del proceso de entrenamiento y la línea continua en negrilla con rombos corresponde a la predicción de la red. Por otro lado, la Figura 2b muestra los resultados de la red neuronal para los datos de entrenamiento y predicción de los precios de los contratos, esta figura sigue igual convención que la Figura 2a. Los errores medios cuadráticos de predicción son $19,9/MWh y $1,6/MWh para las redes de las Figuras 2a y 2b respectivamente. Observe como ambas redes son capaces de seguir la tendencia de los precios lo cual indica la ventaja de este tipo de estimadores.

Finalmente, vale la pena resaltar el hecho que las redes neuronales de las Figuras 2a y 2b realizan un pronóstico promedio mensual en bolsa y contratos para el siguiente mes de estudio, es decir, éstas estiman cuáles serán los precios promedio para el próximo mes teniendo en cuenta los datos de precios promedio anteriores. Se selecciona una estimación mensual para reducir los errores de pronóstico puesto que la herramienta de predicción no incluye aspectos de formación de precio fundamentales (condiciones hidrológicas, pronóstico de demanda, expansión del sistema, etc.) que se deberían tener en cuenta para pronósticos de largo plazo.

4.2 Portafolio basado en predicción

Una vez entrenadas las redes, el siguiente paso es la determinación de la capacidad de la planta de generación del generador a ser destinada al mercado de contratos bilaterales y el mercado spot según el portafolio basado en predicción. Se muestra el análisis detallado del mes de marzo del 2012. Se incluye el modelo de Markowitz con retornos, varianza y covarianza calculados con estimadores estadísticos clásicos con el fin de comparar sus resultados con el modelo basado en predicción y mostrado en la sección 3.2.

La Tabla 1 muestra los resultados de la red neuronal para conformar el portafolio de pronóstico y la Tabla 2 los valores para el portafolio basado en estadísticos clásicos. Se nota cómo existe una diferencia sustancial entre los retornos calculados por la RN y los estimadores estadísticos clásicos, de hecho, observe cómo el retorno de contratos es negativo en la Tabla 1 y positivo en la Tabla 2.

Con los valores anteriores, y empleando diferentes ponderadores paraγ y α en el modelo (3), se obtienen los resultados indicados en las Tablas 3 y 4. Vale la pena recordar que el parámetro γ es el ponderador asociado al retorno y α es el ponderador asociado al riesgo (a mayor valor, mas aversión al riesgo). La variable x1 denota participación en el mercado spot y x2 participación en contratos.

Existe un amplio contraste entre las Tablas 3 y 4 independiente de los valores γ y α, esta diferencia indica que formular un portafolio basado en predicción arroja resultados numéricos muy distintos a los resultados a través de un retorno basado en estimadores clásicos.

Se destaca que el portafolio basado en la predicción captura el hecho de tener un estimado de precio de contratos negativo para el siguiente mes pues la capacidad que debe destinar el generador para contratos es igual a cero de acuerdo con la tercera columna de la Tabla 3. Igualmente, se nota cómo la composición del portafolio cambia entre exposición a bolsa y contratos (Tabla 3, columnas 5 y 6) para un generador que fija su nivel de riesgo (α = 1; 0); esto indica que si el retorno de los activos es más importante que el nivel de riego (valores de γ > 0; 4), el generador debería colocar toda su capacidad en el mercado spot toda vez que ofrece un mayor retorno.

4.3 Cobertura con derivados

Para establecer la cobertura ante la exposición en la bolsa en el periodo de estudio (marzo), se debe determinar de manera inicial el valor de los ponderadores para establecer los porcentajes de capacidad que irán destinadas a cada posibilidad, para ello se eligen los valores de α = 1 y γ = 0;5, aunque estos valores se eligen en este trabajo de forma arbitraria, es el generador quien debe seleccionarlos según el nivel de riesgo que desee asumir. Con estos valores y según la Tabla 3, el generador destinará toda su capacidad al mercado spot.

Para un generador de 50MW de capacidad el cual se asume saldrá despachado durante todo el mes tendrá que cubrir un total de 37,2 GWh/mes. Para una cobertura cruzada, el valor de b* = 1; 20 mientras que para la cobertura directa b* = 1; 00 según metodología detallada en la sección 3.3 Puesto que el Derivex presenta tamaños de contratos de 360 MWh [24], es preciso 103 contratos para cubrir toda la energía del mes en el caso de una cobertura directa y de 124 contratos en el caso de una cobertura cruzada tal como se especifica en el último párrafo de la sección 3.3.

Con los valores anteriores, se asume que el generador compra los contratos futuros con vencimiento a marzo 31 de 2012 a un precio de 105,50 $/kWh [25], precio del futuro el día de la negociación y el cual desea ''fijar'' en el mercado spot independiente de la volatilidad. El flujo de caja para el día del vencimiento de ese futuro se muestra en la Tabla 5.

La segunda fila corresponde al ingreso por venta de energía del mercado spot, es decir, 37,2 GWh/mes a un precio promedio de $119,5/kWh durante el mes de marzo, la tercera fila es la liquidación de los contratos futuros (cobertura directa y cruzada), liquidados a un precio de $120/kWh el cual fue el precio de maduración del futuro [25], el neto es la diferencia entre las ventas y la liquidación del futuro y finalmente el precio por cobertura corresponde a la relación entre el neto y la generación. Observe la eficiencia de la cobertura toda vez que el precio es igual al precio cubierto para el caso de cobertura directa y muy cerca para el caso de la cobertura cruzada.

 

5 Conclusiones

Este trabajo muestra una estrategia de participación para un generador en el mercado eléctrico colombiano. La estrategia indica la capacidad que debe destinar el generador para el mercado de largo plazo y corto plazo con base en la predicción de precio por parte de una herramienta de estimación no paramétrica (red neuronal) y con base en un modelo de optimización. Formular un portafolio basado en predicción se fundamenta por el hecho de observar que la herramienta sigue de una manera más precisa la tendencia de los precios del mercado de largo plazo y spot cuando esta es comparada con estimadores estadísticos clásicos. Los resultados numéricos así lo demuestran. Otra ventaja de esta propuesta consiste en que el generador está en capacidad de establecer su aversión al riesgo con los ponderadores del modelo de optimización. Por otro lado, la estrategia también considera la posibilidad de mitigar el riesgo de la volatilidad del mercado spot al cubrir la participación del generador en ese mercado con derivados de electricidad, concretamente utilizando los futuros energéticos disponibles en el Derivex. Resultados numéricos muestran la efectividad de esta estrategia de participación, la cual puede ser empleada por cualquier generador independiente de su tecnología de generación. Por último, futuros trabajos de investigación se deben orientar a incluir aspectos fundamentales de la formación de precios en la herramienta de predicción, con el fin de poder hacer estimaciones confiables para diferentes horizontes de tiempo.

 


1 Las plantas o unidades de generación en mérito para atender demanda total doméstica (solo nacional) son aquellas que ofertaron precios de energía menores al Máximo Precio de Oferta (MPO) de la última planta requerida para atender la demanda total doméstica, según como se define en el Artículo 8o de la Resolución CREG 051 de 2009 que modifica el Anexo A-4 de la Resolución CREG 024 de 1995.

2 En este trabajo se proponen duraciones mensuales para los contratos bilaterales del mercado de largo plazo; aunque esta duración no es muy usual en las contrataciones en el MEM para atender demanda regulada y no regulada, la regulación vigente no excluye tal posibilidad de acuerdo con los términos vigentes en las resoluciones CREG 020 de 1996 y 167 de 2008 para la contratación bilateral de energía eléctrica.


 

Referencias

[1] P. Areekul, T. Senjyu, and H. T. A. Yona, ''A hybrid ARIMA and neural network model for short-term price forecasting in deregulated market,'' IEEE Transactions on Power Systems, vol. 25, no. 1, pp. 524&8211;530, 2010. [Online]. Available: http://dx.doi.org/10.1109/tpwrs.2009.2036488 164

[2] F. Villada, D. Cadavid, and J. D. Molina, ''Pronóstico del precio de la energía eléctrica usando redes neuronales artificiales,'' Revista Facultad de Ingeniería Universidad de Antioquia, vol. 44, pp. 111&8211;118, Jun. 2008. 164

[3] D. Singhal and K. S. Swarup, ''Electricity price forecasting using neural networks,'' Electrical Power and Energy Systems, vol. 33, no. 3, pp. 550&8211;555, Mar. 2011. [Online]. Available: http://dx.doi.org/10.1016/j.ijepes.2010.12.009 164

[4] J. D. Velásquez, I. Dyner, and R. Castro, ''¿Por qué es tan difícil obtener buenos pronósticos de los precios de electricidad en mercados competitivos?'' Cuadernos de Administración Bogotá, vol. 20, no. 34, pp. 259&8211;282, 2007. [Online]. Available: http://www.redalyc.org/articulo.oa?id=20503412 164

[5] F. D. Freitas, A. F. de Souza, and A. R. de Almeida, ''Prediction-based portfolio optimization model using neural networks,'' Neurocomputing, vol. 72, pp. 2155&8211;2170, Jun. 2009. 164, 167

[6] F. D. Freitas, A. R. de Almeida, and A. F. de Souza, ''A prediction-based portfolio optimization model,'' in Fifth International Symposium On Robotics and Automation - ISRA 2006, Hidalgo México, 2006, pp. 520&8211;525. 164, 167

[7] Y. Cao, H. He, and R. Chandramouli, ''A novel portfolio optimization method for foreign currency Investment,'' in Proc. Int. Joint Conf. on Neural Networks (IJCNN'09). Atlanta, GA: IEEE, 2009, pp. 435&8211;439. [Online]. Available: http://dx.doi.org/10.1109/IJCNN.2009.5178876 164, 167

[8] O. Ustunand and R. Kasimbeyli, ''Combined forecasts in portfolio optimization: A generalized approach,'' Computer & Operations Research, vol. 39, no. 4, pp. 805&8211;819, 2012. 164

[9] M. Liu and F. F. Wu, ''Portfolio optimization in electricity markets,'' Electric Power System Research, vol. 77, no. 8, pp. 1000&8211;1009, Jun. 2007. 164

[10] C. H. Wang and K. J. Min, ''Short-term electric power trading strategies for portfolio optimization,'' The Engineering Economist, vol. 53, no. 4, pp. 365&8211;379, 2008. 164

[11] M. F. de Oliveira, G. A. B. Arfux, and R. C. G. Teive, ''Risk Management in the commercialization activity in Brazil - An approach by using Markowitz,'' in Transmission & Distribution Conf. and Exp.: Latin America (TDC'06). Caracas: IEEE, 2006, pp. 1&8211;6. [Online]. Available: http://dx.doi.org/10.1109/TDCLA.2006.311411 164

[12] R. Bjorgan, C. C. Liu, and J. Lawarrée, ''Financial risk management in a competitive electricity market,'' IEEE Transactions on Power Systems, vol. 14, no. 4, pp. 1285&8211;1291, Nov. 1999. [Online]. Available: http://dx.doi.org/10.1109/59.801886 164

[13] R. A. Collins, ''The economics of electricity hedging and proposed modification for the futures contracts for electricity,'' IEEE Transaction on Power Systems, vol. 17, no. 1, pp. 100&8211;107, Feb. 2002. [Online]. Available: http://dx.doi.org/10.1109/59.982199 165

[14] E. Tanlapco, J. Lawarrée, and C. C. Liu, ''Hedging with futures contracts in a deregulated electricity industry,'' IEEE Transaction on Power Systems, vol. 17, no. 3, pp. 577&8211;582, 2002. 165, 170

[15] R. Dahlgren, C. C. Liu, and J. Lawarree, ''Risk assessment in energy trading,'' IEEE Transaction on Power Systems, vol. 18, no. 2, pp. 503&8211;511, May 2003. [Online]. Available: http://dx.doi.org/10.1109/TPWRS.2003.810685 165

[16] J. D. Arias, D. F. Cardona, and H. Salazar, ''Contract price of a bilateral contract using risk assessment: with application to Colombian wholesale electricity market,'' in 2010 IEEE ANDESCON. Bogotá: IEEE, Sep. 2010, pp. 1&8211; 5. [Online]. Available: http://dx.doi.org/10.1109/ANDESCON.2010.5633381 165

[17] N. P. Yu, A. Somani, and L. Tesfatsion, ''Financial risk management in restructured wholesale power markets: Concepts and tools,'' in 2010 IEEE Power and Energy Society General Meeting. Minneapolis: IEEE, 2010, pp. 1&8211;8. [Online]. Available: http://dx.doi.org/10.1109/PES.2010.5589886 165

[18] M. T. Hagan, H. B. Demuth, and M. H. Beale, Neural Network Design. PWS Publishing, 1996. 166, 167

[19] M. H. Beale, M. T. Hagan, and H. B. Demuth, Neural Network Toolbox User's Guide R2012b. The MathWorks, Inc, 2012. 166, 167

[20] H. Markowitz, ''Portfolio selection,'' The Journal of Finance, vol. 7, no. 1, pp. 77&8211;91, Mar. 1952. 167

[21] D. G. Luenberger, Investment Science. New York Oxford: Oxford University Press, 1998. 167

[22] J. C. Hull, Options, Futures and other Derivatives, 6th ed. New Jersey: Prentice Hall, 2005. 170

[23] XM Compañía de Expertos en Mercados S.A. E.S.P. (2014) Precio Bolsa. [Online]. Available: http://goo.gl/RMYszr 172

[24] Derivex. Contrato futuro de energía eléctrica mensual. [Online]. Available: http://goo.gl/DexWPM 176

[25] Derivex. Mercado de derivados de commodities energéticos Derivex. Información histórica de precios. [Online]. Available: http://goo.gl/39XrgP 177