ARTÍCULO ORIGINAL

doi: http://dx.doi.org/10.17230/ingciencia.10.20.11

 

Metodología para incrementar el número de puntos experimentales en un diseño D-Óptimo

 

Methods for Increasing the Number of Experimental Points on a D-Optimal Design

 

 

Sindi Argumedo Galván 1 y Víctor Ignacio López-Ríos 2

1 M.Cs en Ciencias Estadística, syargumedog@unal.edu.co, Universidad Nacional de Colombia, Medellín, Colombia.

2 Ph.D en Estadística, vilopez@unal.edu.co, Universidad Nacional de Colombia, Medellín, Colombia.

 

Recepción: 10-02-2014, Aceptación: 29-04-2014 Disponible en línea: 01-07-2014

MSC:62-XX, 62K05

 


Resumen

La finalidad de los diseños óptimos es determinar las condiciones experimentales adecuadas de tal forma que se pueda garantizar inferencias estadísticas lo más precisas posibles en términos de mínima varianza del vector de parámetros estimado. Esta teoría presupone el conocimiento de la función que relaciona las variables explicativas con la variable respuesta, en esta situación, con frecuencia, se obtienen diseños con tantos puntos de soporte como parámetros tiene el modelo propuesto en la investigación. Dado que los diseños con p-puntos de soporte asumen que la función del modelo es conocida, éstos pueden llegar a ser no tan óptimos en algunas situaciones prácticas, debido a que no permiten probar la bondad de ajuste del modelo asumido [1]. En este artículo se presenta una generalización de la metodología propuesta en [2] para aumentar el número de puntos en el criterio D-optimalidad. Se encuentra una expresión para la varianza de la respuesta predicha en términos de una constante de ponderación δ, la cual permitirá determinar los puntos a adicionar al diseño D-óptimo. Se propone una estrategia para la elección de la constante δ. Finalmente se proporciona un diseño seudo-óptimo con p+s puntos de experimentación.

Palabras clave: Criterio de optimalidad; D-optimalidad; función de sensibilidad; modelos no lineales; prueba de falta de ajuste.


Abstract

The purpose of the optimum designs is to determine the optimal experimental conditions in terms of minimum variance of the estimated vector of parameters, so that statistical inferences can be generated as accurate as possible. This theory presupposes knowledge of the function relating the explanatory variables with the response variable. In this situation, usually get designs with support points as parameters in the model. Since p-point designs assume that the model function is known, these could not be optimal in some practical situations because they do not allow to test the goodness of fit of the assumed model [1]. In this paper we present a generalization of the methodology proposed by [2] to increase the number of support points in D-optimality criterion. An expression for the variance of the predicted response in terms of a constant δ will be provided, which allow to determine the points to be added to the D-optimal design. We propose a strategy for choosing δ. Finally we provide a pseudo-optimal design with (p + s) support points.

Key words: Criteria of optimality; D-optimality; sensitivity function; non-linear models; lack-of-fit test.


 

 

1 Introducción

Para muchos procesos usualmente se tiene el interés de modelar el comportamiento de una variable Y a través de un conjunto de variables explicativas, por medio de un modelo estadístico que permita describir esta relación:

y(x) = η(x; θ) + ϵ,

donde η(x; θ) es una función del vector de parámetros desconocido θt = (θ1, . . . , θp) ∈ Rp, el vector x toma valores en un espacio de diseño χ, en la práctica χ suele ser un intervalo compacto y por último ϵ, llamado error aleatorio, contiene tanto la parte de los errores debido a la realización del experimento como los errores debido a la especificación del modelo, se asume que tienen media cero y varianza común σ2.

Una vez determinada la función η(x; θ) es necesario establecer los niveles de las is donde medir la variable respuesta y la frecuencia de éstas, de tal forma que se pueda mejorar la calidad de las inferencias estadísticas resultantes a un bajo costo. Una manera natural de medir la calidad de las inferencias respecto al conjunto de parámetros es en términos de la varianza de sus estimadores, la cual es proporcional a la inversa de la matriz de información de Fisher. El interés es que esta matriz sea ''grande'' o que su inversa sea ''pequeña'' para garantizar que estará cercano a θ [3]. Por tanto, la teoría de los diseños óptimos busca cuantificar la magnitud de esta matriz a través de un funcional de ella, de tal forma que se puedan obtener los puntos de diseño óptimos y sus pesos correspondientes.

Uno de los criterios de uso más frecuente para la obtención de diseños óptimos es el D-optimalidad, su finalidad es obtener estimaciones de θ con alta eficiencia (mínima varianza). Un resultado del teorema general de equivalencia es que para este criterio el diseño tendrá p puntos de soporte, lo cual puede no ser adecuado cuando la función asumida en la investigación no es especificada con total certeza [1].

En este artículo se realiza una generalización de la metodología propuesta por [2], para aumentar el número de puntos de soporte en el criterio D-optimalidad. Se da una expresión para la varianza de la respuesta predicha en términos de δ, la eficiencia del diseño inicial Deff y el número de parámetros del modelo p, a partir de la cual se determinan los puntos a adicionar al diseño D-óptimo. Se determina la mejor elección para δ de tal forma que se pueda maximizar la potencia de la prueba de falta de ajuste del modelo. Esta metodología le permitirá al investigador obtener diseños con más de p puntos de experimentación donde realizar las mediciones y así poder probar la adecuación del modelo asumido en la investigación.

 

2 Preliminares y Definiciones

Considere un experimento con N observaciones independientes Yi, i = 1, 2, . . . ,N, en las condiciones experimentales xi ∈ χ , modelado por

donde los errores ϵi se asumen independientes e identicamente distribuidos con media cero y varianza común, σ2. Un diseño aproximado

es una medida de probabilidad con soporte finito, es decir, las observaciones son tomadas en los puntos de soporte xi proporcional al peso wi. Para el modelo descrito en (1), y bajo algunas suposiciones de regularidad, el estimador de mínimos cuadrados es asintóticamente insesgado con matriz de covarianza asintótica proporcional a la inversa de:

donde f(x, θ) = . En la literatura de diseños, la matriz M (ξ, θ) se conoce como la matriz de información del diseño ξ y un criterio de optimalidad, ϕ, maximiza algún funcional de valor real (con algún significado estadístico) de la matriz de informacion sobre la clase de todos los diseños aproximados (ver [4]). Ejemplos de tales criterios son: ϕD (ξ) = ln |M (ξ, θ)|1/p (D-optimalidad), la finalidad de este criterio de optimalidad es hallar diseños que permitan estimar el vector de parámetros θ con mínima varianza, y ϕ (ξ) = , con A una matriz definida positiva (Loptimalidad). El último criterio es apropiado para la estimación de combinaciones lineales de los parámetros, KT θ, ya que equivale a minimizar el promedio de las varianzas de las combinaciones lineales estimadas, con A = KTK. Un diseño ξ que maximiza ϕ se dice que es ϕ-óptimo para estimar θ.

En este artículo, para la estimación del vector de parámetros θ, se utiliza el criterio D-optimalidad. Como la matriz de información depende de θ, una solución es considerar un valor apriori para θ, θ0, y los diseños así obtenidos son denominados diseños óptimos locales [5]. Si no hay lugar a confusión, en lo que sigue, se omite la dependencia de θ en f y en la matriz M. Para la construcción y verificación de que un diseño dado, ξ, es ϕD-óptimo, en la literatura existe un teorema de equivalencia para el criterio D-Optimalidad [6]:

con igualdad en los puntos de soporte del diseño óptimo. La función d(x; ξ) := fT (x)M−1(ξ)f(x) representa la varianza de la respuesta predicha estandarizada en el punto x ∈ χ, existe un criterio que busca minimizar esta varianza, llamado G-óptimalidad, útil cuando el interés es predecir la variable respuesta de forma eficiente. La función d(x; ξ) será de utilidad en el procedimiento propuesto para el aumento del número de puntos experimentales en el diseño ϕD-óptimo. La equivalencia anterior afirma que el máximo de d(x; ξ) se obtiene en los puntos de soporte del diseño ϕD-óptimo y es igual al número de parámetros del modelo. En este caso, el peso de cada punto de soporte es inversamente proporcional a p,.

2.1 Eficiencia de un diseño

Una forma de medir la eficiencia de un diseño ξ con respecto al diseño óptimo ξ* bajo el mismo criterio de optimalidad, Φ, es a partir del cociente del criterio de optimalidad en el diseño ξ* y el diseño ξ, esto es:

La Φeff (ξ) es una medida que toma valores entre 0 y 1, cuanto más cerca esté de 1 mejor será la eficiencia.

Para el criterio D-optimalidad se define la Deff (ξ) como:

Al tomar la p-ésima raíz cuadrada en (3) se obtiene una medida de eficiencia que tiene las dimensiones de una razón de varianza. La Deff (ξ) nos permite determinar la capacidad del diseño ξ para estimar de manera eficiente los parámetros del modelo en comparación con el diseño D-óptimo ξD.

 

3 Diseños óptimos y falta de ajuste

Puesto que los diseños con p-puntos de soporte asumen que la parte deterministica del modelo dado en (1) se tiene especificada con total certeza, pueden no ser apropiados en algunas situaciones prácticas, al no permitir la realización de la prueba de adecuación del modelo. En [2] se propone la siguiente estrategia para adicionar puntos de experimentación al criterio D-optimalidad, enseguida se describe el algoritmo.

3.1 El algoritmo

1. Encontrar el diseño D-óptimo (local). Por el teorema general de equivalencia tendrá p puntos de soporte.

2. Construir el diseño:

donde ξx es un diseño que coloca todo su peso en el punto de soporte x y ξD es el diseño D-óptimo.

3. Posterior a esto, escoger un número Deff entre 0 y 1 (usualmente alrededor de 0,90), y encontrar los t valores de x tal que:

4. Finalmente, escoger como diseño seudo-óptimo, r1 réplicas de los p puntos de soporte del diseño D-óptimo ξD, y r2 réplicas de los t puntos de soporte obtenidos del paso 3.

A continuación se presenta la justificación para el uso de la estrategia anterior (con el fin de obtener diseños seudo-óptimos). El diseño ξN es una composición de dos diseños, el diseño ξD y ξx, el cual de forma explícita se puede escribir como:

Este diseño asocia peso 1/(p + 1) a cada uno de los x1, x2, . . . , xp (puntos del diseño ξD) y x. La D-eficiencia de ξN en comparación con el diseño D-óptimo, la cual llamaremos Deff , puede ser expresada en términos de d(x, ξ) y el número de parámetros, p, del modelo, así:

Resolviendo esta expresión para d(x; ξD, θ0) en términos de Deff y p se obtiene la expresión dada en (5).

 

4 Generalización

La estrategia anterior fue implementada por [2] en dieciséis conjuntos de datos y funciones η usadas comúnmente en la práctica. En vista de que esta propuesta da igual peso a todos los (p+1) puntos del diseño ξN, es decir, 1/(p+1), surge de manera natural una generalización de ésta, donde el peso de los diseños ξD y ξx en ξN estará dado en términos de una constante de ponderación denotada por δ. Considerese el siguiente diseño:

o de forma explícita:

En (7), ξD representa el diseño D-óptimo el cual, por el teorema general de equivalencia, consta de p puntos de soporte, ξx representa un diseño que coloca todo su peso en el punto de soporte, x, y la constante de ponderación δ determina el peso dado al diseño ξx.

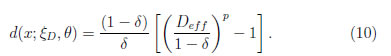
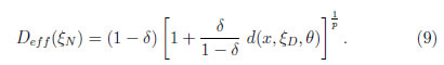
La D-eficiencia para el diseño ξN queda expresada en términos de la función de varianza de la respuesta predicha, el número de parámetros del modelo p y la constante δ. A continuación se presenta el resultado demostrado en [7].

4.1 Resultado 1.

La D-eficiencia para el diseño:

está dada por:

Por facilidad, en lo que sigue, se usará Deff en lugar de Deff (ξN). De la expresión (9), se determina d(x; ξD, θ) en términos de δ, p y la eficiencia Deff del diseño dado en (7), así:

Como d(x; ξD, θ) ≤ p, la constante de ponderación δ debe escogerse de tal forma que:

A partir de la expresión de d(x; ξD, θ) (varianza de la respuesta predicha) se determinan los x's que cumplan la expresión dada en (10), el diseño final obtenido tendrá los p puntos del diseño D-óptimo y los s puntos determinados mediante (10).

4.2 Algoritmo propuesto

A continuación se presentan los pasos a seguir para determinar el diseño con p + s puntos de soporte:

• Determinar el diseño D-óptimo, ξD, el cual tendrá p puntos de soporte.

• Fijar un valor para la constante δ y la eficiencia del diseño inicial Deff entre 0 y 1 (usualmente alrededor de 0,9) y determinar todos los s puntos que satisfacen (10).

• Conformar el diseño ξs:

• Finalmente construir el diseño:

el cual tendrá p + s puntos de soporte.

Una pregunta de investigación que surge de esta estrategia es: ¿cuál es el mejor valor de la constante de ponderación δ? En este artículo se proponen dos estrategias para determinar un valor adecuado para esta constante de ponderación. El primero es obtener éste de tal forma que el diseño resultante maximice la potencia de la prueba de falta de ajuste del modelo propuesto, esta prueba puede ser consultada en [8]. La segunda es dada a continuación.

4.2.1 Definición Errores Relativos: Se busca determinar δ mediante el cálculo del error relativo del vector de parámetros estimado obtenido para cada diseño seudo-óptimo según δ. Este estudio se realiza vía simulación.

Sean y = [1, 2, ....p ]vectores de orden p en Rp que representan vectores de valores a priori y una estimación del vector de parámetros θ respectivamente. Se define el error relativo de θ0 con respecto a como una aplicación,

Dada por:

También se calcula los errores relativos para cada estimador de forma individual, mediante:

 

5 Análisis de Resultados

A continuación se presenta un ejemplo donde se aplica la estrategia anterior. Considerese el modelo estadístico:

El modelo anterior se utiliza en un estudio que investiga la acción conjunta de mezclas de ácidos fenólicos en la inhibición del crecimiento de las raíces del tipo de hierba perennial ryegrass (Lolium perenne L.) y su significado en investigación alelopática. Se estudia la toxicidad del ácido ferúlico, antioxidante de origen vegetal, encontrado en las aceitunas y en las moras, cuando se aplica al perennial ryegrass para un rango de concentraciones. La variable respuesta es la longitud de la raíz de las plantas, medida en centímetros(cm) y la variable predictora es la concentración del ácido ferúlico medido en milimoles(mM). Los datos constan de 18 observaciones, disponibles en el marco de datos ryegrass de la librería drc del software R, son tomados de [9].

En la Figura 1, se presenta el gráfico de dispersión correspondiente a este conjunto de observaciones, se observa que a medida que se incrementa la dosis de ácido ferúlico en las plantas la longitud de las mismas decrece de forma exponencial. En la Tabla 1, se presentan algunas medidas de resumen para ambas variables, se observa que el rango de concentración varía de 0,940 a 30 con una concentración promedio de 9,845 y el rango de variación para la raíz de la longitud de la planta es de 0,2200 a 8,3556 con valor medio de 3,1865 cm.

Dado que en el modelo anterior la función η(xi; θ) es no lineal en los parámetros es necesario utilizar técnicas estadísticas que permitan ajustar el modelo a partir del conjunto de observaciones, entre las cuales se encuentran el método de mínimos cuadrados o el de máxima verosimilitud. Para ambas metodologías se requiere la maximización de una función objetivo, la estimación del vector de parámetros es realizada mediante métodos iterativos. En este artículo se utiliza el método de Gauss - Newton implementado en la función nls del paquete R. En la Tabla 2 se presentan las estimaciones y sus errores estándar para el modelo de decrecimiento exponencial dado en (15), las cuales fueron obtenidas mediante el método de mínimos cuadrados no lineales.

Para ejemplificar la estrategia propuesta se toman como valores iniciales θ0 = [10,4963;-3,2940]′ y región de diseño χ = [0,94; 30], cuyos valores son dados del ajuste del modelo con las observaciones dadas en [9].

Como primer paso se construye el diseño D-óptimo local, ξD, el cual se obtiene mediante el algoritmo implementado con la función nlminb del [10], el cual asocia el peso ω = 0,5 con cada punto de soporte x1 y x2, de forma explícita, el diseño es:

En la Figura 2 se presenta la gráfica de la función de sensibilidad, se observa que el máximo de ésta ocurre en p = 2 el número de parámetros del modelo y éstos ocurren en los puntos de soporte del diseño (16), por tanto el diseño ξD es óptimo para estimar el vector de parámetros con mínima varianza.

Puesto que el diseño D-óptimo dado en (16) no permite validar la adecuación del modelo (15), se requiere construir un diseño seudo-óptimo con más puntos de soporte, con el cual se pueda validar el modelo de decrecimiento propuesto. La metodología propuesta para determinar este diseño es obtenerlo de tal forma que se maximice la potencia de la prueba de falta de ajuste del modelo presentada en la sección anterior. Un posible diseño podría ser:

El cual es generado tomando δ = 0,19 y una eficiencia inicial Deff = 0,92. Este diseño es seudo-óptimo con tres puntos de soporte, permitiendo así probar la validez de la función propuesta para explicar la relación entre la longitud de la raíz de las plantas y la concentración de ácido ferúlico.

Para cada valor de δ, se puede generar un diseño seudo-óptimo, en este trabajo proponemos una alternativa para determinar la mejor elección de esta constante de ponderación vía simulación, a fin de obtener el mejor diseño en terminos de potencia de del modelo, el proceso propuesto se describe a continuación:

1. Se fija un intervalo de búsqueda para δ dado por [0,09; 0,36] con incremento fijo de 0,01 donde se cumple (11).

2. Se escoge una eficiencia para el diseño inicial Deff = 0,92, y tamaños muestrales de N = 20, N = 30, N = 50 y N = 100.

3. Para cada valor de δ en el intervalo anterior se obtiene el diseño ξsp, el cual es convertido en un diseño exacto de tamaño N.

4. Para cada diseño exacto se simulan N observaciones de la variable respuesta, se asume que el término de error es normal con media cero y varianza igual al MS(Res). 1

5. Con la respuesta simulada para cada diseño se ajusta el modelo no lineal y se realiza la prueba de falta de ajuste del modelo, este procedimiento se repite según Nsim = 1000.

6. Finalmente se obtiene la potencia de la prueba para los niveles de significancia del 1%, 5%, y 10%. Los resultados obtenidos se presentan en las siguientes gráficas:

De las Figuras 3 se observa que para tamaños muestrales pequeños la potencia de la prueba de falta de ajuste del modelo es mayor para los diseños obtenidos con valores de δ ≤ 0,19 en todos los niveles de significancia estudiados. Los diseños resultantes para estos valores de δ, corresponden a diseños de tres puntos, esto es, adicionar un punto al diseño D-óptimo, la distancia entre estos puntos es mayor permitiendo así obtener un mejor ajuste del modelo.

Por ejemplo, para N=15, un nivel de significancia del 5% y para δ ≤ 0,19, la potencia de la prueba de falta de ajuste del modelo oscila alrededor del 90%, para 0,20 ≤ δ ≤ 0,26, esta potencia oscila alrededor del 85% y entre 0,27 y 0,39 esta potencia oscila alrededor del 87%. Para N=20 corridas experimentales, y α = 0,05, note que con δ entre 0,13 y 0,17 se observa valores altos de la potencia, por encima del 93%.

Para tamaños muestrales moderados y grandes no se observa un cambio en la potencia de la prueba según el rango de variación para δ, lo cual indica que para estos tamaños de muestra se puede tomar cualquier valor de δ tal que cumpla la condición dada en (11), dependiendo de los requerimientos del investigador y la posibilidad de tomar las mediciones. Al realizar un análisis conjunto de todas las gráficas en (3) se observa que a medida que se aumenta el tamaño muestral la potencia de la prueba para discriminar el verdadero modelo se incrementa.

También se lleva a cabo el cálculo de los errores relativos del vector de parámetros estimado, el procedimiento empleado fue el siguiente:

1. Se realizan los primeros 5 pasos dados en el método anterior.

2. Del ajuste de cada modelo según cada diseño se obtienen los parámetros estimados denotados .

3. Se define el número de simulaciones Nsim = 1000.

4. Se repiten los pasos anteriores, según Nsim, obteniendo así un conjunto de estimaciones para cada diseño.

5. Se calcula ERj), para j = 1, 2 y ER(θ). Puesto que se realizan 1000 simulaciones del modelo para cada δ en el intervalo de búsqueda, se obtiene un conjunto de errores relativos para cada diseño, se opta por la mediana como indicador central del error relativo de cada diseño, por ser un indicador de medida central robusto, los resultados son presentados en las Figuras 4.

De la Figura 4, se observa que en la estimación del error relativo de θ, Figura 4(a), para tamaños muestrales pequeños (N = 15 y N = 20) se presentan cambios de nivel en el ER(θ). Para N = 15, el ER(θ) es menor para δ ≤ 0,29, lo que indica que en este conjunto de diseños se estima el vector de parámetros con mayor precisión. Para N = 20 el ER(θ) es menor para los diseños donde δ ≤ 0,22, teniendo en cuenta estos dos valores se puede decir que para tamaños muestrales pequeños el vector de parámetros se estima con mayor precisión en los diseños donde δ ≤ 0,22.

Para tamaños muestrales moderados y grandes (N = 50 y N = 100) no existe un cambio en el ER(θ) según cada diseño. En la Tabla 3(ver Anexo) se presentan los diseños obtenidos para 0,09 ≤ δ ≤ 0,33 los cuales corresponden a diseños donde se adiciona uno y tres puntos de soporte al diseño D-óptimo, junto con las potencias de la prueba de falta de ajuste y los errores relativos del vector de parámetros para N = 20 corridas experimentales, de donde es aconsejable valores δ entre 0,13 y 0,17 ya que en este intervalo se obtienen potencias de falta de ajuste altas y errores relativos bajos. Al comparar el diseño número 25 correspondiente con δ = 0,33, el cual sería el diseño resultante al utilizar la propuesta dada en [2] con el diseño número 9, el cual corresponde a un diseño con tres puntos, este último presenta mayor potencia y menor error relativo que el diseño dado para δ = 0,33. En este caso se recomendaría como diseño seudo-óptimo, el obtenido con valor de δ = 0,17.

Así se recomienda al investigador medir la longitud de la raíz de las plantas para las concentraciones de ácido ferúlico de 0,940mM, 4,234mM y 7,54mM, si se cuenta con N = 20 corridas experimentales 8, 8 y 4 mediciones deben ser tomadas en las concentraciones 0,940mM, 4,234mM y 7,54mM respectivamente.

 

6 Conclusiones

A partir del estudio realizado en este artículo, a fin de determinar una metodología para adicionar puntos de experimentación al diseño D-óptimo, se concluye lo siguiente:

Se realizó una generalización de la metodología dada por [2] para adicionar puntos de soporte al criterio D-optimalidad, se obtuvo una expresión para la varianza de la respuesta predicha d(x; ξD, θ) en términos de una constante de ponderación, δ, el número de parámetros del modelo propuesto, p, y una eficiencia inicial, Deff , a partir de esta expresión se adicionan puntos de experimentación al diseño Dóptimo, obteniendo así un diseño seudo-óptimo con más de p puntos de soporte, el cual permite probar la validez del modelo en estudio.

Para el modelo de decrecimiento se concluye que para tamaños muestrales pequeños la potencia de la prueba de bondad de ajuste es mayor para los diseños obtenidos con valores de δ ≤ 0,19 en todos los niveles de significancia estudiados, esto es cuando se pasa de diseños con 5 puntos a diseños con 3 puntos de soporte.

Del estudio del ER de θ en el modelo de decrecimiento para tamaños muestrales pequeños el vector de parámetros se estima con mayor precisión cuando δ ≤ 0,22. Para tamaños muestrales moderados y grandes no se observa un cambio en el ER(θ), indicando así que para cualquier valor de esta constante de ponderación se estimará θ con igual precisión.

 

Agradecimientos

Quiero expresar mis más sinceros agradecimientos al profesor Víctor Ignacio López Ríos por su apoyo, paciencia, acompañamiento y lo más importante su enseñanza durante la realización de este trabajo.

 


 

1 MS(Res) = es el cuadrado medio del error, se toma este valor como estimador de σ2, ya que E(MS(Res)) = σ2.


 

Referencias

[1] T. E. O'Brien, ''A new robust design strategy for Sigmoidal Models Based on Model Nesting,'' in Compstat SE - 10, R. Dutter and W. Grossmann, Eds. Physica-Verlag HD, 1994, pp. 97&8211;102. [Online]. Available: http://dx.doi.org/10.1007/978-3-642-52463-9_10 181, 182, 183

[2] T. E. O'Brien, ''Optimal design and lack of fit in Nonlinear Regression Models,'' in Statistical Modelling SE - 25, ser. Lecture Notes in Statistics, G. Seeber, B. Francis, R. Hatzinger, and G. Steckel-Berger, Eds. Springer New York, 1995, vol. 104, pp. 201&8211;206. [Online]. Available: http://dx.doi.org/10.1007/978-1-4612-0789-4_25 181, 182, 183, 186, 187, 198

[3] S. Karlin and W. Studden, ''Optimal experimental designs,'' The Annals of Mathematical Statistics, vol. 37, no. 4, pp. 783&8211;815, 1966. [Online]. Available: http://www.jstor.org/stable/2238570 183

[4] F. Pukelsheim, ''Optimal design of experiments,'' Wiley, New York, vol. 1, no. 1, pp. 233&8211;241, 1993. 184

[5] H. Chernoff, ''Locally Optimal Designs for Estimating Parameters,'' The Annals of Mathematical Statistics, vol. 24, no. 24, pp. 586&8211;602, 1953. [Online]. Available: http://www.jstor.org/stable/2236782 185

[6] V. Fedorov and P. Hackl, ''Model - Oriented Design of Experiments,'' Lecture Notes in Statistics, Springer, vol. 1, no. 1, p. 117, 1997. 185

[7] S. Argumedo, ''Propuesta metodológica para aumentar el número de puntos en un diseño D-óptimo,'' Master's thesis, Universidad Nacional de Colombia, vol. 1, no. 1, p. 1, 2012. 188

[8] S. Huet, A. Bouvier, M. Poursat, and E. Jolivet, ''Statistical tools for Nonlinear Regression,'' second edn, Springer, New York, vol. 1, no. 1, p. 234, 2004. 190

[9] J. C. Inderjit Streibig and M. Olofsdotter, ''Joint action of phenolic acid mixtures and its significance in allelopathy research,'' Physiologia Plantarum, vol. 114, no. 1, pp. 422&8211;428, 2002. [Online]. Available: http://www.ncbi.nlm.nih.gov/pubmed/12060265 191, 193

[10] R Development Core Team, ''R: A Language and Environment for Statistical Computing,'' R Foundation for Statistical Computing, vol. 1, no. 1, 2011. [Online]. Available: http://www.r-project.org/ 193

 

Anexo