ARTÍCULO ORIGINAL

 

doi:10.17230/ingciencia.11.21.1

 

 

Least Change Secant Update Methods for Nonlinear Complementarity Problem

 

Métodos secantes de cambio mínimo para el problema de complementariedad no lineal

 

 

Favián Arenas A.1, H. J. Martínez2 and Rosana Pérez M.3 

1 Universidad del Cauca, Popayán, Colombia, farenas@unicauca.edu.co.edu.co.

2 Universidad del Valle, Cali, Colombia, hector.martinez@correounivalle.edu.co.

3 Universidad del Cauca, Popayán, Colombia, rosana@unicauca.edu.co.

Received: 16-12-2013 | Accepted: 20-05-2014 | Online: 30-01-2015


MSC: 90C30, 90C33, 90C53



Abstract

In this work, we introduce a family of Least Change Secant Update Methods for solving Nonlinear Complementarity Problems based on its reformulation as a nonsmooth system using the one-parametric class of nonlinear complementarity functions introduced by Kanzow and Kleinmichel. We prove local and superlinear convergence for the algorithms. Some numerical experiments show a good performance of this algorithm.

Key words: nonsmooth systems; nonlinear complementarity problems; generalized Jacobian; quasi-Newton methods; least change secant update methods; local convergence; superlinear convergence


Resumen

En este trabajo generamos una familia de métodos secante de cambio mínimo para resolver Problemas de Complementariedad no Lineal vía su reformulación como un sistema de ecuaciones no lineales no diferenciable usando una clase de funciones de complementariedad propuesta por Kanzow and Kleinmichel. Bajo ciertas hipótesis demostramos que esta familia proporciona algoritmos local y superlinealmente convergentes. Experimentos numéricos preliminares demuestran un buen desempeño de los algoritmos propuestos.

Palabras clave: sistemas no diferenciables; complementariedad no lineal; métodos cuasi-Newton


 

 

1 Introduction

Let  F:n → n,F(x)=(F1(x),…,Fn(x)) be a continuously differentiable mapping. The Nonlinear Complementarity Problem, NCP for short, consists of finding a vector  x  n such that,

Here,  y ≥ 0 for  y  n means  yi ≥ 0 for all  i=1,…,n. The third condition in (1) requires that the vectors  x and  F(x) are orthogonal; for this reason, it is called complementarity condition.

The NCP arises in many applications such as Friction Mechanical Contact problems [1], Structural Mechanics Design problems, Lubrication Elasto-hydrodynamic problems [2], Traffic Equilibrium problems [3], as well as problems related to Economic Equilibrium Models [4]. The importance of NCP in the areas of Physics, Engineering and Economics is due to the fact that the concept of complementarity is synonymous with the notion of system in equilibrium. In recent years, various techniques have been studied to solve the NCP, one of which is to reformulate it as a nonsmooth system of nonlinear equations by using special functions called complementarity functions [5]. A function  φ:2→  such that 

is called a complementarity function.

Geometrically, the equivalence (2) means that the trace of the function  φ obtained by the intersection with the  xy plane is the curve formed by the positive semiaxes  x and  y, which is not differentiable at (0,0). This lack of smoothness on the curve imply the nondifferentiability of the function  φ.

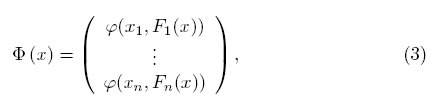
In order to reformulate the NCP as a system of nonlinear equations, it is necessary to consider a complementarity function  φ and to define  Φ:n→ n by 

then it follows from lack of smoothness of  φ that the nonlinear system of equations 

is nonsmooth. From the definition of a complementarity function (2) it follows that a vector x* solves the system (4), if and only if, x* solves the NCP. Different algorithms have been proposed for solving the reformulation of the NCP by a nonsmooth system of nonlinear equations (4) like nonsmooth Newton methods [6], nonsmooth quasi-Newton methods [7],[8],[9], among others [10], [11],[12],[13].

There are many complementarity functions, but the most used has been the minimum function [14] and the Fischer-Burmeister function[15], defined respectively by

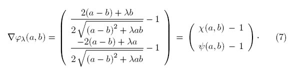
The minimum function is nonsmooth at the points of the form  (a,a), while the Fischer-Burmeister function is not nonsmooth at  (0,0). In 1998, Kanzow and Kleinmichel [15] introduced an one-parametric class of complementarity functions  φλ defined by 

where  λ (0,4) and which we will refer to throughout this work as Kanzow function. This function is nonsmooth at  (0,0). For any other vector in  2, the gradient vector of  φλ is defined by 

In [16], the author makes a carefully analysis of this function and deduces some important bounds that we will use later. Moreover, In the special case  λ = 2, the function  φλ reduces to theFischer-Burmeister function, whereas in the limiting case  λ→ 0, the function  φλ becomes a multiple of the minimum function. In what follows, we denote by Φλ the function defined in (3) and obtained by the complementarity function  φλ.

In this work, we propose a nonsmooth quasi Newton method for solving the NCP using the system  Φλ(x)=0; for this method, we prove local convergence. Moreover, we introduce a family of least change secant update for solving the NCP based on the nonsmooth system of equations  Φλ(x)=0 and, for these family, we prove local and superlinear convergence under suitable assumptions.

We organize this paper as follows. In Section 2, we reformulate the NCP as a nonsmooth system of equations using the  Φλ function and we characterize a subset of the generalized Jacobian of  Φλ in  x. In the first part of Section 3, we propose a new algorithm quasi-Newton for solving the nonsmooth system of nonlinear equations  Φλ (x)=0 and, for this method, we develop the local convergence theory. In the second part, we introduce a family of least change secant update methods following the theory developed in [17] for this type of methods. We prove, under suitable assumptions, local and superlinear convergence. In Section 4, we analyze numerically, the local performance of the algorithms introduced in the last section, for which we use 8 test problems proposed in [14],[18]. Four of this are applications problems to Economic Equilibrium and Game Theory. Finally, Section 5 contains some remarks on what we have done in this paper and present possibilities for future works.

 

2 Reformulation of NCP using the Kanzow function

In this section, we reformulate the NCP as a nonsmooth system of equations and from the definition of the generalized Jacobian given in [19], we construct a subset of matrices of the generalized Jacobian of  Φλ at  x. Then we show that this subset at a solution of the system  Φλ(x) = 0 is a compact set.

Our reformulation of NCP as a system of equations is based on the Kanzow complementarity function  φλ defined by (6) and the  Φλ function defined in the last section. Exploiting (2) it is readily seen that the NCP is equivalent to the following system of nonsmooth equations 

The most popular method for solving a differentiable system of nonlinear equations  G(x)=0 is Newton's method [8], which require calculating, at each iteration, the Jacobian matrix of  G. There are situations where the derivatives of  G are not available, or are difficult to calculate. For this cases, a less expensive alternative and widely used for solving  G(x)=0 are the quasi-Newton methods [8] which use, at each iteration, a matrix approximation to the Jacobian matrix. Among the latter are the so-called least change secant update methods [10] , which form a family characterized by the fact that, at each iteration, the Jacobian approximation satisfies a secant equation [10] with a minimum variation property relative to some matrix norm. The price of using an approximation to the Jacobian Matrix is reflected in the decrease of the speed of convergence of the respective quasi-Newton method.

When a function is not differentiable as in the case of the function  Φλ, the term ''Jacobian matrix'' does not make sense. Fortunately, Frank H. Clarke introduced the concept of Generalized Jacobian that extends the matrix Jacobian concept for some non-differentiable functions [19]. Let  F:n→ n be a locally Lipschitzian function. The Generalized Jacobian of  F at  x is the set given by

where  DF is the set of all points where  F is differentiable and hull denotes the convex envelope of the set. The  ∂F(x) is a nonempty, convex and compact set [19]. In the particular case in which  F is differentiable at  x, ∂F(x) has a single element: the Jacobian Matrix of  F at  x,  F′(x).

Since the Kanzow function  φλ is locally Lipschitz continuous [16], so is the  Φλ function. Thus, the Generalized Jacobian of  Φλ(x) exists. In order to build matrices in this set, we consider a sequence of vectors in n, {yk}, which converges to x and such that  Φ'λ (yk) exists, then we show that  exists. To classify the indices of the components of  x, we define the set 

The sequence1 that we will use is

where  {εk} is a sequence of positive numbers such that εk=0 and the vector  z is chosen such that  zi ≠ 0 where  i β . Obviously  yk converges to  x when  k→ ∞. To analyze the differentiability of  Φλ in  yk, we consider two cases. If  i β then  xi ≠ 0 or  Fi(x) ≠ 0 , by the continuity of  Fi, we can assume  εk so small that   ≠ 0 or  Fi(x) ≠ 0, for which  Φλ is differentiable at  yk. If  i β, the  zi ≠ 0; therefore,   ≠ 0 , which is sufficient for  Φλ to be differentiable at  yk.

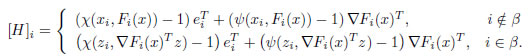
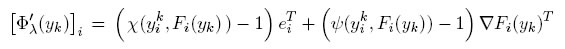
By differentiability of  Φλ at  yk, the Jacobian matrix of  Φλ at  yk, exist and its  i th row is given by 

with  χ and  ψ defined by (7) and  {e1,…,en} is the canonical basis of  n.

For calculating the Φ'λ (yk), we consider two cases: If  i β, by continuity of  i th row of  Φ'λyk) we have ∇φ λ (y,Fi(yk))T is  [H]i where [H]i = ( χ(xi,Fi(x)) −1 )  + (ψ(xi,Fi(x)) −1 ) ∇Fi(x)T. If  i β, from (11), we have 

further, by the Taylor's theorem,

where  ζk → x when  k→ ∞. Substituting (12) and (13) in the  i th row of  Φ'λ (yk), i β, we obtain 

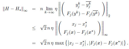
with[H]i =  ( χ(zi ,∇Fi(x)Tz) −1)  + ( ψ(zi ,∇Fi(x)Tz) −1 )∇Fi(x)T. Then, for all  i=1,…,n, the limit when  k→ ∞ of each row of  Φλ′(yk) exist. Therefore,

where 

 

Because there is an uncountable of ways of choosing the vector  z, we have an uncountable set of matrices  H in  ∂Φλ(x) which can be calculated by the above procedure.

Now, we consider the particular case where  x* is a solution of  Φλ (x) = 0. If there is any index  i such that  xi=Fi(x*)=0, then  x* is called a degenerate solution. We will denote the matrices (14) in  x* by  H*(z). The set of these matrices we will call  . Clearly, for each  z  n, there is a matrix  H*(z). Thus,   is an infinite set and further it is a compact set. To verify the compactness, it is sufficient to demonstrate that it is closed, since   ⊆ ∂Φ(x*), which is compact [19], [16].

 

3 Algorithm and convergence theory

In the first part of this section, we propose a new quasi-Newton algorithm for solving the system  Φλ (x)=0 and we develop the local convergence theory for this method. In the second part, we develop a family of least change secant update methods, following [17]. For these family, we prove local and superlinear convergence under suitable assumptions. The following algorithm is the basic quasi-Newton algorithm applied to  Φλ (x)=0.

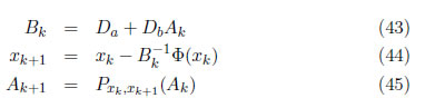
Algorithm 1 Given  x0 an initial approximation to the solution of the problem and  λ (0,4), compute  xk+1=xkBk−1Φλ (xk), for  k=1,2,…, where 

Here  {e1, …,en } is a canonical basis of  n, the matrix  Ak is an approximation of the Jacobian matrix of  F at  xk (to see Section 6) and zk  n is such that   ≠ 0, if   = Fi(xk) = 0.

Under the following assumptions, we will prove that the sequence generated by the basic quasi-Newton Algorithm 1is well define and converges linearly to a solution of  Φλ (x)=0.

3.1 Local assumptions

H1. There is  x*  n such that Φλ (x*) = 0.

H2. The jacobian matrix of  F is Lipschitz continuous (with constant γ) in a neighborhood of  x*  n.

H3. The matrices of the set  Z* are nonsingular. From assumption H3 and by the compactness of  , we have that there is a constant  μ such that for all  H*(z)  ,

3.2 A local convergence theory

The following two Lemmas prepare the ''Theorem of the two neighborhoods''.

Lemma 1 Let  F:n→ nF C1, such that its Jacobian matrix verifies H2, the matrices  H and  B defined by (14) and (15), respectively, and given positive constants  ϵ and  δ. Then, for each  x  (x* ; ϵ) and  A  (F′(x*) ;δ), there exists a positive constant  θ such that 

whereτ = ηz∞+n ηzFj(x*)+√2 n + n andω = nγ (√2+ 1 ).

See proof in [16].

Lemma 2 Let  r (0,1) and  B the matrix defined by (15). There exist positive constants  ϵ0 and  δ0 such that, 

the function   defined by 

is well defined, and satisfies

Let  r (0,1), > 0 and  δ0 > 0 such as and  δ0< , where  ω is the constant (17),  η is the Lipschitz constant of  ∇φλ given by [16] and  τ and  μ are defined by Lemma 3.1. We take  x  (x* ; ), A  (F′(x*) ;δ0),B the matrix associated to  A by the rule (15),  H* associated to  F′(x*) for the same rule and  H defined by (3.8).

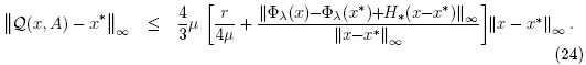
To prove that   is well defined, we must show that  B−1 exist. For this, we consider the inequality 

The first term on the right side of (20) is bounded by (17), thus 

We bound the second term on the right of (20) using the continuity of  F, the Lipschitz continuity of  ∇φλ and the definition of infinite matrix norm.

By the continuity of  F, for all   > 0 exist  > 0 such that , 

Let  =min{,}. If  xx* <  then  | Fj(x)−Fj(x*)| < . On the other hand, 

Given that the gradient of  φλ is Lipschitz continuos [16], we have

We consider the two possibilities for this maximum:

For the above, 

Substituting (21) and (22) in (20) 

Therefore, from (16) 

so, 

from which  H*−1B−In  <  1. By Banach's Lemma2 there exists  B−1 and therefore the function  is well defined. Moreover, 

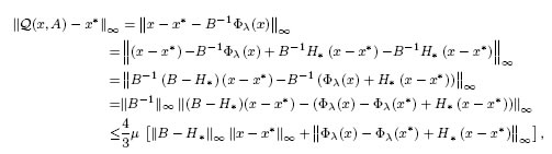
The second part of the proof is to show (19). For this, we subtract  x* in (18), we apply   · and perform some algebraic manipulations.

then we obtain,

On the other hand, for  H ∂Φλ(x).

In [15], Kanzow and Kleinmichel show that Φλ(x) is semismooth, i.e., 

Thus, for any ρ > 0, there exists ϵ2 > 0 such that if xx* < ϵ2 then 

in particular, for exist  ϵr >  0 such that, if  xx* <  ϵr then 

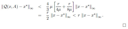
Let ϵ0 = min{r}. If x−x* < ϵ0, and AF′(x*) < δ0 then, from (27), (22), (25) and (24), 

The following theorem is analogous to the theorem of the two neighborhoods of differentiable case [10], which guarantees linear convergence of the proposed algorithm. The name of the two neighborhoods is due to, in its assumptions, it requires two neighborhoods, one for the solution which should be the starting point, and the other for the Jacobian matrix of  F at the solution which should be the initial approach.

Theorem 1 Let H1-H3 be verified and let  r (0,1), then there exist positive constants  ϵ1 and  δ1 such that, if  x0x* ≤  ϵ1 and  AkF′(x*) ≤  δ1, for all  k, then the sequence {xk} generated by  xk+1=xkBk−1Φλ(xk), with  Bk the matrix whose rows are defined by (15) is well defined, converges to x* and satisfies 

We consider the function (18). Thus, 

for all  k=0,1,…, with  Bk defined by (15).

Given  r  (0,1), let  ϵ1  (0,ϵ0) and  δ1  (0, δ0) where  ϵ0 and  δ0 are the positive constants given by the Lema 3.2. We will use induction on  k in the proof of this theorem.

Therefore, we conclude that (28) is true for all  k=0,1,….

We observe that in the proof of Theorem 3.1 we used the infinity norm. Therefore, if  ek = xkx* is the error related to any other norm, then  ek ≤ α rke0, where  α is a positive constant that does not depend on  k, and  r is as in Theorem 3.1.

Among the standard theorems of thequasi Newton theory to systems of nonlinear equations is the theorem known as Dennis-Moré condition [21] which gives a sufficient condition for superlinear convergence. The following theorem is analogous to the theorem just mentioned and it will be useful in the next section to prove superlinear convergence of Algorithm 1. In his proof, we use   · =   · ∞ but, we recall that superlinear convergence results are norm-independent.

Theorem 2 Let H1-H3 be verified and that, for some  x0, the sequence  {xk} generated by  xk+1=xkΦλ(xk) converges to  x*, with  Bk given by (15) and  H* = H(x*). If

 

where  Sk=xk+1xk, then the sequence  {xk} converges superlinearly to  x*.

As we mentioned above,  Φλ is semismooth in  x*, thus 

where  H ∂Φλ(x*). As  Φλ( x*) = 0, then 

On the other hand, 

also, 

Substituting (34) in (33) and using (35), we have 

By the limit definition, in particular for  , there exists  ϵ > 0, such that if  xkx* < ϵ then, 

 

since 

From (34), 

On the other hand, 

where  sk=xk+1xk. We add and subtract in the equality (38) the term  H*sk−Φλ(xk+1) thus

Applying a norm and the triangle inequality, we obtain

thereby

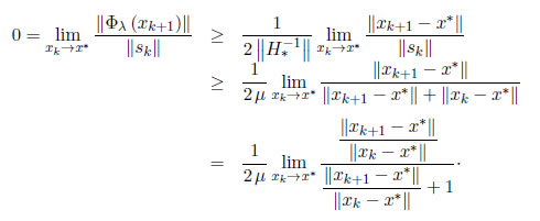
By (32), the first term of the right term converges to  0. The second term converges to  0, for the semismoothness of  Φλ. Thus,

From (3.2), (37) and (16)

Therefore,

i.e., the sequence {xk} converges superlinearly to x*.

 

4 Least change secant update family for solving  Φλ (x)=0. 

The quasi-Newton methods differ in how to update the matrix  Ak at each iteration. Among the ''practical'' quasi-Newton algorithm are those that are called least change secant methods, in which the updating of  Ak, named  Ak+1, must satisfy the secant equation [10] given by  Ak+1(xk+1xk) = F(xk+1)−F(xk) and its change (measured in some norm) relative to Ak must be minimum. Requiring that secant equation and a minimum change are satisfied between two consecutive updates makes the sequence of matrices  {Ak } have a property known as bounded deterioration [10] [8], which guarantees that the matrices of the sequence remain in a neighborhood of  F′(x*). This is essential to demonstrate local and linear convergence. Thus, at each iteration of the least change secant algorithm, the vectors  xk and  xk+1 defined the set  V by

Given that we need the matrix in  V ''nearest'' Ak, it is natural to think of the orthogonal projection of this matrix on  V, named  PV (Ak) = Pxk,xk+1 (Ak). Given that 

and that  V is a closed set, we can ensure that  PV (Ak) V. This projection is unique because  V is a convex set. Therefore,

Thus, Ak+1 =  PV(Ak).

Different least change secant updates are obtained by varying the matrix norm n×n or the subspace  S, producing the family of least change secant update methods. For example, ''Good'' Broyden update,''Bad'' Broyden update [22], Schubert update [23] andSparse Schubert update [23].

Algorithm 2 Assume that  x0 and  A0 are arbitrary. xk+1 and  Ak+1 for  k=0,1,..., are generated as follows: 

where  Da=diag(a1,…,an) and  Db=diag(b1,…,bn) with 

In order to develop the theory of convergence of the least change secant update methods generated by Algorithm 2we will assume an additional Assumption.

H4. For all x,z in a neighborhood x*, there are  A  V(x,z) and  α1 >  0 such that 

where  σ(x,z)=max{x−x*,z−x*}.

 

5 Additional convergence results

In the next lemma, we show that a matrix generated using the rule (45) to update the matrix  Ak may deteriorate, but in a controlled way.

Lemma 5  Let H1-H4 be verified and let  A+ be the orthogonal projection of  A on the set  V(x,z) and   the orthogonal projection of  F′(x) on  V(x,z) then  A+ −F′(x)A−F′(x)2σ(x,z), where  α2 >  0 and  σ(x,z)=max{x−x*,z−x*}.

Lemma 5. 2 Let assumptions H1-H4 be verified. Then there exists  c > 0 such that 

whenever the vectors  x and  y belong to a neighborhood of  x*, with yx*x−x* and the matrix  A in a neighborhood of  F′(x*).

The two previous lemmas (see proofs in [16] and [24], respectively) and assumptions H1-H4 are central to ensuring the following result.

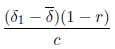
Theorem 5. 1 Let H1 - H4 be verified and that the sequence  {Ak} is generated by (45). Given  r (0,1), there exist positive constants   and   such that if  x0x* ≤   and  A0 −F′(x*) ≤  , the sequence  {xk} generated by  xk+1 = xkΦ(xk) is well defined, converges to  x* and, for all  k=1,2,…, 

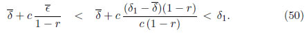
Let   (0,δ1). We can choose   (0,ϵ1) with 

where  δ1 and  ϵ1 are the positive constants of Lemma 3.2, and  c is the constant defined by (52). Some considerations on how to choose the constant  , are the following.
1. If   <  ϵ1, the constant   which depends on  ϵ1 because   >  δ1 − · 

2. If   >  ϵ1, we can choose any value in  (0,ϵ1) as  .

Thus, in either case, it is possible to choose   in  (0,ϵ1) ∩ . Then, from (49) 

We will use induction on  k in the proof of this theorem.

1. For  k=0, if x0−x* ≤  < ϵ1 and A0F′(x*) ≤  < δ1 then from Lemma 3.2,  x1=x0−B0−1Φ(x0) is well defined and satisfies  x1−x*rx0x*.

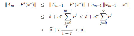
2. We assume that for  k=m−1, if xm−1x* ≤  and  Am−1F′(x*) ≤ ,  xm = xm−1−B0−1Φ(xm−1) is well defined, and 

3. From (51) and (47) 

4. From (47), 

where

and  ci is the constant of Lemma 5.2. Thus, from Lemma 3.2,  xm+1 is well defined and satisfies

Lemma 5. 3 We assume the Assumptions H1 - H4 are verified and let the sequence  { Ak} be generated by (45). There are positive constants   y   such that, if x0x* ≤  and  A0F′(x*) ≤ , and the sequence {xk} is generated by   xk+1xkBk−1Φ( xk), with  Bk defined by (15), then 

With this result (See proof in [16]), we can derive sufficient condition to have super linear convergence as shown by the next Theorem.

Theorem 5.2. Let the Assumptions H1-H4 and let the sequences  {xk} and  { Ak} be generated by the Algorithm 2 and  xk=x*. If

 

then the sequence  { xk} converges superlinearly to  x*.

The proof follows in a straightforward way from Theorems 4.2 and 4.3.

From (54 ) and theLemma 7.3, we have that the right side expression of the last inequality is equal to zero. So 

This is the Dennis-Moré type condition of Theorem 3.2. Therefore, the sequence  {xk} converges superlinearly to  x*.

 

6 Some numerical experiments

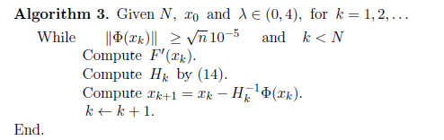
In this section, we analyze numerically the local behavior of the family of least change secant update methods introduced in Section 2. For this, we compare our algorithms with the Generalized Newton method proposed in [6]. The Algorithm 3 is a Generalized Newton type method. It uses at each iteration, the matrix  Hk (defined in the previous section) which uses the Jacobian Matrix of  F.

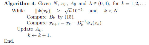
The Algorithm 4, which is a least secant change type method is based on the Algorithm 2 that we proposed at Section 3. For updating the matrix  Ak, in each iteration, we use the four formulas: ''Good'' and ''bad'' Broyden, Schubert and Sparse Schubert, whereby we have four versions of Algorithm 4.

 

For all the tests, we use the software MATLAB®. We use 8 test problems for nonlinear complementarity, four of which we chose from a list proposed, [14] and which are considered ''hard problem''. These are Kojima-Shindo (application to Economic Equilibrium [25]), Kojima-Josephy, Nash-Cornout (application to the Game Theory harker) and Modified Mathiesen (application to Walrasian Economic Equilibrium [26]) problems. We generate the four remaining problems like in [27]; for this, we define  F : nn by, 

For these functions, the vector  x* = (1,0,1,0, ...)  n is a degenerate solution and the functions  hi are given by Luksan [18], namely,Trigonometric system, Exponential trigonometric, tridiagonal and Rosenbrock.

We use the same stopping criteria proposed in [28]. We choose the parameter  λ:=λmin for using in the Algorithms 3 and 4 as follows

  • We vary  λ in the interval  (0,4) from  λ = 10−3 to  λ = 3.999 with increments of  10−3.

  • We use the generalized Newton method (Algorithm 3) with each of these values of  λ.

  • We called  λmin to the value of  λ for which the generalized Newton converges in fewer iterations.

  • For the numerical test, we vary  λ in the interval  (0,4) from  λ = 10−3 to  λ = 3.999 with increments of  10−3. Of all these values of  λ, that for which the generalized Newton method converges in less iterations, we call it  λmin , and we use it as the parameter  λ in Algorithms 3 and 4. The initial approximations are the same as in [14] and [18].

    Table 1 presents the results of our numerical tests. Its columns contains the following information: Problem means the problem name, n is the dimension problem, λmin is the value of λ for which the Algorithm 3 converges in fewer iterations. We also include a column with the algorithm and the secant update used. Thus,  GN means Generalized Newton;  SSU, BBU, SU and  GBU means Algorithm 4 with the Sparse Schubert Update, ''Bad'' Broyden Update, Schubert Update and the ''Good'' Broyden Update, respectively. A − sign means divergence.

     

    From Table 1, we observe that, for these preliminary numerical tests, the Algorithm 4 that we proposed for solving the NCP has good local behavior. In particular, we highlight the Modified Mathiesen problem, in which each method converges with the same number of iterations but to different solutions to the problem.

     

    7 Conclusions

    In this paper, we propose a quasi-Newton method for solving the nonlinear complementarity problem when this is reformulated as a nonlinear system of equations. This method can be useful when the derivatives of the system are very expensive or difficult to obtain. Moreover, we generated a family of least change secant update methods that, under certain hypotheses, converge local and superlinearly to the solution of the problem.

    Some numerical experiments shows a good local performance of this algorithm, but it is necessary more numerical tests using others well-known LCSU methods such as Column Updating method [29] Inverse Column Updating method [30]. It is necessary to incorporate a globalization strategy to the algorithm proposed and to develop theoretical and numerical analysis of the global algorithm.

     

    Acknowledgements

    The authors would like to thank the Universidad del Cauca for providing time for this work through research project VRI ID 3908 and anonymous referees for constructive suggestions to the first version of this paper, which allowed us to improve the presentation of this article.

     


    Footnotes:

    1 We consider the same sequence of [20] which is used for the theoretical developments with the Fischer function.

    2 Let  · a matrix norm induced in n ×n, A and  C  n×n. If  C is non singular and  In−C−1A <  1 then  A is non singular and  A−1· 

     


    References

    [1] M. Anitescu, J. F. Cremer, and F. A. Potra, ''On the existence of solutions to complementarity formulations of contact problems with friction,'' in In: Complementarity and Variational Problems: State of the art. SIAM Publications, 1997, pp. 12-21.

    [2] M. Kostreva, ''Elasto-hydrodynamic lubrication: A non-linear complementarity problem,'' International Journal for Numerical Methods in Fluids, vol. 4, no. 4, pp. 377-397, 1984.

    [3] A. Chen, J.-S. Oh, D. Park, and W. Recker, ''Solving the bicriteria traffic equilibrium problem with variable demand and nonlinear path costs,'' Applied Mathematics and Computation, vol. 217, no. 7, pp. 3020-3031, 2010.

    [4] M. C. Ferris and J.-S. Pang, ''Engineering and economic applications of complementarity problems,'' SIAM Review, vol. 39, pp. 669-713, 1997.

    [5] L. Yong, ''Nonlinear complementarity problem and solution methods,'' in Proceedings of the 2010 international conference on Artificial intelligence and computational intelligence: Part I. Springer-Verlag, 2010, pp. 461-469.

    [6] L. Qi, ''Convergence analysis of some algorithms for solving nonsmooth equations,'' Math. Oper. Res., vol. 18, no. 1, pp. 227-244, 1993.

    [7] V. L. R. Lopes, J. M. Martínez, and R. Pérez, ''On the local convergence of quasi-newton methods for nonlinear complementary problems,'' Applied Numerical Mathematics, vol. 30, pp. 3-22, 1999.

    [8] C. G. Broyden, J. E. Dennis, and J. J. Moré, On the Local and Superlinear Convergence of Quasi-Newton Methods, ser. PB 211 923. Department of Computer Science, Cornell University, 1972.

    [9] D.-H. Li and M. Fukushima, ''Globally convergent broyden-like methods for semismooth equations and applications to vip, ncp and mcp,'' Annals of Operations Research, vol. 103, no. 1-4, pp. 71-97, 2001.

    [10] J. E. Dennis and R. B. Schnabel, Numerical Methods for Unconstrained Optimization and Nonlinear Equations. Society for Industrial and Applied Mathematics, 1996.

    [11] R. Pérez and V. L. R. Lopes, ''Recent applications and numerical implementation of quasi-newton methods for solving nonlinear systems of equations,'' Numerical Algorithms, vol. 35, pp. 261-285, 2004.

    [12] C. Ma, ''A new smoothing quasi-newton method for nonlinear complementarity problems,'' Applied Mathematics and Computation, vol. 171, no. 2, pp. 807-823, 2005.

    [13] S. Buhmiler and N. Kreji\'c, ''A new smoothing quasi-newton method for nonlinear complementarity problems,'' Journal of Computational and Applied Mathematics, vol. 211, no. 2, pp. 141 - 155, 2008.

    [14] J.-S. Pang and L. Qi, ''Nonsmooth equations: Motivation and algorithms,'' SIAM Journal on Optimization, vol. 3, no. 3, pp. 443-465, 1993.

    [15] C. Kanzow and H. Kleinmichel, ''A new class of semismooth newton-type methods for nonlinear complementarity problems,''Comput. Optim. Appl., vol. 11, no. 3, pp. 227-251, 1998.

    [16] F. E. Arenas A., ''Métodos secantes de cambio mínimo,'' Master's thesis, Universidad del Cauca, 2013.

    [17] J. M. Martínez, ''Practical quasi-newton methods for solving nonlinear systems,'' Journal of Computational and Applied Mathematics, vol. 124, no. 1, pp. 97 - 121, 2000.

    [18] L. Luksan, ''Inexact trust region method for large sparse systems of nonlinear equations,'' Journal of Optimization Theory and Applications, vol. 81, pp. 569-590, 1994.

    [19] F. H. Clarke, Optimization and Nonsmooth Analysis. Society for Industrial and Applied Mathematics, 1990.

    [20] T. De Luca, F. Facchinei, and C. Kanzow, ''A semismooth equation approach to the solution of nonlinear complementarity problems,'' Mathematical Programming, vol. 75, pp. 407-439, 1996.

    [21] J. E. Dennis, Jr. and J. J. More, ''A characterization of superlinear convergence and its application to quasi-newton methods,''Mathematics of Computation, vol. 28, no. 126, pp. 549-560, 1974.

    [22] C. G. Broyden, ''A Class of Methods for Solving Nonlinear Simultaneous Equations,'' Mathematics of Computation, vol. 19, no. 92, pp. 577-593, 1965.

    [23] T. F. Coleman, B. S. Garbow, and J. J. More, ''Software for estimating sparse jacobian matrices,'' ACM Trans. Math. Softw., vol. 10, no. 3, pp. 329-345, Aug. 1984.

    [24] J. M. Martínez, ''On the relation between two local convergence theories of least change secant update methods,'' Mathematics of Computation, vol. 59, no. 200, pp. pp. 457-481, 1992.

    [25] M. Kojima and S. Shindoh, Extensions of Newton and Quasi-Newton Methods to Systems of PC 1 Equations, ser. Research reports on information sciences. Inst. of Technology, Department of Information Sciences, 1986.

    [26] L. Mathiesen, ''An algorithm based on a sequence of linear complementarity problems applied to a walrasian equilibrium model: An example,'' Mathematical Programming, vol. 37, pp. 1-18, 1987.

    [27] M. A. Gomes-Ruggiero, J. Martnez, and S. A. Santos, ''Solving nonsmooth equations by means of quasi-newton methods with globalization,'' Recent Advances in Noonsmooth Optimization, World Scientific Publisher, Singapore, pp. 121-140, 1995.

    [28] R. Pérez M., ''Algoritmos para complementariedade não lineal e problemas relacionados,'' Ph.D. dissertation, IMECC, UNICAM, Campinas, Brazil, Dezembro 1997.

    [29] J. M. Martínez, ''A quasi-newton method with modification of one column per iteration,'' Computing, vol. 33, no. 3-4, pp. 353-362, 1984.

    [30] J. M. Martínez and M. C. Zambaldi, ''An inverse column-updating method for solving large scale nonlinear systems of equations,''Optimization Methods and Software, vol. 1, no. 2, pp. 129-140, 1992.