ARTÍCULO ORIGINAL

 

DOI: 10.17230/ingciencia.11.22.9

 

El valor de shapley como estrategia de optimización de recursos sobre Power Line Communication (PLC)

 

The value of shapley as a strategy for Resource Optimization on Power Line Communication (PLC)

 

 

Juan C. Vesga Ferreira 1, Gerardo Granados Acuña 2y Javier E. Sierra Carrillo 3

1 Universidad Nacional Abierta y a Distancia, Bucaramanga, Colombia, juan.vesga@unad.edu.co.

2 Universidad Nacional Abierta y a Distancia, Bucaramanga, Colombia, gerardo.granados@unad.edu.co.

3 Universidad Pontificia Bolivariana, Medellín, Colombia, javier.sierra@upb.edu.co.

 

Recepción: 02-12-2014 | Aceptación: 04-05-2015 | En línea: 31-07-2015

MSC: 91A12,90C26 | PACS: 02.50.Le, 84.40.Ua, 02.50.Le

 


Resumen

En este artículo se propone el uso de la teoría de juegos cooperativos, apoyados en el uso del juego de la bancarrota y el valor de Shapley, como estrategia para optimizar la asignación de recursos en cada nodo, acorde con la demanda en el servicio, el número de estaciones y las condiciones del canal PLC. El artículo plantea un escenario bajo condiciones de tráfico saturado, con el fin de evaluar el grado de optimización que el valor de Shapley puede realizar ante condiciones de tráfico y de canal claramente establecidas. Se concluye que el uso de la teoría juegos cooperativos, soportado en el valor de Shapley, puede considerarse como una excelente alternativa a la hora de realizar procesos de optimización de recursos en un canal PLC y con la posibilidad de ser implementado en sistemas embebidos de bajo costo, debido a que no requiere de operaciones complejas para su estimación.

Palabras clave:comunicaciones por línea de potencia; HPAV; OFDM; Shapley; teoría de juegos


Abstract

This article proposes the use of cooperative game theory, supported by the use of bankruptcy game of the and the Shapley value, as a strategy to optimize the allocation of resources in each node, according to service demand, the number of stations and the conditions of the PLC channel. The paper proposes a scenario under saturated traffic conditions, in order to assess the degree of optimization that the value of Shapley can perform in front of traffic and channel conditions clearly established. It is concluded that the use of cooperative game theory, supported on the Shapley value, can be considered as an excellent alternative when making resource optimization processes in a PLC channel y with the possibility to be implemented in economic embedded systems, because it does not require complex operations for its estimation.

Key words:game theory; HPAV; OFDM, Power Line Communication; Shapley


 

 

1  Introducción

HomePlug AV (HPAV) es uno de los estándares de mayor aceptación sobre la tecnología PLC, el cual hace uso de la red eléctrica como medio físico de transmisión, emplea OFDM (Orthogonal Frequency Division Multiplexing) como técnica de multiplexación de la información sobre el canal PLC, opera en el rango de 1.8MHz a 28MHz, dividiendo el espectro en 1055 subportadoras, de las cuales solo 917 están activas para el sistema americano, empleando modulación adaptativa para cada subportadora dependiendo de las condiciones del canal y hace uso de un Coordinador Central (CCo) el cual está encargado de realizar la asignación de recursos y acceso a la red PLC [1]

Teniendo en cuenta que HPAV no cuenta con un mecanismo de optimización de recursos adecuado para un entorno multiusuario, el rendimiento de la red disminuye considerablemente a medida que aumenta el número de nodos que conforman la red PLC [2]. En vista de lo anterior, se propone hacer uso de teoría de juegos cooperativos, soportada en el uso del valor de Shapley, como estrategia para la asignación de recursos (Bit-rate) a cada uno de los nodos que forman parte de la red PLC, con el fin de mejorar el rendimiento de la red y bajo unas políticas de distribución claramente definidas.

La teoría de juegos es un área de la matemática propuesta por John Von Neumann en 1928, la cual está orientada a evaluar las decisiones que puede tomar un individuo al interior de un contexto competitivo de ganancia o pérdida, frente a las decisiones que adopten los demás competidores. A este escenario competitivo se le denomina Juego y a los individuos que forman parte de este escenario se les denomina Jugadores [3].

El uso de la teoría de juegos establece tres formas para realizar el modelamiento de un escenario real: extensiva, estratégica y de coalición. Las dos primeras solo son aplicables a juegos no cooperativos, en donde únicamente prima el interés de cada jugador en obtener el beneficio propio, sin importar el resultado de los demás jugadores. La tercera forma (Coalición), es aplicable exclusivamente a juegos de tipo cooperativo, el cual corresponde a un juego en el cual dos o más jugadores no compiten entre sí, sino que por el contrario, trabajan de manera conjunta para conseguir el mismo objetivo y por lo tanto, ganan o pierden como un grupo [4]. Adicionalmente, el hecho de trabajar cooperativamente o de establecer coaliciones entre dos o más jugadores, aumenta la probabilidad de obtener una ganacia superior frente a la obtenida de actuar individualmente. En un juego cooperativo no es necesario analizar las estrategias de los jugadores como ocurre en los juegos no cooperativos; basta solo con conocer la utilidad que puede obtener cada coalisión y el vector pagos asociado a los resultados del juego [5].

Al interior de la teoría de juegos cooperativos en diversas ocasiones se ha planteado la siguiente pregunta: ¿cómo dividir el valor neto de un bien o un recurso entre un conjunto de jugadores de forma equitativa?. El problema adquiere mayor importancia cuando la cantidad a dividir es insuficiente para satisfacer las demandas de cada jugador. En este punto es donde surge el problema conocido como Bancarrota. El problema de bancarrota ha sido ampliamente estudiado en el contexto económico y su análisis presenta dos posibles enfoques: el primero se orienta el juego de bancarrota como un juego de utilidad transferible o como un problema de negociación [6],[7],[8],[9]. El segundo enfoque obedece al método axiomático, donde las soluciones son caracterizadas en términos de propiedades [10],[11],[7]. El enfoque que se adoptará en el presente artículo será el de utilidad transferible.

 

2  Metodología

Con la finalidad de abordar los aspectos metodológicos es necesario recurrir a los fundamentos establecidos por la teoría de juegos:

Definición [5] Un juego cooperativo TU (con utilidad transferible) es un par (N,v) donde N={ 1,2,3 …n} es el conjunto de jugadores y v:2NR se denomina función característica del juego, con v(ϕ)=0. Se denomina Coalición a cualquier subconjunto no vacío de N. Para cada coalición SN está asociado un número v(S) el cual representa el pago que se puede asegurar a los jugadores que forman parte de S, independientemente de lo que hagan los demás jugadores. El valor de una coalición se puede considerar como la cantidad mínima que puede obtener una coalición si todos los jugadores que forman parte de ella se asocian y juegan en equipo.

Definición [12]. Un juego de bancarrota está definido como una terna (N,d,E) donde N = { 1,2,3 …n} es el conjunto acreedores, d={ d1,d2, …,dn} con di ≥ 0,∀ i N es el vector de demandas de los acreedores y E corresponde al valor neto que se debe repartir entre los elementos de N.

Para cada problema de bancarrota (N,d,E) se puede definir un juego cooperativo (N,v). El conjunto de jugadores N será el mismo conjunto de acreedores o demandantes del problema de bancarrota. El valor de la coalición S en el juego se define como la propiedad a repartir entre los jugadores que no fue reclamada por los demandantes que no pertenecen a la coalición S. Sea d(S) = ∑i S di la suma de las demandas de todos los acreedores que forman parte de la coalición d(N \S) = ∑i N \S di la suma de las demandas de todos los acreedores que no forman parte de la coalición S [13].

Definición [5] Un juego cooperativo (N,v) es un juego de bancarrota si existe un problema de bancarrota en donde :

El valor de cada coalición v(S) obedece a una valoración pesimista de lo que ésta puede lograr, en donde después de realizar un proceso de repartir entre los demandantes que no están en la coalición, el saldo es asignado a la coalición S.

Uno de los principales problemas que plantea la teoría de juegos cooperativos TU es cómo repartir la ganancia total v(N) entre todos los jugadores de manera equitativa y acorde con la participación individual de cada jugador. Una de las técnicas más utilizadas para dar solución a este problema es el valor de Shapley.

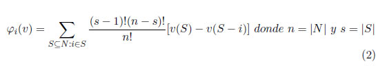
Shapley, analizó durante mucho tiempo los juegos cooperativos y en 1953 propuso el concepto de valor de un juego (N,v) dado para cada jugador i N a través de la siguiente expresión [14] :

Este valor es conocido como el valor de Shapley para el jugador i, el cual es determinado de forma exclusiva y apriori, por la función característica del juego. El valor de Shapley busca establecer una serie de pagos entre los jugadores de manera tal que se cumplan determinados criterios denominados axiomas, previamente establecidos (eficiencia, simetría, jugador pasivo y aditividad) generando como resultado una única asignación de recursos entre los jugadores [15]. El valor de Shapley, puede interpretarse como la contribución marginal esperada del jugador i o como un promedio de las contribuciones marginales [v(S)−v(S−i)] de dicho jugador a todas las coaliciones no vacias S 2N, considerando que la coalición del jugador sea equiprobable en tamaño (1 ≤ sn) y que todas las coaliciones de tamaño S tienen la misma probabilidad [14].

O'Neill [6] demostró que el proceso de repartir en un problema de bancarrota (N,d,E) a través del método de realización recursiva coincide con el valor de Shapley. Este aspecto es de vital importancia teniendo en cuenta que para realizar la distribución de E entre sus acreedores, es necesario establecer una serie de reglas de reparto que establezcan algún criterio de asignación que siga un razonamiento ético y profesional, las cuales para este caso se establecerán mediante el uso de imputaciones para el juego (N,v).

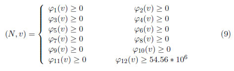
Una imputación para un juego (N,v) corresponde a un vector de pagos racional individual φ(v) Rn, sobre el cual se realiza el proceso de repartir el monto máximo v(N) entre cada uno de los jugadores. Para que la solución sea adecuada es necesario que el vector de pagos cumpla con el principio de eficiencia [3], en donde :

Adicionalmente, debe cumplir con el llamado principio de individualidad racional, el cual exige que el pago a cada jugador i sea al menos la cantidad que el jugador puede obtener por sí mismo en el juego, es decir :

Es posible sugerir que los miembros de cada coalición reciban un pago total mayor o igual que el valor de esta coalición, lo cual indica que los pagos serán coalicionalmente razonables. Un vector de pago φ(v) Rn se dice que es racional de grupo si :

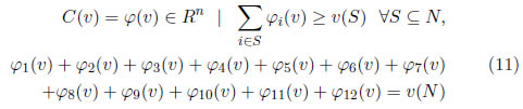
En el momento en el cual se exige a las imputaciones cumplir con el principio de racionalidad para todas las coaliciones, se llega al concepto introducido por Guilles denominado Núcleo [16]. El Núcleo C(v) de un juego (N,v), se define como el conjunto de imputaciones que poseen la propiedad racional de grupo. La expresión que define el núcleo de un juego obedece a la siguiente expresión :

Shapley [17] introdujo el concepto de coaliciones equilibradas y de juego equilibrado con el fin de establecer las condiciones que determinan si un juego tiene Núcleo vacío o no. Posteriormente demostró que un juego (N,v) esta equilibrado si y solo sí el Núcleo no es vacío (C(v) ≠ ϕ).

En vista de lo anterior se propone hacer uso del valor de Shapley como estrategia para repartir de manera equitativa la capacidad disponible en un canal PLC (BWT), bajo un estado de saturación, entre cada uno de los nodos que forman parte de la red de área local (LAN), soportada en el estándar HomePlug AV (HPAV), el cual hace uso de la red eléctrica como medio físico de transmisión. Este escenario puede ser representado como un juego TU (N,v), en donde los N nodos serán los jugadores, di obedece a la capacidad requerida por cada nodo i y E=BWT.

 

3  Pruebas y resultados

3.1  Descripción del escenario propuesto

En la Figura 1 se presenta el esquema general de la topología de red propuesta, la cual está constituida por N nodos. Cada nodo está conformado por un adaptador PLC y una fuente de tráfico. El nodo N será considerado como nodo principal o Coordinador Central (CCo) de la red PLC, el cual será el encargado de administrar el Bit-rate asignado a cada nodo (soportado en el valor de Shapley), acorde con las condiciones del canal PLC, el número de nodos conectados y la demanda de tráfico existente.

Para calcular el valor de BWT se hace uso de la herramienta denominada Generador de Canal PLC (GC_PLC), escrita en MATLAB y desarrollada por el PhD Francisco Javier Cañete, perteneciente al Grupo PLC de la Universidad de Málaga - España. GC_PLC permite estimar el comportamiento de un canal PLC, acorde con los parámetros asociados a la topología de una red PLC, en un ambiente residencial típico. Adicionalmente, la herramienta realiza un proceso de evaluación del canal por debajo de la banda de los 30MHz, considerando el hecho de que los adaptadores de red PLC bajo el estándar HPAV operan en esta banda de frecuencia. En [18] se presenta toda la información para el uso de la herramienta GC_PLC.

La expresión para calcular el total de bits/seg que pueden ser transmitidos en el canal PLC, está dada por (7):

Donde:

Nsp: Número de subportadoras (917).

Ts: Tiempo de un símbolo OFDM. (Ts=40.96 μ) para el caso particular de HPAV.

SNRk: Relación Señal a Ruido presente en la subportadora k.

Γ: Se conoce como SNRgap, el cual representa la pérdida en SNR en la que se incurre por el hecho de utilizar un esquema de codificación discreto específico.

En [19] se sugiere que el valor de Γ puede ser calculado para efectos prácticos mediante :

Donde el BERobj, corresponde al BER que se desea sostener. Para el caso particular se consideró un valor de 10−6.

Para el escenario propuesto se ha considerado N=12 nodos que conforman la red PLC, un canal PLC en estado de saturación (BWT) y un Bit-rate total disponible BWT=E=159.72 Mbps, el cual ha sido estimado mediante el uso de la herramienta GC_PLC. En la Tabla 1, se encuentra el valor correspondiente al Bit-rate solicitado (di) por cada nodo i que forma parte de la red PLC. Es importante mencionar que el proceso de optimización debe ser realizado para cada periodo HPAV equivalente a dos ciclos de red de la señal de potencia (120V/60Hz) [1], debido a las condiciones dinámicas de tráfico y de canal PLC que pueden estar presentes en la red. Para el caso particular, el nodo 12 cumplirá la función de nodo principal o Coordinador de la red PLC (CCo).

Tal como se mencionó anteriormente, se considerará un juego de bancarrota en coherencia con el estado de saturación del canal PLC, con el fin de calcular el valor de utilidad transferible para cada una de las coaliciones. La rutina elaborada en Matlab para realizar el cálculo de cada uno de los valores de utilidad transferible es la siguiente:

 

 

 

En la Tabla 2, se presenta el valor de utilidad transferible calculado para cada una de las coaliciones v(S) posibles, acorde al escenario propuesto en estado de saturación, bajo el uso del juego de la bancarrota. Teniendo en cuenta que el número de jugadores es 12 y el número de combinaciones posibles sería bastante elevado, solo se registrarán en la Tabla los valores correspondientes a v(i) y v(N). }

Con base en los valores v(S) registrados en la Tabla 2, es posible establecer cada una de las imputaciones del juego (N,v), teniendo en cuenta que se debe satisfacer el principio de individualidad racional φi (v) ≥ (vi)  ∀i N y el principio de eficiencia ∑i N  φi (v)=v(N). Las ecuaciones que describen cada una de las imputaciones para el juego (N,v) son :

La ecuación de eficiencia para el escenario propuesto es :

Con base en las expresiones anteriores, el núcleo del juego sería el siguiente:

Para establecer una solución óptima al juego propuesto, se hará uso del valor del Shapley, con el fin de calcular el vector de pesos φ(v). En la Tabla 3, se presenta la metodología para calcular cada uno de los valores que forman parte de la matríz de Shapley, acorde con el número de jugadores, la contribución por parte de cada una de las coaliciones y la probabilidad P(j); los cuales son necesarios para calcular el valor de Shapley φi (v) = ∑j N P(j) vi,j de cada jugador.

La rutina implementada en Matlab para calcular el valor de Shapley φk (v)   ∀  k N es la siguiente:

 

 

En la Tabla 4, se presenta el resultado correspondiente a la matríz de Shapley para el escenario propuesto en estado de saturación. En la última columna se observa el valor de Shapley calculado para cada uno de los jugadores, teniendo en cuenta cada uno de los elementos mencionados anteriormente. Adicionalmente se puede apreciar que se cumple ∑(i N) φi (v)=v(N)=BWT.

En la Tabla 5 se presentan los valores de Bit-rate (BW) correspondientes al BW solicitado y BW asignado para cada nodo, acorde con el valor de Shapley, ante un estado de saturación y bajo tres condiciones de canal diferentes. Los valores de BWT estimados mediante el uso de GC_PLC son: 159.72Mbps, 120.65Mbps y 83.59Mbps; asociados a las condiciones de canal excelente, regular y deficiente respectivamente.

En la Tabla 5 se observa que el valor de BW asignado es proporcional al BW requerido por cada nodo y adicionalmente, se puede evidenciar que la suma total de los valores asignados corresponde al valor de BwT respectivo para cada caso, acorde con las condiciones del canal PLC.

3.2  Comparación de tratamientos BW óptimo-PL vs BW-Shapley

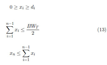
Con el fin de evaluar el grado de optimización realizado mediante el uso del valor de Shapley, es necesario establecer un método alternativo de optimización que permita calcular el BW para cada nodo i, y con ello realizar posteriormente un proceso de comparación de tratamientos. Ante esta situación se decidio plantear el problema de asignación de recursos como un problema de Programación Lineal (PL). En vista de lo anterior, el problema se puede plantear de la siguiente forma (12) (13):

Sujeto a:

Donde n, di y xi corresponden al número de nodos (para el caso particular n=12), BW solicitado y BW asignado para el nodo i respectivamente. Las restricciones establecidas en el modelo propuesto representan el criterio en el cual la mayoría del tráfico circulará a través del CCo (nodo N), teniendo en cuenta que este nodo es el que permite que el tráfico pueda salir hacia internet, por lo tanto, el Bit-rate máximo que podría ser asignado al nodo N (xn) sería de .

Para dar solución al problema de optimización se utilizo el Toolbox de Optimización incluido en Matlab, el cual permite hacer uso de diversos métodos de optimización. Para hacer uso de la herramienta fue necesario organizar la función objetivo, las restricciones y el punto inicial de iteración de forma matricial. Los valores para cada uno de los parámetros son los siguientes:

F: Vector de coeficientes de la función Objetivo :

A,b: Corresponden a las restricciones de desigualdad, en donde A es la matríz de coeficientes y b el vector de resultados para cada una de las inecuaciones (Axb).

Los valores de BWT para las condiciones de canal excelente, regular y deficiente son: 159.72, 120.65 y 83.59 respectivamente.

x0: Punto inicial para la iteración (15). Finalmente, se hace uso de la siguiente expresión (16) con el fin de calcular la solución al problema planteado:

Donde x y fval corresponden al vector solución y al máximo valor que puede alcanzar la función objetivo. En [20] se encuentra mayor información sobre el uso del toolbox de optimización.

En la Tabla 6 se registran los valores correspondientes al BW óptimo-PL (PL), BW-Shapley (Sh), X1 y X2 que corresponden a la diferencia entre el BW solicitado por cada nodo (di) y el BW asignado a través de los métodos de PL y Shapley respectivamente; los cuales se encuentran asociados acorde a cada condición de canal específico.

Con el fin de evaluar, si el uso del valor de Shapley como estrategia de optimización en una red PLC realiza un mejor proceso de asignación de recursos que el método de optimización-PL, se plantean las siguientes hipótesis:

Ho: μ(dBW-Op)= μ(dBW-Sh)

Ha: μ(dBW-Op)≠(dBW-Sh)

Donde μdBW−Op y μdBW−Sh son las medias correspondientes a la diferencia existente entre el BW solicitado y el BW asignado, a través de los métodos de optimización-PL y el valor de Shapley respectivamente. La hipótesis Ho, plantea que existe igualdad entre las medias y la Ha establece que existe una diferencia significativa entre medias, en donde el valor μdBW−Sh es inferior al μdBW−Op, con lo cual se aceptaría que el uso del valor de Shapley realiza un proceso de optimización más adecuado que el proceso de optimización proporcional, debido a que el valor asignado es más cercano al Bit-rate solicitado.

Para aceptar o rechazar las hipótesis planteadas se hará uso de la prueba denominada t pareada [21], la cual es utilizada comúnmente para evaluar la validez estadísitica de la diferencia entre dos muestras aleatorias. La expresión establecida para esta prueba estadística es la siguiente (17).:

Donde SD, corresponde a la desviación estándar en y d es la diferencia entre las variables X1 y X2. Para calcular el valor crítico (tcritico) se recurre al uso de Tablas de distribución t student con n−1 grados de libertad. Mediante el uso del programa estadístico Minitab [22] se realizo la prueba t pareada para las dos muestras con un ?=0,05 y 35 grados de libertad, acorde con los valores registrados en la Tabla 6, en donde se obtuvo el siguiente resultado:

El resultado indica un valor tcalculado= 1.59 y un P−Valor = 0.121. Como el valor de tcalculado < tcritico (2.03), se acepta la Ho, lo cual es reforzado con el P−Valor; el cual presenta un valor superior a α = 0,05. Considerando lo anterior, se puede concluir que el valor de Shapley puede ser considerado como una excelente alternativa para realizar procesos de optimización para la asignación de recursos en una red PLC, teniendo en cuenta que dentro del proceso de comparación de tratamientos con un proceso de optimización sobre PL no se evidenciaron diferencias significativas entre sus medias.

 

4  Conclusiones

Ante la necesidad de realizar una distribución equitativa de recursos, acorde con la demanda del servicio, entre los nodos que forman parte de una red PLC, se propuso el uso de la teoría de juegos cooperativos de utilidad transferible como estrategia de optimización para la asignación recursos, con el fin de maximizar el Bit-rate en función de las necesidades de cada nodo. La propuesta surgió teniendo en cuenta que la teoría de juegos cooperativos se ha convertido en una herramienta de gran importancia a la hora de analizar situaciones en las cuales se requieren tomar decisiones, con una multiplicidad de respuestas posibles, a través del modelamiento de estrategias óptimas que le permitan maximizar su utilidad. Adicionalmente, el hecho de considerar que los nodos puedan trabajar cooperativamente aumenta la probabilidad de obtener una ganancia superior frente a la obtenida de actuar individualmente, en donde basta solo con conocer la utilidad que puede obtener cada coalición y el vector pagos asociado. En todos los casos se consideró cada escenario propuesto como un juego de bancarrota definido como una terna (N,d,C) donde N = { 1,2,3 …n} es el conjunto jugadores, d={ d1,d2, …,dn} con di ≥ 0, ∀i N es el vector de demandas y C corresponde al valor neto que se debe repartir entre los elementos de N, con el fin de establecer cada una de las imputaciones del juego y con ello proceder a estimar el vector de pagos resultante acorde con las condiciones del canal PLC. En vista de lo anterior y con base en los resultados obtenidos se pudo evidenciar que el valor de Shapley arrojó excelentes resultados en relación con la asignación de recursos, estableciendo para cada nodo valores muy cercanos al valor requerido y bajo condiciones de saturación de canal. Adicionalmente, se observó que la suma total correspondiente al Bit-rate asignado a cada jugador coincide con la capacidad total disponible en el canal PLC, acorde con las tres condiciones del canal (excelente, regular y deficiente).

El valor de Shapley puede ser considerado como una estrategia para asignación de recursos en sistemas embebidos de bajo costo, como adaptadores PLC, debido a que no requiere hacer uso de operaciones matemáticas complejas. Sin embargo, aunque el cálculo directo del valor del Shapley presenta una complejidad temporal O(n2n) [13], es importante buscar la posibilidad de implementar algoritmos u otras técnicas relacionadas con la distribución de recursos, que presenten una cuota temporal mas baja en futuros trabajos de investigación. Entre los algoritmos mas utilizados para calcular el valor de Shapley se encuentran el de Hart y Max-Colell y el denominado dividendo de Harsanyi los cuales presentan una complejidad temporal de O(n2n) y O(3n) respectivamente [13].

 

Agradecimientos

El presente trabajo de investigación ha sido desarrollado por el grupo de Investigación DAVINCI de la Universidad Nacional Abierta y a Distancia con el apoyo de la Universidad Pontificia Bolivariana.

References

[1] K. y. Y. L. y. G. S. Latchman Haniph y Srinivas, Homeplug AV and IEEE 1901: A Handbook for PLC Designers and Users, 1st ed.    New Jersey, USA: Wiley-IEEE Press, 2013.

[2] N. Anatory, J. y Theethayi, Broadband Power-Line Communication Systems: Theory and Applications., 1st ed.    Southampton, England: WIT Press, 2010.

[3] J. L. y. T. E. C. Pérez J y Jimeno, Teoría de juegos, 1st ed.    Madrid, España: Pearson-Prentice Hall, 2003.

[4] D. Ramírez R., ''Cooperación en la cadena de suministro de la energía eléctrica en Colombia,'' Tesis de Maestría, Universidad del Norte, 2008.

[5] P. Peleg B y Sudhölter, Introduction to the theory of cooperative games.    Springer, 2007. [Online]. Available: http://dx.doi.org/10.1007/978-3-540-72945-7

[6] B. O'Neill, ''A problem of rights arbitration from the Talmud,'' Mathematical Social Sciences, vol. 2, no. 4, pp. 345-371, 1982. [Online]. Available: http://dx.doi.org/10.1016/0165-4896(82)90029-4

[7] H. Moulin, ''Axiomatic Cost and Surplus-Sharing,'' in The Handbook of Social Choice and Welfare.    Elsevier B.V., 2001, ch. 6, pp. 289-357. [Online]. Available: http://dx.doi.org/10.1016/S1574-0110(02)80010-8

[8] M. Aumann Robert J y Maschler, ''Game theoretic analysis of a bankruptcy problem from the Talmud,'' Journal of Economic Theory, vol. 36, no. 2, pp. 195-213, 1985. [Online]. Available: http://dx.doi.org/10.1016/0022-0531(85)90102-4

[9] I. Curiel, Cooperative game theory and applications: cooperative games arising from combinatorial optimization problems.    Dordrecht: Kluwer Academic Publishers, 1997.

[10] M. y. V. A. Herrero C y Maschler, ''Individual rights and collective responsibility: the rights egalitarian solution,'' Mathematical Social Sciences, vol. 37, no. 1, pp. 59-77, 1999.

[11] W. Thomson, ''Axiomatic and game-theoretic analysis of bankruptcy and taxation problems: a survey,'' 2003. [Online]. Available: http://dx.doi.org/10.1016/S0165-4896(02)00070-7

[12] M. L. C. Rodríguez, Contribuciones a la teoría del valor en juegos en forma estratégica y en problemas de bancarrota, S. d. P. e. I. Científico, Ed.    Universidad Santiago de Compostela, 2005.

[13] J. R. F. García, ''Complejidad y algoritmos en juegos cooperativos,'' Tesis Doctoral, Universidad de Sevilla, 2000.

[14] L. S. Shapley, ''A value for n-persons games in Contributions to the Theory of Games II,'' Annals of Mathematics Studies, no. 28, pp. 307-317, 1953.

[15] A. Magaña, ''Formación de coaliciones en los juegos cooperativos y juegos con múltiples alternativas,'' Tesis Doctoral, Universidad Politécnica de Cataluña, 1996. [Online]. Available: http://www.tdx.cat/handle/10803/6700

[16] D. B. Gillies, ''Some theorems on n-person games,'' Tesis Doctoral, Princeton University, 1953.

[17] L. S. Shapley, ''On balanced sets and cores,'' Naval research logistics quarterly, vol. 14, no. 4, pp. 453-460, 1967. [Online]. Available: http://dx.doi.org/10.1002/nav.3800140404

[18] F. Canete, ''User guide for PLC channel generator v. 2,'' 2011. [Online]. Available: http://www.plc.uma.es/channel_generator/User_guide_v2.pdf

[19] J. A. Cortés, ''Modulation and Multiple Access Techniques for Indoor Broadband Power-Line Communications,'' Tesis Doctoral, Universidad de Málaga, 2007. [Online]. Available: http://www.biblioteca.uma.es/bbldoc/tesisuma/17114500.pdf

[20] P. Berens, ''CircStat: a MATLAB toolbox for circular statistics,'' Journal of Statistics Software, vol. 31, no. 10, pp. 1-21, 2009. [Online]. Available: http://www.jstatsoft.org/v31/i10/paper

[21] R. H. y. M. S. L. Walpole RE y Myers, Probabilidad y estadística para ingenieros.    Mexico D.F., Mexico: Pearson-Prentice Hall, 2007.

[22] Minitab Inc, ''Pareto chart basics,'' 2015. [Online]. Available: http://support.minitab.com/en-us/minitab/17/topic-library/quality-tools/quality-tools/pareto-chart-basics/