ARTÍCULO ORIGINAL

 

Doi: 10.17230/ingciencia.12.23.4

 

Análisis hidrodinámico de rejas de canales mediante simulaciones numéricas bidimensionales

 

Hydrodynamic Analysis of Rectangular Channels Network using Twodimensional Numerical Simulations

 

 

Emmanuel Munguía-Balvanera1, Alberto Blanco-Piñón2 y Justino Alavez-Ramírez3

1 Universidad Juárez Autónoma de Tabasco, Cunduacán, México, emmanuel.munguia@ujat.mx.

2 Universidad Autónoma del Estado de Hidalgo, Pachuca, México, ablanco@uaeh.edu.mx.

3 Universidad Juárez Autónoma de Tabasco, Cunduacán, México, justino.alavez@ujat.mx.

 

Recepción: 05-12-2015 | Aceptación: 18-01-2016 | En línea: 01-02-2016

PACS:92.40.Qk

 


Resumen

En el contexto biológico se sabe que el agua en los humedales es favorable, sean naturales o artificiales. El problema a tratar es la falta de estudios de hidrodinámica para el conocimiento sobre el comportamiento del agua en los humedales artificiales. En este trabajo se analizó en tres localidades, y se complementó con una comparación de la forma que tienen los humedales artificiales en diferentes épocas y partes del mundo; y se dedujo que su geometría es en forma de reja de canales. Para la reja en los humedales artificiales se utilizó un software libre en dos dimensiones para realizar simulaciones numéricas y deducir el comportamiento hidrodinámico. Se demostró que la reja cumple con el comportamiento en los humedales naturales; disipar la energía del agua al escurrir y retenerla. La reja de canales lo hace de mejor manera que un canal equivalente con meandros; resultados que no se encontraron en otras referencias. La ventaja de utilizar un software 2D y libre para hacer simulaciones en humedales artificiales es su práctica representación de flujos de agua y bajo costo. Quedan más investigaciones por hacer para el estudio de la hidrodinámica de los humedales artificiales, como son: diferentes geometrías, incluir arrastre de sedimento, simular lluvia, entre otros aspectos.

Palabras clave: rejas de canales; meandros; calados; disipación de energía; retención de volúmenes de agua.


Abstract

In the biological context water is known to be favorable in wetlands, whether these are natural or artificial. The problem being addressed is the lack of hydrodynamic studies on the know-how of water behavior in artificial wetlands. This work was analyzed in three localities, and was complemented with a comparison of the shape of artificial wetlands at different ages and parts of the world; and it was concluded that its geometry is in a grid-shaped canals. For the artificial wetland grid a free two-dimensional software was used to make numerical simulations and deduce the hydrodynamic behavior. It was shown that the grid accomplishes the behavior of the natural wetlands; dissipating the energy of the water flow by draining and holding it down. The grid canal does it better than an equivalent meandering canal; the results were not found in other sources. The advantage of using a free 2D software to make artificial wetland simulations is its convenient representation of water flows and low cost. More research remains to be done on the field of wetland hydrodynamics, such as: different geometric shapes, the inclusion of sediment drag, rain simulation, among other aspects.

Key words: rectangular channels network; meanders; depth; energy dissipation; water volumes retention.


 

1 Introducción

Actualmente, el agua ha aumentado su valor al escasearse en cantidad y calidad. El uso y consumo del agua creció a un ritmo dos veces superior al de la tasa de crecimiento de la población, y la tarea de los organismos internacionales se concentra en cuidar y mantener su calidad [1]. En el planeta hay diferentes tratados para compartirla, esto es en todos los niveles, desde países hasta municipios, [2]. Los grandes almacenamientos de agua en el planeta son los humedales, ellos son los vastos receptores para la retención, almacenamiento y uso del agua, además son una cuna de diversidad biológica y productividad primaria necesarias para la supervivencia de innumerables especies vegetales y animales; figuran entre los ambientes más productivos del planeta, [3].

Los biólogos se preocupan por la conservación, mantenimiento, pero también por la creación de humedales como una respuesta a la conservación de agua dulce y a su purificación, [4]. Durante la historia el hombre los ha utilizado y los ha construido. En el valle de México existió una tecnología agrícola ideada por los aztecas llamada chinampas, técnica ancestral utilizada para disminuir el riesgo de inundaciones y aprovechar el agua dulce para el cultivo, [5] y [6]. En el Simposio-Taller Internacional sobre Camellones y Chinampas Tropicales [7], se intentó llamar la atención sobre estas técnicas observadas en las antiguas civilizaciones americanas. Dentro de las conclusiones del Simposio una de las inquietudes planteadas fue estudiar la hidráulica interna del sistema de chinampas-humedales, cuáles serían las mejores opciones para los canales y la profundidad de los mismos, entre muchas otras preocupaciones.

La reja de canales para humedales se usaba por antiguas civilizaciones, [8],[9] y [10], y se sigue usando con éxito en la actualidad, [11],[12],[13] y [14]. Esto permite observar cuál es la geometría que se empleaba y que continúa aplicándose hasta ahora. En todos estos lugares el arreglo de los canales siempre es perpendicular en sus cruces formando una reja, [8],[9],[10] y [11]. Este arreglo aprovecha el agua para la agricultura por la saturación del suelo, muy típico en Holanda, [12] y [15], o como medida para salinizar o desalinizar humedales costeros como el caso de España [13].

Los aztecas, desde su fundación en 1325, lograron expandirse, desde una pequeña isla, hasta edificar su ciudad, creciendo poco a poco por medio de la construcción de chinampas, que son parcelas de cultivo ancladas con palos y rellenas con yescas y suelo extraído, la mayoría, del fondo de los canales, [6] y [9]. La obra hidráulica mexica incluía separación de agua dulce y salada entre los diferentes lagos de su territorio, así como el trasvase de líquido entre otros lagos, estos trasvases son con la finalidad de extraer agua cuando escaseaba o verterla cuando la había en exceso. El método de las chinampas cubría una extensión estimada de 120 km2, [16].

El otro caso, para ilustrar, es el de un área rescatada, conocida como la finca Veta la Palma, situada en el término municipal de Puebla del Río en Sevilla, España, [14] y [17]. La finca está circundada por el río Guadiamar y forma parte del Espacio Natural Doñana. Esta zona ha sufrido un largo proceso histórico de transformación no siempre benévola. Pero en la actualidad es convertida en actividad acuícola por una empresa particular (PIMSA). Esta empresa inició con 600 hectáreas. Actualmente cultiva una zona de 3200 hectáreas saturando el suelo con agua de calidad, que alberga una población de peces y crustáceos que son la base de los cultivos acuícolas. Veta la Palma es un Humedal RAMSAR de importancia internacional, [4],[14] y [17]. El humedal artificial de esta finca provee bienestar para la conservación de las aves, asegurando el alimento a las especies que completan su ciclo de madurez y luego emigran, y también es el lugar donde se alimentan las aves no migratorias.

El pólder de Beemster, [15] y [18], es un arreglo de canales cuadrados y rectangulares, y delimitados por una vía fluvial periférica que sigue el contorno del pólder. La vía periférica tiene forma de canal y con una carga hidráulica mayor, está por encima de los canales internos. El canal periférico y superior es de agua dulce traída del lago Markermeer y se utiliza para mantener el nivel de agua de los canales internos. El lago Markermeer es artificial y drena hacia los lagos cercanos del sur con el objetivo de utilizar agua dulce para reducir los niveles de nitratos y fosfatos; durante las grandes mareas, se evacua a través del canal del Mar del Norte. La creación de este pólder está basado en un concepto sencillo: retener el agua de lluvia en el lago Markermeer, guardarla en los canales y, cuando hay exceso, trasladarla por medio de bombeo o drenes a otros lugares o al mar, [15] y [18].

Los casos ilustrados hasta ahora están basados en el concepto de: retener el agua de lluvia, guardarla en canales y trasvasarla cuando hay en exceso.

El objetivo de esta investigación es mostrar, mediante simulaciones numéricas bidimensionales con el código Iber [19], que las rejas de canales tienen un mejor comportamiento hidrodinámico que canales con otro tipo de geometrías como rectilíneos o meándricos. En la sección 2 se citan las ecuaciones de las aguas someras y de turbulencia implementadas en Iber. En la sección 3 se describen los tipos de canales analizados, en la sección 4 se analizan los resultados de la simulación numérica, y en la sección 5 se dan las conclusiones, siendo la principal que la reja de canales rectangulares cumple con mayor eficiencia la disipación de energía y una mayor capacidad de retención de volúmenes de agua.

 

2 Modelo matemático

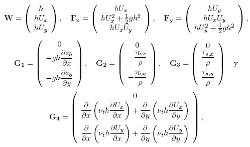
El flujo de agua en una red de canales abiertos puede ser modelado usando las ecuaciones de aguas someras, las cuales forman un sistema de ecuaciones diferenciales parciales de tipo hiperbólico y no lineal, cuya forma conservativa es:

donde

donde a su vez h es el calado, profundidad o tirante de la lámina del agua en cada punto (x, y) del dominio al tiempo t, U = (Ux,Uy) es el vector velocidad horizontal del agua promediada en profundidad en cada punto (x, y) del dominio al tiempo t, g es la constante de aceleración de la gravedad, zb es la cota del fondo, Tb es la fricción debido al rozamiento del fondo, ρ es la densidad del agua, Ts es la fricción en la superficie libre debida al rozamiento producido por el viento, y vt es la viscosidad (cinemática) turbulenta. Los vectores Fx y Fy representan el flujo físico convectivo en las direcciones x e y al tiempo t, [19] y [20]. El código Iber [19], implementa el método de volúmenes finitos para resolver el sistema (1). Para ello, se requieren datos con buena precisión de la geometría del terreno (topografía) con su rugosidad de fondo, condiciones iniciales y condiciones de frontera. Los resultados fundamentales que se producen en la simulación numérica con Iber en cada punto de cálculo son: la evolución del calado h y la evolución de las dos componentes horizontales del caudal específico, hUx y hUy.

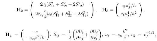
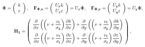
Casi todos los flujos en lámina libre son turbulentos. En cualquier río pueden observarse pequeños remolinos que aparecen y desaparecen con un movimiento aparentemente caótico, mostrando la complejidad del movimiento turbulento. Estos remolinos turbulentos son los principales responsables de los procesos de mezcla, por lo que juegan un papel importe tanto en la hidrodinámica como en la difusión de sustancias solubles, de sólidos en suspensión y de calor, [19]. Calcular en forma precisa los campos de velocidad, calado y turbulencia es importante para diseñar la geometría de canales y depósitos de agua como el que nos ocupa y evaluar el transporte de sedimentos, entre otros. La viscosidad turbulenta, vt, se calcula mediante modelos de turbulencia específicos para las ecuaciones de aguas someras (1). Iber incluye cuatro opciones para calcular vt: Viscosidad turbulenta constante, Modelo parabólico, Modelo de longitud de mezcla, y Modelo k − '' de Rastogi y Rodi, [19],[21],[22] y [23]. El modelo k − ε de Rastogi y Rodi es el más completo, y resuelve una ecuación de transporte para la energía cinética turbulenta k y para la tasa de disipación de energía turbulenta '':

donde

 

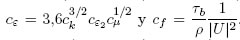
con constantes cμ = 0,09, cε1 = 1,44, cε2 = 1,92, σk = 1,0 y σε = 1,31. Sij es el tensor de deformación y v es la viscosidad cinemática molecular del fluido. Los términos que incluyen la velocidad de fricción de fondo uf son los responsables de modelar la generación de turbulencia por rozamiento de fondo. En flujos turbulentos poco profundos, este modelo proporciona resultados relativamente buenos, siendo uno de los modelos más utilizados en dicho ámbito cuando el nivel de turbulencia es importante. Sin embargo, a pesar de su complejidad no garantiza resultados correctos en cualquier tipo de flujo, por lo que los resultados que genera deben analizarse y valorarse de forma crítica, [22].

 

3 Modelado de canales con diferentes geometrías

3.1 El modelado de la reja de canales

Para investigar el comportamiento hidrodinámico de la reja de canales se propone realizar una serie de simulaciones en una reja idealizada, tomando como base lo expresado en la sección 1 para simular los escurrimientos. Así, en un rectángulo de medidas 90 por 60 m, con 18 rectángulos interiores iguales y canales de 1,5 m de ancho como se muestra en la Figura 1, se harán las simulaciones. Se escoge una relación de medidas de 2 − 3 siguiendo un patrón que se observa en los pólderes holandeses, [8] y [12], y proponiendo las condiciones de frontera (entradas y salidas del agua) como se muestra en la Tabla 1.

Las tres primeras simulaciones solo se cambió la posición de la entrada del gasto para revisar el comportamiento hidrodinámico de la reja. En la cuarta y quinta simulación se aumentaron los gastos de entrada para revisar la variación de los calados en la reja, al igual que su comportamiento hidrodinámico. Se consideró como condición inicial que no existía calado en la reja en todas las simulaciones. El ancho del canal de entrada del agua se considera rectangular. La rugosidad, como otros datos de condiciones iniciales, es igual para todas las simulaciones de 0,025. El tiempo de simulación se especificó de modo tal que se pudieran apreciar los fenómenos que se deseaban estudiar, es decir, con el caudal asignado cuánto tiempo se requiere para que el fluido alcance el régimen permanente.

3.2 Simulación de meandros

Para tal caso se propone un canal con meandros. Para analizar el comportamiento hidrodinámico se insertó en una caja de 90 por 60 m un canal simulando dichos meandros con tres curvaturas; el eje del canal está simulado mediante una función spline con un ancho de 10 m, Figura 2. Para la simulación se propone un gasto de entrada de 30 m3/s.

3.3 Simulación de canal recto

Para comparar los escurrimientos se diseñó un canal recto con la misma longitud del canal con meandros, es decir de 207,40 m por 10 m de ancho.

Las consideraciones generales geométricas para las simulaciones; en la reja de canales, en el meandro y en el canal recto se muestran en la Tabla 2.

 

4 Resultados

Los resultados se mostrarán, con fines didácticos, primero la comparación del canal con meandro con el canal recto; para luego analizar la reja de canales de 90 m por 60 m.

4.1 Resultados de la simulación del canal con meandro y del canal recto

En las simulaciones de la Figura 3 se muestra el llenado del canal y su evolución en el tiempo hasta que el flujo se estabiliza. Para t = 73 s se aprecia el llenado del canal, el cambio de niveles del agua se muestran por medio del cambio de color en cada uno de los elementos de la malla, al final de t = 73 s se muestran los últimos triángulos vacíos o en color blanco. También en la Figura 3 se observan las turbulencias generadas en los meandros. Esta turbulencia crea diferencias de calados a lo largo del eje del canal. En el tiempo t = 73 s se aprecia el inicio de estas turbulencias al interior de las curvas de los meandros, muy notorio en el meandro central. En el tiempo t = 86 s la turbulencia produce, en el tramo recto entre el segundo y tercer meandro, un nivel ascendente, ocasionado por la turbulencia aguas arriba. En el tiempo t = 111 s las diferencias de calados tienden a desaparecer y, por último, se estabiliza el canal casi en flujo permanente y variado en t = 300 s como se observa en la Figura 4(a). En la parte baja de la Figura 4(a) se muestra la simulación del canal recto, tomando en consideración el mismo tiempo de simulación de 300 s; en la simulación del canal recto se puede apreciar cómo el flujo es permanente y variado. En el canal con meandros la diferencia de calados de la entrada al canal con la salida es de 1,41 m, mientras que en el canal recto y para el mismo tiempo estimado es de 0,67 m, por lo que en el canal recto es más rápido la tendencia al régimen permanente no variado, mientras que en los meandros se aprecia una mayor dificultad, y solo marcan una tendencia hacia el régimen permanente.

En cuanto a la disipación de la energía entre el canal con meandros y el canal recto se observa en la Figura 4(b), cómo la disipación es muy parecida a los valores de los calados. Pero, en los meandros la disipación se concentra en las curvas debido a la turbulencia, mientras en el canal recto influye más el rozamiento con las paredes del mismo.

 

4.2 Resultados del flujo en una reja de canales

Para estudiar el comportamiento hidrodinámico en la reja de canales, Figura 1, se utilizaron los datos de la Tabla 1 y se analizó el escurrimiento, y la disipación de la energía.

Análisis de la simulación 1. En la simulación, al final de los 300 s, se aprecia en la Figura 5(a), que la variación del calado es prácticamente nula en el centro de la reja. En la entrada del caudal el calado es de 4,2 m en un corto espacio, disipándose este calado en el eje 1. Gradualmente el calado llega a un mínimo de 1,35 m. En el centro de la reja el calado se estabiliza con una medida de 2,3 m; casi en todos los ejes se aprecia este calado excepto en los ejes 1 y 7. La disipación de la energía se muestra en la Figura 5(b).

La evolución del escurrimiento se muestra en la Figura 6. Desde t = 68 s se aprecia cómo existe un nivel de cota degradándose entre la entrada del agua y la salida. No así en los ejes 5 y 6, ellos tienen un calado mayor que sus antecesores. Esto ayuda a disipar la energía del agua entrante y retardar su llegada a la salida. El efecto es parecido a una barrera de agua. En t = 100 s esta barrera se extiende casi desde el eje 3 llegando al eje 6. Poco a poco el calado va estabilizándose entre los ejes 2 y 6 al llegar a los t = 200 s, donde se mantiene un calado uniforme. Para, finalmente, alcanzar un régimen uniforme poco variado entre los ejes 2 al 6.

En las simulaciones 2 al 5, el comportamiento de los calados siguen siendo muy similares a los de la simulación 1, la única observación es que en la mayoría de los canales el calado varía muy poco, o inclusive disminuye cuanto aumenta el caudal. Las ilustraciones en la Figura 7(a, b, c y d), muestran que un aumento del caudal que circula por los canales disminuye el calado. Las Figuras 7(b, c y d) muestran cómo el aumento del caudal al doble o triple cambia el calado de 4 m en la simulación 2 a casi 3 m en la simulación 5. La disminución del calado en la simulación 5 es debido al aumento de la velocidad del agua en la reja.

4.3 Resultados de las velocidades en la reja de canales

A continuación se analizará la velocidad de la reja de canales de la simulación 1 que se muestra en la Figura 8. A la entrada del agua la llamaremos Entrada BC, por su ubicación en los ejes. A las salidas de agua las llamaremos AB, BC y CD, respectivamente, por la misma razón. El tiempo de simulación que se analizará es el de 231 s, que es el tiempo en donde el calado en la simulación 1 permanece constante en casi toda la reja. La escala de colores es equivalente a la rapidez de la velocidad y se muestra adjunto a la reja. Como se puede apreciar, la rapidez de la velocidad promedio en la reja es de 2,5 m/s, se puede observar una menor velocidad en las paredes de los canales y una mayor velocidad de vertido en las salidas.

La Figura 9 muestra las velocidades en algunas de las intercecciones de los canales. Es notorio cómo se realiza turbulencias en la mayoría de ellos, algunos muy marcada y en otros no tanto. Por ejemplo, en el crucero 1A y 7A se aprecia un reflujo que casi se extiende a todo lo largo del canal, en el eje A, por la parte de abajo, en el crucero 1A y por la parte de arriba en el crucero 7A, este fenómeno ayuda a disipar la energía de una manera eficiente. La mayor velocidad se muestra en las salidas, en ellas la velocidad es máxima de toda la reja de canales como se observa en la Figura 10. Los cruceros intermedios no es tan notoria la turbulencia como en el caso de los cruceros en las fronteras de la reja (Figura 9(d,e,f)). Sin embargo, los resultados que se observan en la Figura 11, para un tiempo de 162 s muestran turbulencia en la mayoría de los cruceros, con reflujos a lo largo de los canales cuando no se ha logrado un flujo permanente.

4.4 Retención de volúmenes de agua

Una cualidad importante en los humedales, además de la disipación de la energía del fluido, es la retención del volumen de agua. En la Tabla 3 se aprecia, para una vista en planta de los canales, la superficie del canal recto y del canal con meandros es de 2074 m2, mientras que la reja de canales es de 1104 m2, casi la mitad del meandro. Así la reja de canales retiene un mayor volumen de agua por metro cuadrado como se muestra en la Tabla 3.

 

5 Conclusiones

Mediante simulaciones numéricas se mostró, con una aproximación digna, cómo el comportamiento hidrodinámico de un canal con meandros y una reja de canales tienen propiedades similares en cuanto a la generación de turbulencia, considerando que las geometrías son diferentes (Figuras 4(a) y 5(a)). Una de ellas es que la reja de canales, al igual que los meandros, disipa la energía y crean turbulencia en el recorrido, inclusive la reja de canales cumple con mayor eficiencia esta disipación energética (Figura 5(b)). En cuanto a la capacidad de retener agua se observó, una vez que se estabiliza el flujo, que las rejas de canales tienen mayor capacidad de retención de volumen, comparado con el área que presentan en planta, Tabla 3. En la Figura 7 se observa cómo en la simulación 5, descendió el calado aún cuando se aumentó el caudal 3 veces. Este fenómeno es debido a que disminuye la turbulencia fluyendo el agua con mayor velocidad.

En la actualidad se pueden simular, con la ayuda del software, las obras hidro-agrícolas de las antiguas civilizaciones y de las modernas respuestas al mejoramiento ambiental por medio de la aplicación del software en 2D.

Queda por realizarse más simulaciones, para justificar con bases sólidas, la bondad de los humedales; no solo por la parte biológica, sino también por su comportamiento hidráulico y como reductor del riesgo de inundación.

 

Agradecimientos

El primer y tercer autor agradecen a la Universidad Juárez Autónoma de Tabasco por el apoyo brindado a través del proyecto UJAT-2013-IA-03.

 

Referencias

[1] B. Ross-Larson, M. de Coquereaumont, and C. Trott, Eds., Informe sobre Desarrollo Humano 2006. Programa de las Naciones Unidas para el Desarrollo (PNUD), 2006. [Online]. Available: http://hdr.undp.org/sites/default/files/hdr_2006_es_completo.pdf 74

[2] R. Connor and E. Koncag¨ul, ''Agua para un mundo sostenible: Resumen ejecutivo,'' UNESCO, Tech. Rep., 2015. [Online]. Available: http://unesdoc.unesco.org/images/0023/002322/232272s.pdf 74

[3] Secretaría de la Convención de Ramsar, Manual de la Convención de Ramsar: Guía a la Convención sobre los Humedales (Ramsar, Irán, 1971), 4th ed. Secretaría de la Convención de Ramsar, Gland (Suiza), 2006. 75

[4] D. Russi, P. ten Brink, A. Farmer, T. Badura, D. Coates, J. F¨orster, R. Kumar, and N. Davidson, ''The Economics of Ecosystems and Biodiversity for Water and Wetlands,'' IEEP, London and Brussels; Ramsar Secretariat, Gland., Tech. Rep., 2013. [Online]. Available: http://doc.teebweb.org/ 75, 76

[5] C.-T. Morehart, ''Mapping ancient chinampa landscapes in the Basin of Mexico: A remote sensing and GIS approach,'' Journal of Archaeological Science, vol. 39, no. 7, pp. 2541-;2551, 2012. 75

[6] M. Serra Puche and J. Lazcano Arce, ''Arqueología en el sur de la cuenca de México. Diagnóstico y futuro. In Memoriam W.T. Sanders,'' Cuicuilco, vol. 16, no. 47, pp. 19-;38, 2009. 75

[7] J.-J. Jiménez-Osorio and V.-M. Rorive, Eds., Los Camellones y Chinampas Tropicales. Universidad Autónoma de Yucatán, 1991. [Online]. Available: http://www.reservaeleden.org/agp/libro/lec/camelloneschinanpas.pdf 75

[8] D. van Breen, Beemsterlants Caerte, Historic map of Beemster, the Netherlands, Geheugen van Nederland; Kaartencollectie Provinciale Atlas, 1658. [Online]. Available: https://es.wikipedia.org/wiki/Beemster 75, 79

[9] C.-T. Morehart and C. Frederick, ''The chronology and collapse of pre-aztec raised field (chinampa) agriculture in the northern basin of mexico,'' Antiquity, vol. 88, no. 340, pp. 531-;548, 2014. 75

[10] C.-T. Morehart, L. Overholtzer, A. Meza-Peñalosa, and C. Serrano- Sánchez, ''Proyecto Chinampero Xaltocan: Informe de la temporada de campo octubre 2007 - febrero 2008,'' Tech. Rep. [Online]. Available: https://asu.academia.edu/ChristopherMorehart 75

[11] Delimitación Cartográfica de Veta la Palma, Consejerías de Obras Públicas y Transporte, Agricultura y Pesca, y Medio Ambiente. JUNTA DE ANDALUCÍA. [Online]. Available: http://www.juntadeandalucia.es/medioambiente/site/portalweb/ 75

[12] J. González Ortiz, ''Holanda y el agua,'' Papeles de Geografía, no. 16, pp. 191-;216, 1990. 75, 79

[13] R. Aguilar, E. Pardo, J.-M. Cornax, S. García, and J. Ubero, ''Doñana y el Golfo de Cádiz: Propuesta para la ampliación del área marina protegida,'' OCEANA, Tech. Rep., 2010. [Online]. Available: http://oceana.org/sites/default/files/reports/Donana_2010_ESP.pdf 75

[14] J.-M. Medialdea, ''Ecosystem approach to Aquaculture management and biodiversity conservation in a Mediterranean coastal wetland: case study of Doniana marshes (Andalucia, Spain),'' United Nations Environment Programme, Tech. Rep., 2012. [Online]. Available: http://www.rac-spa.org/node/975 75, 76

[15] G.-P. van de Ven, Leefbaar Laagland: Geschiedenis van de waterbeheersing en landaanwinning in Nederland, 5th ed. Uitgeverij Matrijs, 2003. 75, 76

[16] J.-M. Pérez Sánchez, ''El manejo de los recursos naturales bajo el modelo agrícola de camellones chontales en Tabasco,'' Iberofórum. Revista de Ciencias Sociales de la Universidad Iberoamericana, vol. II, no. 4, pp. 1-;9, 2007. [Online]. Available: revista.iberoforum@uia.mx 75

[17] J.-M. Medialdea, ''A New Approach to Ecological Sustainability through Extensive Aquaculture: The Model of Veta la Palma.'' Madison, Wisconsin USA: 2008 TIES Workshop, 2008. [Online]. Available: http://www.vetalapalma.es 76

[18] T. Groenedijk, Nederlandse Plaatsnamen. Slingenberg Boekproducties, 2000. 76

[19] E. Bladé, L. Cea, G. Corestein, E. Escolano, J. Puertas, M.-E. Vázquez- Cendón, J. Dolz, and A. Coll, ''Iber: herramienta de simulación numérica del flujo en ríos,'' Revista Internacional de Métodos Numéricos para Cálculo y Diseño en Ingeniería, vol. 30, no. 1, pp. 1-;10, 2014. 76, 78

[20] M.-H. Chaudhry, Open-Channel Flow, 2nd, Ed. Springer, 2008. 78

[21] A.-K. Rastogi and W. Rodi, ''Predictions of Heat and Mass Transfer in Open Channels,'' Journal of the Hydraulics Division HY3, vol. 104, no. 3, pp. 397-; 420, 1978. 78

[22] L. Cea, J. Puertas, and M.-E. Vázquez-Cendón, ''Depth averaged modelling of turbulent shallow water flow with wet-dry fronts,'' Archives of Computational Methods in Engineering, vol. 11, no. 4, pp. 1-;50, 2006. 78, 79

[23] W. Wu, Computational River Dynamics. Taylor & Francis, 2008. 78 |92